Материал: Строительство сети данных

Внимание! Если размещение файла нарушает Ваши авторские права, то обязательно сообщите нам

Таблица 12. Веса критериев оценки альтернатив


Количество частотных подканалов

Максимальная дальность пролёта без усиления

Наличие многовариантных топологий

Вносимое мультиплексором затухание

Оптический бюджет системы

Удобство работы с интерфейсом

Время переключения направления

C

1.807

1.853

1

0.44

3.78

0.265

0.679

V

0.184

0.189

0.102

0.045

0.385

0.027

0.069


 

 

Осуществив проверку оценки на согласованность по формуле (5) получаем, что уровень согласованности  равен 7,418

 

Индекс согласованности при этом:

ИС= 0,06965873

ОС=0,077398589

Поскольку величина отношения согласованности не превышает 0,2, уточнение оценок не требуется, они определены корректно.

После определения весов критериев, необходимо взять два варианта, и записать сумму тех критериев, по котором первый вариант лучше второго. В результате получится матрица, представленная в таблице 13. Далее, для двух критериев A и Б со знаком плюс возьмем ту сумму, в которой А превосходит Б, а со знаком минус возьмем критерии, где Б лучше А.

Таблица 13. Определение алгебраической суммы критериев для каждой альтернативы


Huawei

ADVA

T8

РЕЗ

Huawei

0

0,698

0,211

-0,184

ADVA

0,303

0

0,027

-1,153

T8

0,79

0,785

0

1,337


Из данных, представленных в таблице 13, очевидно преимущество системы Т8 российского производителя, что доказывает обоснованность выбора DWDM «Волга» в качестве основы для построенной магистральной сети передачи данных.

2.2    Используемые в проекте компоненты DWDM систем: их характеристики и особенности работы

При строительстве магистральной сети центров обработки данных в Крымском федеральном округе используется оборудование производителя Т8 Волга. Характеристики, виды и схемы работы используемого при строительстве сети оборудования даются согласно спецификациям производителя.

Перестраиваемый мультиплексор ROADM, осуществляет добавление и удаление частот из общего канала на всех подключаемых точках сети. План назначения частот, с которыми работает данное оборудование приведен в Приложении А.

Производителем реализованы варианты с добавлением/выводом нескольких частот (см. Рисунок 20). Подобные схемы называются по числу каналов вывода: 1/1, 2/1, 4/1, 9/1.

Рисунок 190. Схема работы ROADM мультиплексора "Волга"

Источник: сайт компании-производителя <#"865281.files/image035.gif">

Рисунок 201. Схема работы оптического транспондера DWDM системы "Волга"

Оптические параметры данного оборудования, использованные в дальнейших расчетах, собраны в таблице 15.

Таблица 15. Оптические параметры транспондеров DWDM системы "Волга"

Параметр

TD-10

TD-10F

TD-10E

Линейный интерфейс, скорость передачи

OTU-2 до 11,10 Гбит/c

Стандарты клиентских интерфейсов

10GE, STM-64, OTU2

Выходная мощность

<+4 дБм

Диапазон рабочих длин волн передатчика

1528,7-1565,1 нм

Чувствительность приемника станд./повышенная

-18 / -24 дБм

Перегрузка приемника

-5 … -3 дБм

Стандарт коррекции ошибок

отсутствует

FEC G.709

SuperFEC ITU G.975 I.7


На некоторых протяженных участках сети при проектировании не предполагается размещения узла связи. В этом случае функции усилителя сигнала логично возложить на отдельное устройство - волоконный усилитель на эффекте Рамана или волоконный усилитель на эрбиевом волокне (RA или EA соответственно). Характеристики подобного оборудования от Т8 приведены в таблице 16.

