Материал: Структура системы управления гостиничным предприятием

Внимание! Если размещение файла нарушает Ваши авторские права, то обязательно сообщите нам

Организационно-административные методы управления

Организационно-административные методы управления базируются на прямых директивных указаниях. Объективной основой использования этих методов выступают организационные отношения, составляющие часть механизма управления. Задача организационно-административной деятельности состоит в координации действий подчиненных. Никакие экономические методы не смогут существовать без организационно-административного воздействия, которое обеспечивает четкость, дисциплинированность и порядок работы в коллективе. Важно определить оптимальное сочетание, рациональное соотношение организационно-административных и экономических методов.

Организационно-административные методы оказывают прямое воздействие на управляемый объект через приказы, распоряжения, оперативные указания, отдаваемые письменно или устно, контроль за их выполнением, систему административных средств поддержания трудовой дисциплины и т.д. Они призваны обеспечить организационную четкость и дисциплину труда. Эти методы регламентируются правовыми актами трудового и хозяйственного законодательства.

Социально-психологические методы управления

Установлено, что результаты труда во многом зависят от психологических факторов. Умение учитывать эти факторы и с их помощью целенаправленно воздействовать на отдельных работников поможет руководителю сформировать коллектив с едиными целями и задачами. Социологические исследования свидетельствуют, что успех деятельности хозяйственного руководителя на 15 % зависит от его профессиональных знаний и на 85 % - от умения работать с людьми.

Главная цель применения этих методов - формирование в коллективе положительного социально-психологического климата, благодаря чему в значительной мере будут решаться воспитательные, организационные и экономические задачи.

Понимание руководителем биологической природы и внутреннего мира личности помогает ему подобрать наиболее эффективные формы сплочения и активизации коллектива. Объектом же социально-психологического руководства в трудовом коллективе являются взаимоотношения работников, их отношение к средствам труда и окружающей среде.

Необходимость использования в практике управления гостиницей социально-психологических методов руководства очевидна, так как они позволяют своевременно учитывать мотивы деятельности и потребности работников, видеть перспективы изменения конкретной ситуации, принимать оптимальные управленческие решения.

1.4 Системный подход к организации


Усиление взаимосвязанности и переплетение всех сторон деятельности организации, в том числе производственной, финансовой, социальной, маркетинговой, привело к формированию в середине XX в. так называемого системного подхода к организации.

Следовательно, элементы, составляющие содержание, управленческой деятельности, все без исключения друг с другом взаимосвязаны, оказывают друг на друга непосредственное воздействие. В результате изменения в одном из них неизбежно обусловливает изменения в остальных, а в конечном счете - во всей организации. Это требует комплексного решения любых ее проблем: больших и малых, простых и сложных, текущих и перспективных.

Системный подход - это:

·        Применение теории систем в менеджменте;

·        Способ мышления менеджеров по отношению к организации и управлению;

Чтобы понять, что системный подход помогает руководителю более эффективно достигать целей организации, необходимо определить, то такое система.

Система - это совокупность взаимосвязанных элементов, образующих единое целое.

Все организации представляют собой социотехническую систему, так как в них наряду с техникой работают люди. Точно так же как в биологическом организме, в организации все ее части взаимосвязаны.

Системный подход предполагает рассмотрение организации в виде открытой системы, которая взаимодействует с внешней средой. (рис 1.4.)

Рис. 1.5 Модель организации как открытой системы

Представители системы подхода Ч. Бернард, П. Друкер во главу угла ставили цели организации. Лишь после их выработки, утверждали они, можно определять ее функции, систему и методы взаимодействия элементов процесса управления.

В 1980-е гг. одной из наиболее известных теорий в рамках системного подхода стала концепция "7-S”, разработанная Э. Атосом и др. Она означает семь взаимосвязанных переменных в организации, названия которых в английском языке начинаются с буквы S (рис 1.5)

Рис. 1.5 Взаимосвязанные элементы организации в концепции "7-S”

Опираясь на данную концепцию можно сказать, что эффективные организации включат в себя семь взаимосвязанных ключевых элементов. Изменения в одном из них через систему связей оказывают влияние на состояние остальных и требуют их изменения. Поэтому поддержание баланса и гармонии между ними составляют главную задачу современного менеджмента.

1.5 Ситуационный подход к организации


Ситуация - это конкретный набор обстоятельств, влияющих на организацию в данное время.

Ситуационный подход к управлению предприятием основывается на ситуационных различиях между организациями и внутри самих организаций. Ситуационные теории предполагают, что общий процесс управления одинаков, специфические подходы и приемы, которые должен использовать руководитель, могут значительно различаться и зависят от конкретной ситуации.

