Материал: Вариационный принцип Ферма в оптике

Внимание! Если размещение файла нарушает Ваши авторские права, то обязательно сообщите нам

В силу закона преломления Снеллиуса вектор  перпендикулярен к границе раздела сред в точке падения, а потому и к бесконечно малому смещению вдоль границы Таким образом, в первом порядке по вариация оптической длины луча АСВ обращается в нуль. При доказательстве предполагалось, что виртуальный путь состоит из отрезков лучей АС’ и СВ’. Однако результат отрезки заменить произвольными бесконечно близкими к ним линиями, соединяющими те же точки A и С’, С' и В, В самом деле, поскольку АС’ и С’ В - действительные лучи в первой и второй средах, их оптические длины по доказанному выше минимальны. По этой причине замена действительных лучей АСи С’В бесконечно близкими к ним линиями, соединяющими те же крайние точки, не меняет в первом порядке оптические длины соответствующих путей. Следовательно, вариация оптической длины луча АСВ останется равной нулю, каков бы ни был виртуальный путь света. А к этому в рассматриваемом случае и сводится содержание принципа Ферма.


4. В применениях иногда удобна следующая теорема, являющая- ся непосредственным следствием принципа Ферма. Пусть А и В - произвольные точки луча АСВ (рис.6).


Проведем через точку В произвольную гладкую поверхность BE, ортогональную к лучу АСВ в точке В. Пусть BD - бесконечно малое смещение вдоль этой поверхности. Соединим начальную точку луча А с точкой D произвольной линией AHD, бесконечно мало отличающейся по направлению от луча АСВ. Тогда вариация оптической длины при переходе от истинного пути света АСВ к виртуальному AHD будет равна нулю[2]. Для доказательства возьмем пучок лучей, исходящих из точки А. Все А эти лучи ортогональны к волновому фронту BF, а их оптические длины от точки А до волнового фронта одинаковы. В частности, (АСВ) = (АМК). Но по принципу Ферма с точностью до бесконечно малых высшего порядка (АМК) = (AHK). Далее, поскольку поверхности BDE и BKF касаются друг друга в точке В, длина луча KD будет бесконечно малой высшего порядка по сравнению с BD. Поэтому оптическая длина AHD будет отличаться от оптической длины АСВ также на величину высшего порядка малости по сравнению с боковым смещением BD. Это и требовалось доказать.

. Если между собой, то в каждой среде путь света будет прямолинеен. В этом случае задача сводится только к нахождению точек на поверхностях раздела сред, в которых происходит отражение и преломление светового луча. Поэтому нет необходимости вводить криволинейные виртуальные пути света. Достаточно ограничиться ломаными виртуальными путями, состоящими из отрезков прямых линий, причем изломы таких путей должны происходить на границах раздела рассматриваемых сред. Даже при таких ограничениях оптическая длина действительного светового пути может быть не только минимальной, но и максимальной или стационарной.

Чтобы показать это в случае отражения света, возьмем эллипсоидальное зеркало, получающееся от вращения эллипса вокруг его большой оси  (рис. 7). Пусть  и  - фокусы эллипсоида Если А -точка на его поверхности, то


где 2а - длина большой оси эллипсоида. Поверхность зеркала делит все пространство на две части: внутреннюю, сумма расстояний каждой точки которой от фокусов  и  меньше 2а, и внешнюю, для которой эта сумма больше 2а, Пусть световой луч выходит из фокуса  Тогда после отражения от эллипсоидального зеркала в точке А он пройдет через второй фокус F2, так как по известному свойству эллипса прямые A и F2A образуют одинаковые углы с нормалью к поверхности зеркала. При смещении вдоль поверхности зеркала сумма А+ F2A, а с ней и время распространения света из  в F2 не изменяются. Вариация времени распространения при таком смещении равна нулю. Однако это время ни минимально, ни максимально - оно постоянно. Именно по этой причине любой луч, вышедший из Fl, обязательно пройдет через F2, в какой бы точке зеркала он ни отразился. Убедиться в этом можно с помощью таких же рассуждений, какие были приведены в пункте 3[2].

