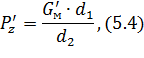
Для определения соответствия мощности базовой машины
и мощности, требуемой для выполнения
работы в заданных условиях, необходимо определить коэффициент использования
мощности базовой машины
:
где:
- мощность двигателя базовой, машины, определяемая
характеристиками машины.
По полученным значениям ким необходимо сделать вывод о реализации
мощности двигателя базовой машины: достаточна или нет мощность, с каким запасом
она используется в заданных условиях. В случае, если
необходимо изменить параметры
глубины рыхления
и рабочей скорости
и произвести новый расчет значений
, ΣW и значения потребной мощности
двигателя и
.
В рабочих условиях возможности движения базовой машины с рабочим оборудованием на той или иной передаче (выбор передачи зависит от рекомендуемой скорости движения для применяемого рабочего оборудования) ограничиваются мощностью двигателя и силами сцепления (возможностью машины реализовывать силу тяги на ведущих органах без буксования).
Для определения условий движения машины с рыхлительной навеской в
заданном режиме необходимо произвести расчет силы тяги по двигателю
, силы тяги по сцеплению
и сравнить полученные значения с
суммарной силой сопротивления. В зависимости от полученных результатов делается
вывод об условии движения машины.
Сила тяги по двигателю определяется по формуле:
где:
- коэффициент буксования, принимается для гусеничных машин
(0,07).
Сила тяги по сцеплению зависит от типа и состояния грунта, типа
движителя, которые определяют величину коэффициента сцепления
, а также от сцепного веса машины
Параметр
определяется в зависимости от типа
движителя.
; (3.11)
где:
- коэффициент массы по сцеплению для гусеничных (0,95).
= (H)
Сила тяги по сцеплению определяется по формуле:
где:
коэффициент сцепления, для гусеничных (0,85).
Для нормальной работы рыхлителя необходимо соблюдение
следующего условия:
(3.13)
Анализ зависимости (3.13) показывает, что движение машины в заданных условиях работы возможно при следующих условиях:
суммарная сила сопротивления ΣW не превосходит по своей величине
значение, силы тяги
, которую развивает машина на рекомендованной передаче;
сила тяги
. подводимая к ведущим органам машины, не превышает силы тяги
по сцеплению
.
В зависимости от полученного значения выражения (3.13) необходимо сделать вывод о реализации тяговых возможностей базовой машины.
Высота зуба устанавливается:
(4.1)
где: а - конструктивный размер (рис 1): к - расстояние от низшей точки рамы до поверхности грунта (табл.2).
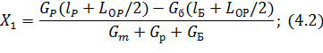
Положение центра тяжести машины с оборудованием (рис.4.1) определяется из
условия, что сила тяжести трактора
приложена по середине опорной линии
. Смешение центра тяжести при
навешивании рабочего оборудования равно:
где
- смещение центра тяжести;
- расстояние от оси задней звездочки до центра тяжести
рыхлительного оборудования. м; принимается как 0,8· d2 (рис.4.1);
- расстояние от оси передней звездочки до центра тяжести
бульдозерного оборудования, м. принимается как 0.8·d3.
Если
отрицательное, то центр тяжести смещается в сторону
бульдозерного оборудования; если
положительное, то центр тяжести
смещается в сторону рыхлительного оборудования. Полученное значение
должно находиться в пределах допускаемого
значения 1/6
для обеспечения устойчивости машины в транспортном положении.
В случае если полученный параметр лежит вне допустимых пределов, необходимо
изменить соответствующие конструктивные параметры.
В процессе работы на дорожно-строительную машину действуют два вида сил: активные силы (сила тяжести машины и рабочего оборудования, сила тяги машины, силы, приложенные к штоку исполнительного гидроцилиндра и.т.п.) и реактивные силы, которые, в свою очередь, подразделяются на внешние (силы взаимодействия рабочих органов и базовой машины с грунтом) и внутренние (силы, действующие в узлах связи отдельных элементов рабочего органа и базовой машины).
При расчете сил, действующих на дорожно-строительную машину, в том числе и на рыхлитель, важно выбрать такое положение, при котором значения реактивных сил в расчетном узле будет максимальным. При расчете рыхлителя принято производить расчет в грех положениях: начало заглубления, рыхление и выглубление.