Таблица 16. Характеристики усилительного оборудования DWDM системы "Волга"

Параметр

RA

EA

Спектральный диапазон

1528,7-1567,1 нм

 

Выходная мощность

+30 дБм

+10…+ 26 дБм

Число каскадов усиления

-

1-2

Число выравнивающих GFF фильтров

-

1-2

Спектральная неравномерность на 10 дБ усиления

-

не более 0,5 дБ

Коэффициент усиления

10-20

11-18, 14-24, 25-36

2.3    Топология оптической сети передачи данных


Для организации волоконно-оптической сети передачи данных построено DWDM-кольцо, ключевыми отрезками которого являются:

г. Симферополь (0км), г. Севастополь (92,605км), г. Алупка (88,766км), г. Алушта (61,298км), г. Судак (111,788км), г. Феодосия (71,028км), г. Керчь (98,379км), п. Советский (70,354км), г. Джанкой (80,613км), г. Красноперекопск (56,858км), п. Стерегущее (67,779км), п. Черноморское (61,109км), г. Евпатория(118,5км)

Каждый Центр обработки данных или узел связи подключается к сети при этом через приведённый оптический транспондер и ROADM мультиплексор (см. Рисунок 23).

Рисунок 21. Подключение оборудования к DWDM-сети

Сигнал от передатчика на узле формируется в доступном для передатчика виде, например, с использованием стандартного WDM трансивера, либо интерфейса 10Gbase-LR. Далее оптический сигнал попадает на транспондер, который перекодирует сигнал в DWDM-вид, используя частотный план ITU. При этом транспондер можно переконфигурировать таким образом, чтобы использовалась свободная частота для сигнала. После передачи в DWDM линию, сигнал усиливается до согласованного значения и попадает в ROADM-мультиплексор. В нашем случае усилитель уже встроен в транспондер. Далее мультиплексор проверяет параметры сигнала и добавляет его к основному сквозному оптическому сигналу, подмешивая частоту в общий канал. Проходя по транзитным мультиплексорам, производится регенерация всего сигнала с помощью регулирования затухания на аттенюаторах и коэффициента усиления на усилителях, встроенных в плату ROADM. Далее частота рано или поздно выводится на аналогичном ROADM мультиплексоре и попадает на устройство компенсации дисперсии, которое имеет отрицательную дисперсию оптического сигнала. Очищенный сигнал попадает на транспондер, который формирует сигнал на выдачу конечному клиенту. При использовании оборудования Т8, транспондер также выполняет функции компенсации дисперсии.

Полностью зеркальный процесс производится в обратную сторону по второму оптическому волокну. Таким образом, на точках подключения организуется физический канал передачи данных. Каждый подключаемый объект использует определённые частоты, на которых осуществляется подключение, а также набор оборудования, способный обеспечить требуемую физическую пропускную способность. Частотный план, который используется в системе приведен в Приложении А.

При осуществлении физической коммутации канала связи и настройки оптического мультиплексора ввода/вывода, выбирается пара городов и берётся частоты входа и выхода. Например, для организации канала между городами Феодосия - Алушта, используется пара длин волны 1556.55нм - 1583.69нм, которая называется греческой буквой лямбда (). В центре обработки данных на узле коммутации оптических каналов в г. Феодосия мультиплексор ввода-вывода настраивается на ввод в общий канал передачи данных длины волны 1556,55нм. Сигнал по этой длине волны поступает от транспондера в ЦОД, при этом не важно в каком изначально виде данные отправлялись физическим портом. В парный порт выводится длина волны 1583,69 нм из общего полезного сигнала волокна, далее отправляясь на передачу в транспондер.

2.4    Выводы

На основании предложенных в аналитической части решений по уплотнению сигнала:

·        была реализована кольцевая топология сети с возможностью перестроения в зависимости от физического уровня сигнала на линии;

·        в рамках процесса выбора наилучшего варианта оборудования использовался метод принятия решений «Метод перестановок»;

·        на сети рекомендуется установка:

o   оптических транспондеров в месте подключения конечных услуг ЦОД и узлов связи;

o   реконфигурируемых мультиплексоров на точках коммутации и узлах связи;

o   оптических усилителей на местах не оборудованных мультиплексорами в связи с отсутствием необходимости включения конкретного населенного пункта;

o   трансиверов SFP непосредственно в оборудование второго и третьего уровней в датацентрах и на узлах связи;

·        организация масштабируемой сети на физическом уровне является одной из причин её легкой модернизации и расширения в случае роста потребностей региона в услугах связи;

3.      Расчеты параметров сети связи центров обработки данных

.1 Расчет затухания на участках сети

Затухание оптического сигнала - естественный фактор работы любой линии передачи, и DWDM-система не является исключением. Все указанные в пункте расчеты произведены с целью определения длины элементарных кабельных участков. Они определяются согласно техническим параметрам аппаратуры, выбранной для использования на сети связи, а также проложенным типом волоконно-оптических кабелей и разъемов.