Авторы ситуационных теорий говорят о том, чтобы увязать приемы и методы с конкретными ситуациями, для того чтобы достичь целей организации наиболее эффективно.

Чтобы использовать ситуационный подход в управлении руководитель должен:

.        освоить средства профессионального управления, которое доказали свою эффективность в разных ситуациях;

2.      уметь правильно интерпретировать ситуацию и определять значимые переменные ситуации, влияющие на эффективность организации.

.        Научиться предвидеть положительные и отрицательные последствия принимаемых решений

.        Быть способным увязывать конкретные приемы с конкретными ситуациями, обеспечивая достижение целей организации самым эффективным путем в сложившихся обстоятельствах.

Ситуационный подход к управлению организацией основывается на ситуационных различиях между организациями и внутри самих организаций. Ситуационный подход предполагает, то для более эффективного достижения целей организации руководитель должен учитывать конкретную ситуацию и выбирать наиболее подходящие для данной ситуации методы и приемы решения тех или иных проблем.

1.5 Организационная структура предприятия


Организация структуры предприятия предусматривает разделение услуг на отдельные операции, а коллектив предприятия - на группы, отвечающие за отдельные участки обслуживания. При этом необходима координация и управление отдельными участками для обеспечения целостности процесса.

Теория управления предлагает много подходов к построению организационной структуры, но не все они одинаково эффективны. Организационная структура создается с целью отстаивания корпоративных интересов, а не интересов отдельных групп или работников предприятий. Организационная структура предприятия не может оставаться неизменной в течение длительного периода, то есть она должна трансформироваться.

Для того, чтобы создать организационную структуру необходимо:

сгруппировать рабочие места в отделы и структурные подразделения (структурная иерархия) ;

скоординировать функциональную деятельность (сформировать горизонтальную структуру) .

Каждое предприятие имеет свою собственную организационную структуру, которая обеспечивает его деятельность. Она формируется под действием ряд факторов: назначение, местонахождение, категории потребителей, формы собственности и т.п.

Целью организационной структуры является:

разделение труда;

определение задач и обязанностей работников;

определение ролей и взаимоотношений (полномочий, которые связывают высшее руководство с низшими уровнями работников. Эти отношения устанавливаются посредством делегирования, которое означает передачу полномочий и задач лицу, которое принимает на себя ответственность за их выполнение) .

При разработке организационной структуры важную роль играет и количество уровней в иерархии управления, когда командные ступени выстраиваются в вертикальный ряд и строится схема взаимоотношений между руководителями и подчиненными.

Что имеется в виду под структурой предприятия? Здесь имеется в виду организационная структура виде схематического отображения различных структурных единиц предприятия, которые существуют в компании, или мы имеем в виду организационную структуру или схему (сокращенно оргсхему) , которая организует и приводит в порядок все бизнес процессы предприятия, определяет взаимосвязи и зоны ответственности, а также отображает путь к получению конечного результата деятельности.

Типы организационных структур:

В управленческой практике индустрии гостеприимства наиболее распространены следующие типы организационных структур:

линейный;

функциональный;

линейно-функциональный.

Линейная организационная структура управления. Организация линейной структуры управления базируется на сосредоточении всех производственных и управленческих функций в руках одного руководителя. Единственный руководитель (который должен быть компетентным во всех вопросах, связанных с работой его участка)  обеспечивает скорость взаимодействия с исполнителями, упрощает контроль выполнения поручений, кроме того, сокращается численность управленческого аппарата.

Рис.1.6. Линейная организационная структура управления организацией

Как видно из рисунка 1.6, при линейном управлении каждое звено и каждый подчиненный имеют одного руководителя, через которого по одному каналу проходят все команды управления.

Этот вид организационной структуры является благоприятным для стабильной и прочной организации, так как каждый управленец подчиняется только одному руководителю.

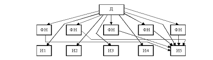
Функциональная организационная структура управления. Функциональное управление осуществляется некоторой совокупностью подразделений, специализированных на выполнении конкретных видов работ, необходимых для принятия решений в системе линейного управления (рис.2) . Идея состоит в том, что выполнение отдельных функций возлагается на специалистов.

В организации, как правило, специалисты одного профиля объединяются в структурные подразделения (отделы) , например отдел маркетинга, отдел приема и размещения, плановый отдел и т.д.

Таким образом, общая задача управления организацией делится, начиная со среднего уровня, по функциональному критерию. Отсюда и название - функциональная структура управления.

