С древних времен человечество нуждается в организации проверенных каналов связи для передачи той или иной информации от отправителя к получателю. Для того чтобы перехват или подслушивание информации не были возможными, разрабатываются всевозможные методы шифровки сообщений.
Криптография - наука о методах обеспечения конфиденциальности и аутентичности передачи информации между двумя абонентами. [1] В противоположность криптографии, криптоанализ - область криптологии, разрабатывающая методики расшифровки, перехвата и фальсификации сообщений.
Различные методы создания и организации передачи зашифрованных сообщений были известны еще в Древнем Египте, однако свое более полное математическое истолкование эта проблема получила только в 20 веке.
Согласно современной терминологии вводятся следующие понятия. Отправителя секретного сообщения называют Алисой, принимающую сторону - Бобом, а некоторое третье лицо, нарушающее конфиденциальность передачи данных, называют Евой. Под ключом будем понимать последовательность битов информации, используя которую можно превратить любое сообщение в шифр путем взаимно-однозначного отображения.
Большинство схем классической криптографии построены на идее создания
такого соответствия между шифром и сообщением, которое максимально усложняло бы
перехватчику задачу расшифровки. Алиса передает Бобу ключ, кодирует посредством
этого ключа сообщение, а далее по открытому каналу передает полученный шифр.
Боб, обладая ключом, способен восстановить секретное сообщение (Рис 1).
Проблема определения ключа по шифру представляет для перехватчика исключительно
вычислительную задачу и, в принципе, может быть решена, как только будут
разработаны квантовые компьютеры, вычислительная мощь которых практически
неограниченна [2].
квантовый перепутывание временя криптографический
В 1945 году Клод Шеннон в своей работе «Теория связи в секретных системах» [3] подробно исследовал проблему организации передачи данных с математической стороны. Он показал, что при использовании одноразового случайного ключа, кодирующего соответственно только одно сообщение, расшифровка сообщений принципиально невозможна. Таким образом, проблема свелась к вопросу передачи случайной последовательности битов ключа от Алисы к Бобу так, чтобы Ева не имела возможности ее перехватить или подделать тайно от получателя и отправителя. Современная криптография во многом базируется на вероятностной процедуре распределения ключа между абонентами.
Проблема конфиденциальности и аутентичности в процедуре распределения случайных ключей во многом решается методами современной квантовой криптографии (раздел «Квантовая криптография»). Ряд протоколов квантовой криптографии базируется на невозможности клонирования квантового состояния, приводящей к тому, что Ева, проводящая свои измерения, будет обязательно обнаружена. Выдающихся достижений квантовая криптография достигла в связи с использований особых квантовых состояний, называемых перепутанными. Специфичные неклассические квантовые корреляции между перепутанными частицами позволяют Алисе и Бобу контролировать процедуру передачи ключа, исключая проблему подслушивания и даже фальсификации последовательности. Стоит также отметить, что на данный момент ряд протоколов квантовой криптографии имеет коммерческую основу и в ближайшее время может быть широко использован в банковских, Интернет или других частных системах. [4]
В то же время, физика перепутанных состояний в последнее время достигла значительного прогресса. Поставлен ряд экспериментов, характеризующих наличие квантовой корреляции в перепутанных состояниях, как некое фундаментальное свойство, справедливое не только в пространстве, но и во времени. В связи с этим, представляется интересным подробно изучить методику создания перепутанных состояний, а также способы переноса квантовых корреляций между созданными состояниями. Учитывая колоссальную роль, которую теория запутанных состояний играет на данный момент в развитии современной криптографии, появляется возможность применить новые результаты из области физики перепутанных состояний для создания улучшенных версий криптографических протоколов.
Целью данной работы является ознакомление с современными на данный момент
методиками получения перепутанных состояний, а также с рядом новейших открытий
в области переноса квантовой запутанности между частицами. Более того, будет
рассмотрена возможность применения в квантовой криптографии новейшего эффекта,
связанного с созданием перепутанных во времени состояний.
