3.3 Визначення виробки
електроенергії, пари і гарячої води електростанціями, що входять до складу
заданої енергосистеми
Визначаємо річний обсяг виробки електричної і теплової енергії всіма електростанціями системи.
Для ГЕС та АЕС корисний відпуск
електричної енергії можна розрахувати за формулою:
, (3.14)
вст.і - встановлена потужність і-ї електростанції, МВт;
tвст.і - кількість годин використання встановленої потужності і-ї електростанції (таблиця Ж.1);
aвпw - коефіцієнт, що враховує витрати енергії на власні потреби і втрати в електромережах (таблиця Е.1).квГЕС = 300×1050×(1-0,11) = 0,28×106 (МВт×год/рік)квАЕС = 1000×5400×(1-0,11) = 4,806 ×106 (МВт×год/рік)
Для КЕС і ТЕЦ обсяги виробки енергії визначаємо на основі відповідних графіків, що наведені у завданні (таблиці Н.1, П.1).
Розраховуємо для КЕС
виробку електроенергії за одну добу для кожної пори року (зими, весни, літа та
осені).
, (МВт×год/добу)
(3.15)
де Nексп - експлуатаційна потужність одного агрегата КЕС в кварталі, що відповідає певній порі року(таб. Д.1), МВт.
Ні% - відсоток електричного навантаження КЕС від експлуатаційної потужності за і-й інтервал часу доби, %;
tі - тривалість і-го інтервалу часу доби, год;
і=1, …, n - кількість інтервалів часу, на які розподілений добовий графік електричного навантаження.
Обсяг виробленої
електроенергії на КЕС за рік буде складати
, (МВт×год/рік)
(3.16)
де j=1,2,3,4 - кількість сезонів року;jдобу - добова виробка електроенергії на КЕС в j-му сезоні року,
tjp - кількість робочих діб в j-му сезоні року.
Для визначення tjp
треба від загальної кількості діб у певному сезоні року відняти час знаходження
окремих агрегатів у плановому ремонті (таблиця Л.1, М.1).
Таблиця 3.2 - Структура ремонтів обладнання по кварталам та графік електричного навантаження КЕС в період, що розглядається, в % від експлуатаційної потужності
Таблиця 3.3 - Виробка електроенергії за добу одним агрегатом для кожної пори року та загальна виробка електроенергії на КЕС за кожну пору року
На ТЕЦ, у відмінності від КЕС, має місце комбіноване виробництво електричної і теплової енергії. Тому необхідно відокремити визначення обсягів електричної і теплової енергії на ТЕЦ. Що стосується виробки електроенергії, то послідовність розрахунків не відрізняється від аналогічних розрахунків для КЕС.
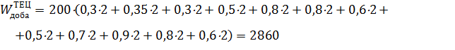
Розраховуємо для ТЕЦ виробку електроенергії за табл. П.1 (МВт×год/добу):

(МВт×год/добу);
![]()
(МВт×год/рік).
Кількість вироблених на ТЕЦ пару і гарячої води виміряється в джоулях або гігаджоулях в одиницю часу.
Визначаємо кількість
пару і гарячої води, що відпускається споживачам за одну добу в незалежності
від пори року і заносимо в таблицю 3.4.
Таблиця 3.4 - Графіки електричного та теплового навантаження ТЕЦ у відсотках відвстановленої потужності
Таблиця 3.5 - Виробка електроенергії, тепла та гарячої води на ТЕЦ за добу та за рік
.4 Визначення середнього
тарифу по електроенергії
Для визначення вартості електричної енергії, що вироблена в енергосистемі і реалізована споживачем, треба враховувати залежність середнього тарифу на електроенергію від часу максимальних навантажень різних груп споживачів tmax (таблиця Р.2).
Середній тариф на
електроенергію для різних груп споживачів (при використанні двохставочного
тарифу) визначається за формулою:
(3.23)
де a = 53 - основна ставка тарифу, грн./кВт (таблиця И.2);= 9,0 - додаткова ставка тарифу, коп/кВт×год (таблиця И.2);
tmax - кількість годин використання максимальних навантажень.
![]()
(грн/кВт×год);
![]()
(грн/кВт×год);
![]()
(грн/кВт×год);
![]()
(грн/кВт×год);
![]()
(грн/кВт×год);
![]()
(грн/кВт×год);
![]()
(грн/кВт×год);
=
(грн/кВт×год).
.5 Розрахунок вартості
виробленої в енергосистемі продукції
Загальний обсяг виробленої
електроенергії на всіх електростанціях енергосистеми буде складати:
(3.24)
![]()
(МВт×год/рік).
Цей обсяг електроенергії розподіляється серед 7-и груп споживачів пропорційно відсоткам, що наведені в таблиці Р.2. Для кожної із вказаних груп визначається середній тариф за формулою (3.23). Якщо скласти розраховану вартість відпущеної електроенергії по всім 7-и групам споживачів, то отримаємо вартість електроенергії, яка реалізована в енергосистемі.
![]()
(млн. грн.);
![]()
(млн. грн.);
![]()
(млн. грн.);
![]()
(млн. грн.);
![]()
(млн. грн.);
![]()
(млн. грн.);
![]()
(млн. грн.);SEC
×
=![]()
+ ![]()
+ ![]()
+![]()
+ ![]()
+ ![]()
+ ![]()
= 1449,51 (млн. грн.).
Вартість реалізованої
продукції
,
що вироблена в енергосистемі, розраховується за формулою:
, (3.25)
де Впослуг - вартість послуг промислового характеру, що надаються стороннім установам (таблиця Ж.1);
- вартість капітального
ремонту обладнання і транспорту, що був здійснений господарським способом
(таблиця Ж.1);
ВПр.з. - вартість продукції ремонтних заводів (таблиця Ж.1).
Вартість річного споживання пари і гарячої води визначається за формулами:

(млн. грн.);

(млн. грн.),
де ![]()
та ![]()
- відповідно тариф на
пару і гарячу воду, грн./Гкал. (таблиця И.2).
Визначення вартості капітального ремонту обладнання і транспорту, що виконується господарським способом, потребує спрощеного розрахунку. В таблиці Ж.1 вказується лише відсоток вартості капітального ремонту обладнання від загальної вартості ремонтних робіт, що виконується власними силами робітників ремонтних підрозділів енергетичних підприємств. Тому спочатку треба визначити витрати на капітальний ремонт по енергосистемі в цілому в рік t.
Для цього скористаємось
формулою:
, (3.26)
де
-
витрати на капітальний ремонт в початковий рік експлуатації обладнання;
a - коефіцієнт росту витрат на капітальний ремонт (таблиця Е.1);
t - розрахунковий рік.
приймемо у
відповідності з нормою амортизаційних відрахувань на капітальний ремонт
(таблиця Р.3)
.
,
де
-
початкова вартість основних фондів енергосистеми.
![]()
(млн.
грн.);
![]()
(млн.
грн.);
![]()
(млн. грн.);
![]()
(млн.
грн.)
![]()
(млн. грн.).
.6 Оцінка показників
фондовіддачі і фондомісткості продукції енергосистеми за рік
Ефективність використання основних фондів енергосистеми здійснюється за допомогою аналізу показників фондовіддачі wf і фондомісткості fр.
Фондовіддача:
(грн./грн.) (3.27)
Фондомісткість:
(грн./грн.).
Показник фондовіддачі показує, що з однієї гривні вартості основних фондів вироблено і реалізовано продукції вартістю 0,93 грн.
Показник фондомісткості
є зворотнім по відношенню до фондовіддачі і показує, що на одну гривню
реалізованої продукції протягом року приходиться 1,08 грн. вартості основних
виробничих фондів.
.7 Оцінка рентабельнoстi
енергетичної системи стосовно основних фондів і нормативних оборотних засобів
Фінансові результати роботи енергосистеми поперед всього характеризуються отриманням прибутку. Для з’ясування величини прибутку треба зіставити виручку від реалізації продукції з витратами на її виробництво і реалізацію (собівартість). Якщо виручка перевищує собівартість, то фінансовий результат свідчить про отримання прибутку. Навпаки, при витратах, що перевищують виручку, підприємство має збитки - від’ємний фінансовий результат. Це ставить підприємство у достатньо скрутний фінансовий стан, що не виключає банкрутство.
Для оцінки рівня ефективності роботи підприємства отриманий результат (прибуток, валовий дохід) зіставляється з витратами або з ресурсами, що використовуються. Порівняння прибутку з витратами визначає рентабельність, або, точніше, норму рентабельності.
В економічній практиці використовуються два варіанта вимірювання норми рентабельності. По-перше, це відношення прибутку до поточних витрат підприємства (собівартості), а по-друге, це відношення прибутку до авансованих вкладень (основних виробничих фондів і оборотних засобів).
Норму рентабельності енергосистеми
можна розрахувати за наступною формулою:
(3.28)
де рзаг - норма загальної рентабельності, %;
- середньорічний обсяг
оборотних засобів, млн.грн./рік (таб. И.2);
Дбруто-балансовий
прибуток енергосистеми, млн.грн.; розраховується за формулою:
(3.29)
де А - зміна залишків абонентської заборгованості на початок і кінець розрахункового періоду, млн. грн. (при відсутності даних щодо зміни абонентської заборгованості цей показник можна прирівняти до 0, А=0);
сW - середня собівартість виробництва 1 кВт.год електроенергії по енергосистемі, коп./кВт.год (таблиця Т.1);
сQ - середня собівартість виробництва одного Гкал теплової енергії (пару і гарячої води) по енергосистемі, грн./Гкал (таблиця Т.1);
- річний обсяг корисно
відпущеної електроенергії в енергосистему, МВт.год/рік;
- річний обсяг корисно
відпущеної теплової електроенергії, Гкал/рік.