Рис.1.7 Функциональная организационная структура управления организацией., где Д - директор, ФН - функциональный начальник, И - исполнитель

Функциональное управление существует наряду с линейным, что создает двойное подчинение для исполнителей.

Как видно из рисунка 1.7, вместо универсальных менеджеров (см. рис.1) , которые должны разбираться и выполнять все функции управления, появляется штат специалистов, имеющих высокую компетенцию в своей области и отвечающих за определенное направление (например, планирование и прогнозирование) .

Такая функциональная специализация аппарата управления значительно повышает результативность деятельности гостиницы.

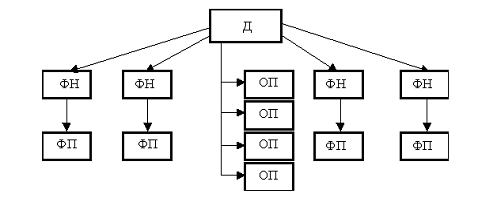
Линейно-функциональная (штабная)  структура управления. При такой структуре управления всю полноту власти берет на себя линейный руководитель, возглавляющий определенный коллектив.

При разработке конкретных вопросов и подготовке соответствующих решений, программ, планов ему помогает специальный аппарат, состоящий из функциональных подразделений (управлений, отделов, бюро и т.д.)  (рис.1.8) .

Рис.1.8 Линейно-функциональная организационная структура управления., где Д - директор, ФН - функциональный начальник, И - исполнитель

Линейно-функциональные организационные структуры управления наиболее эффективны в стабильной среде, рассчитаны на использование действующих технологий, содействуют эффективному выполнению стандартизированных эксплуатационных мероприятий, ориентированы на ценовую конкуренцию. Они наиболее эффективны там, где аппарат управления выполняет рутинные, часто повторяющиеся и редко меняющиеся задачи и функции.

Линейно-функциональная структура наиболее применима на средних и крупных предприятиях, с численностью от 500 до 3000 человек.

Глава II. Организационная структура гостиничного предприятия


2.1 Понятие и принципы построения систем управления в гостиницах


Управление гостиницей представляет собой важный вид профессиональной экономической деятельности, которая ориентирована на достижение цели через рациональную организацию материальных, трудовых, информационных ресурсов гостиничного предприятия с применением принципов, функций и методов управления.

Для обеспечения эффективного функционирования любого гостиничного предприятия важное значение имеет построение организационно-функциональной структуры управления. Организационно-функциональная структура управления - это упорядоченная система управленческих звеньев, расположенных в строгом подчинении, обеспечивающих взаимосвязь между управляющей и управляемой подсистемами, развитие системы как единого целого. Звенья управления образуют структуру управления с конкретным расположением, соотношением и взаимосвязью между собой. Создание организационной структуры управления обусловлено необходимостью распределения прав и обязанностей между отдельными подразделениями организации. Организационная структура управления - одно из ключевых понятий в менеджменте необходимо для определения четкой взаимосвязи и взаимодействия структурных звеньев в управленческом процессе и корректировка их функциональным процессом в достижении целей организации. Организационная структура гостиничного предприятия формируется для обеспечения его перспективной конкурентоспособности, экономической эффективности, рациональной кооперации. Представлена ​​организационно-функциональная структура управления в виде схемы, отображающей взаимосвязи структурных подразделений гостиницы, согласно выполнение функций в управлении предприятием. Эта схема отражает расположение каждой службы и должности в общей организации отеля, иллюстрирует распределение полномочий и обязанностей персонала, необходимая для эффективного выполнения ключевых функций работниками, определения их подотчетности. Управление предприятием индустрии гостеприимства связывается с оптимальным распределением целей и задач между структурными звеньями (службами, изменениями, бригадами и др.) . И каждым отдельным работником предприятия. Структура управления, таким образом, определяется делением органов управления индустрии гостеприимства, характером их специализации - задачи управления и формами координации их деятельности. Визуально организационная структура управления гостиничного предприятия отражается графическим способом в виде двумерной схемы. Схема фиксирует в компактной форме информацию об иерархичности, полномочия и подчинение уровней управления. Организационная схема управления гостиничным предприятием создается руководителями предприятия на начальной стадии его возникновения и определяется специализацией заведения, его категории, объемом номерного фонда, расположением, категорией гостей и другими факторами. В создании организационной схемы важную роль играет анализ создания подразделений управления, четкого определения их функциональных обязанностей, связей в самом подразделении (службе, отделе)  и между подразделениями в производственном процессе.