Материал: Управление денежной наличностью организации

Внимание! Если размещение файла нарушает Ваши авторские права, то обязательно сообщите нам

Управление денежной наличностью организации

Министерство сельского хозяйства Российской Федерации

Федеральное государственное бюджетное образовательное учреждение высшего профессионального образования

«КУБАНСКИЙ ГОСУДАРСТВЕННЫЙ АГРАРНЫЙ УНИВЕРСИТЕТ»

Кафедра финансов








КУРСОВАЯ РАБОТА

по финансовому менеджменту

на тему: «Управление денежной наличностью организации»









Краснодар - 2015

СОДЕРЖАНИЕ

ВВЕДЕНИЕ

ГЛАВА 1. ТЕОРЕТИЧЕСКИЕ АСПЕКТЫ УПРАВЛЕНИЯ ДЕНЕЖНЫМИ АКТИВАМИ ОРГАНИЗАЦИИ

.1 Содержание политики управления денежной наличностью организации

.2 Цели и методы управления денежными средствами

ГЛАВА 2. КРАТКАЯ ЭКОНОМИЧЕСКАЯ ХАРАКТЕРИСТИКА ОРГАНИЗАЦИИ

ГЛАВА 3. МЕХАНИХМ УПРАВЛЕНИЯ ДЕНЕЖНОЙ НАЛИЧНОСТЬЮ ОРГАНИЗАЦИИ

.1 Анализ движения денежных средств в организации

.2 Модели оптимизации остатка денежных средств

.3 Совершенствование управления денежными средствами организаций в современных условиях

ЗАКЛЮЧЕНИЕ

СПИСОК ИСПОЛЬЗОВАННЫХ ИСТОЧНИКОВ

ПРИЛОЖЕНИЕ

Введение

Денежные средства организации представляют собой совокупность денег, находящихся в кассе, на банковских расчётных, валютных, специальных и депозитных счетах, в выставленных аккредитивах, чековых книжках, переводах в пути и денежных документах.

Методологические основы формирования концепции денежных потоков предприятий возникли в США в середине 50-х годов XX в.

Основоположниками теории денежных потоков считают следующих учёных: Л.А. Бернстайн, Ю. Бригхем,, К. Хитчинг, Э. Хелферт и др. Впоследствии среди российских экономистов наиболее значимыми по данной проблематике выделяются работы И.Т. Балабанова, В.В. Бочарова, В.В. Ковалева, Г.В. Тимофеевой, А.Д. Шеремета и др.

Денежные средства характеризуют начальную и конечную стадии кругооборота хозяйственных средств. Скоростью их движения во многом определяется эффективность всей предпринимательской деятельности организации. Объёмом имеющихся у неё денег, как важнейшего средства платежа по обязательствам, определяется ее платёжеспособность - одна из важнейших характеристик финансового положения. Кроме того, организации необходимы определённые запасы резервных денег для оплаты возможных непредвиденных обязательств, а также для осуществления неожиданных выгодных инвестиций. Но всякие излишние запасы денежных средств приводят к замедлению их оборота, то есть, к снижению эффективности их использования, а в условиях инфляции и к прямым потерям за счёт их обесценивания.

В условиях рыночной экономики следует исходить из принципа, что умелое использование денежных средств может приносить предприятию дополнительный доход, и, следовательно, необходимо постоянно думать о рациональном вложении временно свободных денежных средств для получения дополнительной прибыли. Поэтому большое значение имеет учёт денежных средств и контроль над их обращением на расчётных и валютных счетах в банках.

Бухгалтерский учёт денежных средств имеет большое значение для правильной организации денежного обращения, организации расчётов и кредитования. Контроль над движением денежных средств, расчётами и банковским кредитом является одной из основных задач для предприятий.

Основными задачами бухгалтерского учёта и анализа денежных средств являются:

полный, точный и своевременный учёт этих средств и операций по их движению;

контроль за наличием денежных средств и денежных документов, их сохранностью и целевым использованием;

контроль за соблюдением кассовой и расчетно-платежной дисциплиной;

выявление возможностей более рационального использования денежных средств, особенно в период кризиса.

Искусство управления денежными потоками заключается не в том, чтобы накопить как можно больше денег, а в оптимизации их запасов, в стремлении к такому планированию денежных потоков, чтобы к каждому очередному платежу по обязательствам организации ей было обеспечено поступление денег от покупателей или дебиторов при сохранении необходимых резервов. Такой подход позволяет сохранять текущую (повседневную) платёжеспособность и извлекать дополнительную прибыль за счёт инвестиций временно свободных денег.

Все это придаёт особое значение анализу денежных средств как важнейшему инструменту управления денежными потоками, контроля сохранности, законности и эффективности использования денежных ресурсов, поддержания повседневной платёжеспособности организации.