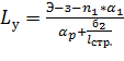
Расчет длины элементарного кабельного участка (ЭКУ) необходимо выполнять по затуханию сигнала в оптическом волокне, а также и суммарной накопленной дисперсии. Расчет произведен на основании руководящего документа отрасли «Линии передачи волоконно-оптические на магистральной и внутризоновых первичных сетях ВСС России. Техническая эксплуатация» от 27.12.99 г. № 7934 по формуле 6.

 , (6)

где

·        Э - энергетический потенциал ВОСП, который вычисляется по формуле 7

 дБ, (7)

 - средний уровень оптического излучения, вводимого в волокно, определяемый производителем оборудования в технической документации. Для выбранной аппаратуры Т8, составляет +3дБм.

- минимальный уровень принимаемой мощности при коэффициенте ошибок 10-12, для T8 = -31дБм. Согласно формуле 7 получаем:

 

·        з - запас для системы ВОЛС, который используется для компенсации потерь мощности сигнала. Подобные явления часто связаны с проведением регламентных и ремонтных работ, а также иного вида дополнительных работ на кабеле, ухудшением состояния самого оптического волокна со временем, а также условий внешней среды в процессе эксплуатации системы. Обычно запас стараются оставить не менее 5дБ.

·        число разъемных соединений на участке. В используемой схеме подключения,

·        затухание разъемного соединения. Характеристика потерь на каждом этапе подключения оптического оборудования. Для разъема стандарта SC составляет 0.25дБ

·        затухание сварочного соединения. Поскольку оптическое волокно не может быть изготовлено цельным отрезком необходимой дистанции, несколько отрезков сваривают между собой. Составляет не более 0,05дБ

·        - рабочее затухание оптического волокна согласно стандарту на длине волны 1550нм. Составляет 0.22дБ/км

·        - строительная длина оптического кабеля, .

Таким образом, из формулы 6 получаем:

 

Данный расчет показывает, что необходимо использование усилителей типа EDFA не менее чем на каждом 120 километре участка оптической трассы. Количество подобных усилителей можно вычислить по формуле 7

 (7)

где  является длиной одного участка сети передачи данных, а их сумма составляет протяженность всей оптической кольцевой трассы выбранного маршрута.  - длина одного участка без усиления, рассчитанная по формуле 6.

 

Таким образом, , требуется минимум 8 (округление в большую сторону) усилителей для осуществления работы системы на кольцевом участке трассы.

Устанавливаемые усилители и компенасторы целесообразно привязать к существующей узловой инфраструктуре, если расстояние это позволяет. Оптические усилители EDFA использовать на следующих участках кольцевой трассы с учетом измерения расстояния по линии от г. Симферополь до г. Евпатория: г. Севастополь (92,605км), г. Алупка (88,766км), г. Алушта (61,298км), г. Судак (111,788км), г. Феодосия (71,028км), г. Керчь (98,379км), п. Советский (70,354км), г. Джанкой (80,613км), г. Красноперекопск (56,858км), п. Стерегущее (67,779км), п. Черноморское (61,109км), г. Евпатория(118,5км)

В качестве усилителя на проектируемых узлах связи в городах: Севастополь, Симферополь, Ялта, Алушта, Судак, Феодосия, Керчь, Джанкой, Красноперекопск, Евпатория; используется транспондер с функциями EDFA-усилителя. Для работы на больших транзитных участках оптической сети в городах и поселках: г. Алупка, п. Советский, п. Стерегущее, п. Черноморское устанавливается отдельное оборудование Т8 под названием волоконный усилитель EA.