Квантовая механика является быстро развивающейся областью физики, способной, в отличие от классических представлений, дать истолкование большинству из известных на данный момент физических феноменов. В то же время, сложность интуитивной интерпретации большинства законов и методов этой области науки в значительной мере осложняет ее освоение и понимание.
Возможность создания специфических, перепутанных состояний в квантовой физике тесно связана с нелокальным характером квантовой теории. Проблема, касающаяся нелокального взаимодействия и необходимости принимать концепцию «мгновенной передачи информации» впервые поднимается А. Эйнштейном еще в 1935 году [5].
Известно, что основным в квантовой механике является понятие состояния системы, описываемое волновой функцией. Расчет наблюдаемых величин, доступных экспериментальному исследованию, осуществляется на базе волновой функции и носит принципиально вероятностный характер. Вопрос, поднятый в своей статье Эйнштейном, Подольским и Розеном, касается непосредственно физического смысла волновой функции.
Рассматривая понятие состояния, как объективное и, аналогично классическим представлениям, независимое от каких-либо экспериментальных сведений о нем, Эйнштейн приходит к парадоксу, демонстрирующему неполноту законов квантовой механики.
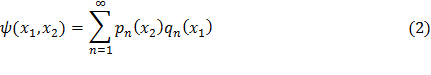
В
своем мысленном эксперименте Эйнштейн использует модель двух взаимодействующих
некоторое время квантовых систем, которые затем удаляются друг от друга, чтобы
далее исключить всякое взаимодействие. Как результат применения законов
квантовой механики, получается пара невзаимодействующих частей общей системы,
характеризующейся совместной волновой функцией ![]()
(![]()
-
совокупность переменных для описания i-ой подсистемы.
Определение
состояния каждой из подсистем после взаимодействия может быть выполнено с
помощью последующих измерений, путем процесса, известного как «редукция
волнового пакета». Если, к примеру, ![]()
, ![]()
-
собственные значения некоторой физической величины A подсистемы 1,
соответствующие собственным функциям ![]()
, тогда
совместная функция может быть представлена разложением в ряд по собственным
функциям этой физической величины:
![]()
(1)
Измеряя
величину A для 1-ой подсистемы и выясняя, например, что ее
значение равно ![]()
,
получаем после измерения, что 1-ая подсистема останется в состоянии ![]()
, тогда
как вторая - в состоянии ![]()
.
Если
же теперь выбрать другую физическую величину B с
соответствующим набором собственных значений ![]()
, ![]()
и
собственных функций ![]()
, то
представление ![]()
изменится:
Функции
![]()
и ![]()
в обоих
случаях представляют собой просто коэффициенты разложения. Аналогично, выясняя
значение величины B для первой подсистемы экспериментально (например, оно
окажется ![]()
),
получим состояние второй подсистемы, как функцию вида ![]()
. Таким
образом, в результате двух различных измерений над подсистемой 1, мы получили
различные функции состояния для подсистемы 2.
Эйнштейн
полагает далее, что, так как разделенные системы никак не взаимодействуют, а
понятие состояния объективно не зависит от процессов измерения, следует одной и
той же физической реальности приписать две различные волновые функции [5].
Подбирая особым образом вид функции ![]()
для
системы двух частиц, а операторы А и B определяя, как операторы
координаты и импульса, можно показать, что ![]()
и ![]()
будут
собственными функциями двух не коммутирующих операторов. Таким образом, к одной
и той же физической реальности следует отнести две не коммутирующие друг с
другом физические величины.
Эйнштейн определяет физически реальную величину в некотором состоянии, как ту, которая без возмущения системы может быть определена сколь угодно точно. Однако невозможность одновременной измеримости не коммутирующих операторов в одном волновом состоянии доказана в квантовой механике, поэтому два не коммутирующих оператора никак не могут соответствовать одной физической реальности по Эйнштейну. Это приводит к противоречию со сказанным выше.