Координата центра давления, точки приложения равнодействующей нормальных сил реакции грунта определяется для случая, когда машина движется по горизонтальной поверхности с максимально возможным заглублением зуба, внезапный наезд на камень одним зубом, гидроцилиндры привода рыхлителя заперты. Расчетная схема представлена на рис.5.1.
Вертикальная составляющая
силы сопротивления рыхления
имеет максимальное значение и
определяется тяговыми возможностями базовой машины с учетом динамического
характера приложения нагрузки:
где:
- коэффициент использования тягового усилия, принимается
(0,8);
- коэффициент динамичности, (2,0).
Вертикальная составляющая силы сопротивления рыхлению
может быть определена из расчетной
схемы (рис.2.) по формуле:
, (5.2)
где:
- горизонтальная составляющая реакции грунта без учета
коэффициента динамичности;
v - угол наклона силы к поверхности рыхления, принимается = 20°;
- коэффициент динамичности в вертикальном направлении, (1,6).
.
Горизонтальная составляющая реакции грунта находится по формуле:
(5.3)
Расчетная схема при выглублении зуба показана на рис.5.2 . Вертикальная
составляющая реакции грунта
, при выглублении определяется из условия опрокидывании
относительно, точки А:
где:
- масса машины с учетом бульдозерного оборудования, Н;
- расстояние от центра тяжести рыхлителя до оси задней
звездочки, м,
Определяется с учетом смещения центра тяжести по линии опорной
поверхности:
(5.6)
Во время рыхления грунта имеет место возникновение боковой составляющей
сил сопротивления рыхлению
, которая определяется по формуле:
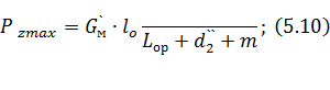
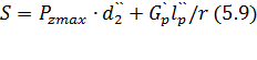
Для выбора гидроцилиндров необходимо найти максимальное
значение усилия S на штоке гидроцилиндра. Расчетное положение представлено на
рис.4 . В этом положении предусматривается начало заглубления зубьев в грунт,
когда усилие S настолько велико, что возможно вывешивание машины относительно
точки В. Машина находится в статическом состоянии. Сила S определяется из
уравнения равновесия:
откуда:
Значения
,
, r, m принимаются по параметрам прототипов навесок и базовых
машин и из эскизной компоновки рыхлителя, которая производится параллельно с
расчетом сил, действующих на машину.
Расчет зуба на прочность предусматривает установление его размеров в
поперечном сечении. В данном расчете принимаются опасные сечения 1-1 и 2-2.
Изгибающий момент в сечении I - I рассчитывается, но формуле:
Момент сопротивления сечения:
Геометрические размеры принимаются конструктивно в процессе предыдущих
расчетов. Нормальное напряжение от изгиба при принятой характеристике сечения:
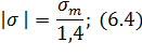
Материал стойки зуба выбирается из (табл.) Допускаемое напряжение равно:
Материал и геометрические параметры выбраны верно, если нормальное
напряжение в расчетном сечении меньше допускаемого. В противном случае
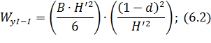
необходимо изменить геометрию стойки или выбрать другую марку стали. В сечении II-II необходимо принять размеры B, Н, и угол a между
горизонтально плоскостью и осью наконечника (при γ=40°
α=22) WyII-II=BH2/6, площадь сечения F.
В сечении II-II действуют изгибающий момент в плоскости XOZ и сжимающая сила
NII-II.
Изгибающий момент в сечении определяется по формуле:
Сжимающая сила:
Общее напряжение в сечении II-II составит:

Если полученное значение общего напряжения в сечении меньше пли равно
допускаемого (30), то размеры сечения подобраны верно.
Эксплуатационную производительность рыхлителя определяют по формуле:
где
- скорость рабочего хода, км/ч;
- глубина рыхления, м;
- длина рабочего хода в одну сторону, м;
- коэффициент использования рабочего времени;
- время одного разворота в конце участка, с учетом
выглубления зубьев;
- ширина захвата при рыхлении.
Ширина захвата при рыхлении определяется по формуле:
где
- коэффициент перекрытия;
- ширина зуба; Z - количество зубьев;
- угол скола по вертикали;