Глава 1. ТЕОРЕТИЧЕСКИЕ АСПЕКТЫ УПРАВЛЕНИЯ ДЕНЕЖНЫМИ АКТИВАМИ ОРГАНИЗАЦИИ

.1 Содержание политики управления денежной наличностью организации

Денежные средства - это финансовые ресурсы организации, самые высоколиквидные активы, способные обеспечить выполнение обязательств любого вида и уровня. Понятно, что от их наличия зависит своевременность погашения задолженности перед бюджетом, персоналом и прочими кредиторами.

Джон Мейнард Кейнс в своей знаменитой работе «Общая теория занятости, процента и денег» выделил три причины предпочтения ликвидности (денежных средств): спекулятивный мотив, мотив предосторожности и трансакционный мотив.

Спекулятивный мотив связан с необходимостью держать деньги для получения преимуществ при возникновении возможных привлекательных объектов инвестирования.

Мотив предосторожности - необходимость держания денег в качестве надёжного финансового резерва. Он имеет смысл с точки зрения поддержания ликвидности организации. Но в условиях стабильности денежного рынка и высокой ликвидности денежных инструментов (например, векселей) нет необходимости держать существенные суммы денег из предосторожности.

Трансакционный мотив связан с необходимостью наличия денег для осуществления текущих платежей и сбора поступлений, связанных с операционной деятельностью предприятия.

Наиболее ликвидными активами предприятий являются денежные средства, краткосрочные финансовые вложения. Как уже отмечено, к денежным средствам организации (предприятия) относятся деньги в кассе, на расчётных, валютных и специальных счетах, средства, находящиеся в пути. Сточки зрения ликвидности в составе краткосрочных финансовых вложений следует выделять краткосрочные депозитные счета в банках и быстро реализуемые ценные бумаги с позиций их минимального срока обращения и отсутствия риска утраты основной суммы.

Поскольку финансовые обязательства оплачиваются наличными деньгами, то финансистам предприятий требуется обеспечить достаточный объем наличных денег для покрытия краткосрочных обязательств, что является условием соблюдения абсолютной ликвидности предприятия. Выполнение этого условия требует новых методов управления наличными деньгами.

Актуальная проблема для финансистов предприятий в современных условиях - установление нижнего предела остатка наличных денежных средств в национальной и иностранной валютах (плановое сальдо денежных средств), которого достаточно:

а) для своевременной оплаты счетов поставщиков, позволяющей воспользоваться предоставленными ими скидками с цены товаров;

б) для поддержания постоянной платёжеспособности (кредитоспособности);

в) для оплаты непредвиденных расходов, возникающих в процессе коммерческой деятельности.

Решая данную проблему, необходимо иметь в виду, что иммобилизация денежных ресурсов в форме неснижаемого остатка денег на расчётном счёте связана для предприятия с определёнными потерями. С некоторой долей условности их величину можно оценить размером упущенной выгоды от участия в каком-либо инвестиционном проекте. Поэтому целесообразно учитывать два взаимоисключающих обстоятельства: поддержание текущей платёжеспособности и получение дополнительной прибыли от вложения свободных денежных средств. Таким образом, если организация старается держать наличными слишком мало денег, она будет сталкиваться гораздо чаще, чем желательно, с недостатком наличности, а следовательно, должна продавать легко реализуемые ценные бумаги (и возможно позднее покупать их взамен проданных) чаще, чем следовало бы при более высоком сальдо денежных средств. Тем самым издержки, связанные с пополнением остатка денежных средств (трансакционные издержки) будут выше при относительно малом сальдо денежных средств. С увеличением последнего эти издержки будут падать.

В противоположность им издержки неиспользованных возможностей содержания небольшого объёма денег очень малы. Вместе с тем они увеличиваются с ростом остатка наличных средств, потому что предприятие больше и больше отказывается от процентных доходов, которые могли бы быть заработаны им.

Между тем в рамках обшей теории инвестирования денежные средства представляют собой частный случай вложения в материальные запасы. Поэтому к ним применимы общие требования теории управления запасами, т.е. необходим базовый запас денежных средств для текущих платежей. Кроме того, требуются дополнительные денежные средства для покрытия непредвиденных расходов, а также целесообразно располагать определённой суммой свободных денежных средств для обеспечения возможного расширения масштабов производственно-коммерческой деятельности.

Классическое средство анализа проблем управления денежными средствами - модель Баумоля (Baumol-Allais-Tobin - BAT). Эта модель предполагает, что предприятие начинает работать, имея целесообразный для него уровень денежных средств, затем постоянно расходует их в течение некоторого периода времени. Все поступающие средства от реализации товаров и услуг предприятие вкладывает в краткосрочные ценные бумаги. Как только запас денежных средств истощается, т.е. становится равным нулю или достигает некоторого заданного уровня безопасности, предприятие продаёт часть ценных бумаг и тем самым пополняет запас денежных средств до первоначальной величины.

Таким образом, динамика остатка средств на расчётном счёте представляет собой следующий график (рис. 8.1).