Вообразим теперь зеркало S, касающееся эллипсоида в точке А, обращенное вогнутостью в ту же сторону, что и эллипсоид, но имеющее большую кривизну. Световой луч A после отражения от этого зеркала снова попадает в точку F2. Однако при смещении точки А по поверхности зеркала S длина ломаной AF2 уменьшается. Следовательно, время распространения света из  в F2 вдоль действительного пути максимально.


Наоборот, если взять зеркало S’ имеющее в точке касания меньшую кривизну, чем эллипсоид, или обращенное вогнутостью в противоположную сторону, то время распространения света вдоль действительного пути будет минимально. В частности, оно минимально при отражении от плоского зеркала. Допустим, наконец, что зеркало SAS' имеет в А точку перегиба. Тогда при смещении точки падения луча по поверхности этого зеркала время распространения либо увеличится, либо уменьшится, либо останется неизменным, в зависимости от направления смещения.

. Чтобы разобрать случай преломления, введем понятие анаберрационной поверхности[2]. Пусть точка Р находится в однородной среде с показателем преломления n, а точка Р' - в однородной среде с показателем преломления n' (рис. 8). Поверхность АА', вдоль которой среды граничат друг с другом, называется анаберрационной, если любая точка А этой поверхности удовлетворяет условию

n*РА + n'* АР' = С = const. (9)

Для случая преломления анаберрационная поверхность имеет форму так называемого картезианского овала. Он обращен вогнутостью в сторону более преломляющей среды (n' > n). Анаберрационная поверхность делит пространство на две части, обладающие следующим свойством. Если точка М расположена в менее преломляющей среде, то сумма n*РМ + n'*MP' больше С; если же она лежит в более преломляющей среде, то эта сумма меньше С.

Докажем следующую теорему. Луч света, вышедший из точки Р, после преломления на анаберрационной поверхности обязательно пройдет через точку Р'. Действительно, пусть РА - падающий луч, as - единичный вектор, направленный вдоль него. Соединим точку А с точкой Р' и обозначим через s' единичный вектор, направленный вдоль прямой АР'. По определению анаберрационной поверхности вариация оптической длины ломаной РAР' при смещении точки А по анаберрационной поверхности будет равна нулю. Поэтому, применяя такие же рассуждения, какие были проведены в пункте 2, найдем, что вектор ns - n's' перпендикулярен к анаберрационной поверхности в точке А. Отсюда следует, что АР' дает направление преломленного луча.

Доказанной теореме можно дать также следующую формулировку. Если АА' - анаберрационная поверхность относительно пары точек Р и Р', то каждая из этих точек будет оптическим изображением другой при преломлении лучей на этой анаберрационной поверхности. При этом на угловую ширину пучка лучей не накладывается никаких ограничений.

Вернемся к исследованию характера экстремума оптической длины луча при преломлении. Наши рассуждения ничем не будут отличаться от рассуждений, проведенных выше для эллипсоидального зеркала. Допустим, например, что среды граничат друг с другом вдоль поверхности S (рис. 8), касающейся анаберрационной поверхности в точке A. Тогда падающий луч после преломления в точке А опять пройдет через точку Р'. Пусть поверхность S обращена вогнутостью в ту же сторону, что и анаберрационная поверхность, и имеет в точке касания большую кривизну. Тогда при смещении точки падения вдоль S она окажется в менее преломляющей среде. Следовательно, смещенный путь будет иметь меньшую оптическую длину, чем действительный: время распространения света вдоль действительного пути максимально. Напротив, когда кривизна поверхности S в точке касания А меньше кривизны анаберрационной поверхности, а также тогда, когда поверхность S обращена вогнутостью в противоположную сторону, то время распространения вдоль действительного пути минимально. В частности, оно Минимально при преломлении на плоской поверхности.