Разрешимость данного парадокса, согласно Эйнштейну, возможна только в двух случаях. Либо нам необходимо положить, что физической реальностью будут обладать только величины, которые можно одновременно измерить или предсказать, либо усомниться в полноте описания квантовой системы через функцию состояния.
В первом случае, необходимо представить физическую реальность зависимой от процесса измерения, что приводит к нелокальному характеру теории взаимодействия.
Во втором же случае, следует полагать наличие дополнительных характеристик системы, невозможных для определения, но определяющих физическую реальность вне зависимости от процесса измерения. Подобная точка зрения привела к целому ряду теорий скрытых параметров.
Решающим доводом в пользу той или иной точки зрения мог стать только эксперимент. В 1965 году Беллом были предложены неравенства, способные при их экспериментальной проверке дать ответ на этот вопрос.
Итак, в своей статье Эйнштейн показал, что существует такое двухчастичное
состояние, в котором, если придерживаться детерминистической концепции
физической реальности, для одной из частиц одновременно могут быть физически
реальны два не коммутирующих оператора. Важным моментом является тот факт, что
получение таких состояний математически возможно, когда совместная волновая
функция, описывающая данное двухчастичное состояние, находится в некотором
перепутанном (нефакторизуемом) виде. Состояния, описываемые волновой функцией
подобного вида называются соответственно «перепутанными состояниями». Как
показал Бом [6], такую ситуацию можно реализовать, например, используя пары
частиц, образующиеся в синглетном состоянии:
Предположим, что мы обладаем источником пар перепутанных фотонов, а также набором фотодетекторов и поляризаторов (Рис 2). Введем параметры a и b, характеризующие углы соответственно первого и второго поляризатора, а
наблюдаемые A и B определим, как величины, принимающие
только значения ±1. Так, если A(a) = 1, то это означает появление
фотона на фотодетекторе в первом плече установки, при угле поляризатора,
соответствующем параметру а. При А(а)= -1 детектирования фотона не происходит.
Если теперь предположить локальность теории, а также допустить наличие скрытых параметров, определяющих результат эксперимента, можно получить неравенство на корреляционные функции для наблюдаемых операторов [7].
Локальность
теории заключается в том, что наблюдаемая А не зависит от параметра b
(аналогично для наблюдаемой В и параметра a). Теория
скрытых параметров подразумевает наличие экспериментально неопределяемого
параметра ![]()
с
плотностью распределения ρ(λ),
связывающего наблюдаемые величины друг с
другом. Мы имеем дело с корреляционной функцией наблюдаемых C(a,b):

(4)
Рядом
математических преобразований можно получить искомое неравенство в виде [7]:
![]()
(5)
Таким образом, если верна теория скрытых параметров, выполняется указанное выше неравенство. В теории квантового фотодетектирования (раздел «Теория фотодетектирования и проекционные измерения») показывается, что корреляционная функция однозначно связана с совместной вероятностью детектирования фотонов. Поэтому, вычисляя совместные вероятности, как средние операторов проектирования на состояние пропускаемое поляризатором, можно получить корреляционные функции в квантовой механике.
К
примеру, в синглетном перепутанном состоянии корреляционная функция ![]()
ри
частном выборе углов поляризации можно получить нарушение неравенства Белла.
Этот факт опровергает теорию скрытых параметров и локальность взаимодействий в
данном эксперименте. Стоит отметить, что нарушение неравенства Белла является
признаком того, что пара частиц находится в перепутанном состоянии, и далее
может быть использовано для экспериментального обоснования квантовой
перепутанности.
Весьма
плодотворной оказывается идея перехода на операторный язык в неравенстве Белла
и анализа состояний, дающих максимальное нарушение этого неравенства [8]. В
частности, вводится оператор Белла