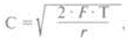
В соответствии с этой моделью оптимальное начальное сальдо денежных средств С (оптимальная сумма сделки по продаже ценных бумаг) определяется по следующей формуле:


где Т - общая сумма дополнительных денежных средств, необходимых для поддержания текущих операций; F - постоянные трансакционные издержки по купле-продаже ценных бумаг или по обслуживанию полученного займа; r - издержки неиспользованных возможностей держания денег, или относительная величина альтернативных затрат (полученного дохода) - принимается в размере ставки доходности по ликвидным ценным бумагам или процента от предоставления имеющихся средств в кредит; С/2 - средний денежный остаток.

Модель Баумоля проста и в достаточной степени приемлема для предприятий, денежные расходы которых стабильны и прогнозируемы. В действительности же остаток средств на расчётном счёте изменяется случайным образом, причём возможны значительные колебания. Надо отметить, что существенным недостатком модели Баумоля является предположение об устойчивости и предсказуемости денежных потоков; кроме того, она не учитывает сезонности и цикличности производства.

Рассмотрим пример. Денежные расходы организации в течение года составляют 1,5 млн руб. Процентная ставка по государственным ценным бумагам равна 6%. Затраты, связанные с каждой их реализацией, составляют 800 руб. Используя модель Баумоля, рассчитайте оптимальную величину денежных средств организации, которая может быть получена в результате продажи ликвидных ценных бумаг, а также средний остаток денежных средств и общее количество сделок по трансформации ценных бумаг в денежные средства.

По модели Баумоля оптимальная величина денежных средств (С) может быть получена в результате продажи ликвидных ценных бумаг или в результате займа, что определяется по уже известной нам формуле:


Средний размер денежных средств определяется делением С (оптимальной величины денежных средств) на 2, т.е. он составит в нашем случае 100 тыс. руб.

Общее количество сделок по трансформации ценных бумаг в денежные средства за год (к) определяется по формуле:


Кроме модели Баумоля для управления денежной наличностью в практике западных корпораций большое распространение получили модели Миллера-Ора, Стоуна, имитационное моделирование по методу Монте-Карло.

Если главный недостаток модели ВАТ состоит в допущении постоянных и фиксированных денежных оттоков, то модель Миллера-Ора представляет собой систему управления наличностью, ориентированную на денежные притоки и оттоки, которые меняются случайным образом день ото дня.

Основная идея модели Мертона Миллера и Даниэла Ора состоит в том, что сальдо денежных средств случайным образом отклоняется вверх и вниз и что среднее изменение равно нулю, т.е. система действует в пределах верхнего объёма денежных средств U и нижнего предела L, а также планового денежного сальдо С (рис. 8.2).


Предприятие при этом позволяет денежному сальдо перемещаться между нижним и верхним пределами. Пока денежное сальдо находится между U и L, ничего не происходит. Но когда денежное сальдо достигает верхнего предела, компания производит денежное изъятие со счета в легкореализуемые ценные бумаги. Это действие снижает денежное сальдо до величины С. Если денежное сальдо падает до нижнего предела L, то предприятие вынуждено продавать пенные бумаги на сумму С - L с целью пополнения своего расчётного счета. Это действие увеличит денежное сальдо до размера С.

Как и в модели ВАТ, оптимальное денежное сальдо зависит от трансакционных расходов и издержек неиспользованных возможностей. Необходима только одна дополнительная информация в виде величины дисперсии чистого денежного потока за период, σ2.

При заданном значении L, которое установлено предприятием, модель Миллера-Ора показывает, что плановое денежное сальдо С и верхний предел U, который минимизирует общие издержки держания наличных денег, равны:

С = L + (3/4 • F x σ2/R)1/3; U =3 • C-2 • L.

Среднее же сальдо денежных средств в модели Миллера-Ора равно

Сср = (4 • С-L)/3.

Таким образом, преимущество модели Миллера-Ора состоит в том, что она улучшает наше понимание проблемы управления денежными средствами, считая, что эффект неопределённости выражается отклонением чистых денежных потоков. Модель показывает, что чем больше неопределённость (чем выше σ2), тем больше разность между плановым и минимальным сальдо денежных средств. Подобным образом, чем больше неопределённость, тем выше верхний предел и среднее денежное сальдо.

Резюмируя вышеизложенное, заметим, что наличие определённого остатка денежных средств на счетах предприятия является гарантией его финансовой устойчивости и бесперебойного хода производственного процесса. Вместе с тем омертвление финансовых ресурсов в виде денежных средств связано с определёнными потерями: с некоторой долей условности их величину можно оценить размером упущенной выгоды от участия в каком-либо доступном инвестиционном проекте. Поэтому любая компания должна учитывать два взаимно исключающих обстоятельства: поддержание текущей платёжеспособности и получение дополнительной прибыли от инвестирования свободных денежных средств.

1.2 Цели и методы управления денежными средствами

Роль финансового рынка в экономике России становится очевидной и существенной: государственный долг, продолжающийся процесс приватизации, накопление капитала банками и промышленными предприятиями, индивидуальные сбережения населения - буквально все "замкнуто" на финансовом рынке.