 (10)

. Вывод законов геометрической оптики из принципа Ферма

Пусть свет, исходя из точки Р. приходит в точку Q, преломляясь на плоской границе раздела двух сред (рис. 9).

Проведем через  и  плоскость нормально к границе раздела (плоскость падения). Любой путь. лежащий вне плоскости падения, проходится светом за большее время, чем путь , проведенный в плоскости падения так, чтобы О явилось следом перпендикуляра, опущенного из  на плоскость падения. Действительно, как в первой, так и во второй среде длины путей, проходящих через , соответственно больше, чем через O ( и ).

Итак, в согласии с принципом Ферма путь, требующий минимального времени, должен лежать в плоскости падения (первый закон преломления). Для того чтобы из всех путей от Р до Q, лежащих в плоскости падения, выбрать путь, требующий минимального времени, исследуем, как меняется это время в зависимости от положения точки О на линии пересечения плоскости падения и плоскости раздела.

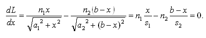
Положение точки О определено длиной отрезка АО = х, где А - след перпендикуляра, опущенного из Р на плоскость раздела. Время распространения света по пути POQ есть

 (11)

где  и  - скорости света в первой и второй средах. Обозначив   , найдем, что

 (12)

Условие, определяющее, при каком значении х это время будет минимально, есть равенство нулю  Из него следует:

  (13)

т.е.

 (14)

или

 (15)

Таким образом, из принципа Ферма вытекает закон преломления световых лучей. Закон отражения лучей.

Пусть свет попадает из точки А в точку В, отразившись от поверхности MN (рис. 10). Среда, в которой проходит луч, однородна. Поэтому минимальность оптической длины пути сводится к минимальности его геометрической длины. Геометрическая длина произвольно взятого пути равна  (вспомогательная точка А' является зеркальным изображением точки A). Из рисунка видно, что наименьшей длиной обладаетпуть луча, отразившегося в точке О, для которого угол отражения равен углу падения. Заметим, что при удалении точки О' от точки О геометрическая длина пути неограниченно возрастает, так что в данном случае имеется только один экстремум - минимум.


Рассмотрим теперь отражение света от искривленной поверхности, касающейся плоскости в той точке О, в которой происходило бы отражение в случае плоскости (рис. 11). На рисунке показаны два примера таких поверхностей, изогнутых в противоположные стороны: IOI, касающаяся снизу, и IIОII, касающаяся сверху оси абсцисс. (Мы рассматриваем цилиндрические поверхности с образующими, перпендикулярными плоскости чертежа.)

Можно показать, что при этом достаточно рассматривать лучи, лежащие в плоскости рисунка, и сечения отражающих поверхностей плоскостью чертежа. Поэтому в дальнейшем будем говорить не об отражающей плоскости, а об отражающей прямой, не об отражающих кривых поверхностях, а об отражающих кривых линиях 101 и IIОII в плоскости рис. 11.

Для рассмотрения задачи не надо конкретных вычислений. Известно, что расстояние между кривой и касательной пропорционально где х0 обозначает абсциссу точки касания О.

Рассмотрим длины ломаных  и . Сами эти ломаные на рис.11 не показаны, чтобы не затенять чертеж, точки Оп , , как видно на рисунке, лежат правее точки касания О, при одном и том же значении х ; при этом Оп лежит на прямой, - на нижней линии I ,  - на верхней линии II. Видя на рисунке точки И, А, Оп, ,  , нетрудно представить себе и ломаные линии.

Абсциссы Оп ,,одинаковы. Ординаты Оп ,,отличаются на величину, пропорциональную . Следовательно, и длины отличаются только на величину, пропорциональную  Запишем разложения  в ряд Тейлора по степеням  :

 (16)

 (17)

 (18)

Раз  отличаются только на величину порядка , значит,