Материал: Строительство сети данных

Внимание! Если размещение файла нарушает Ваши авторские права, то обязательно сообщите нам

В качестве пирингового взаимодействия осуществляется подключение к операторам связи Крымтелеком (AS28761), Топнет (AS21011), Датагрупп (AS21219), Миранда-Медиа (AS201776), Крелком (AS6789), Филанко (AS29076), Ардинвест (AS196705), Криснет (AS5593) (см. Рисунок 36). Сеть центров обработки данных имеет открытую пиринговую политику при условии наличия у партнёра оборудования с поддержкой интерфейсов 10Base-ER.

Рисунок 36. Схема взаимодействия с внешними операторами региона

ASN65500 является частной немаршрутизируемой и используется в документации, поскольку выдача реальной автономной системы осуществляется по запросу в регулирующие органы уже по факту выполненной инсталляции сети.

4.5    Выводы

Настоящий раздел описывает порядок реализации клиентских услуг на сети центров обработки данных, приводит схемы организации межсетевого взаимодействия компонентов системы. Получены нижеследующие выводы.

·        Сеть передачи данных с возможностью балансировки трафика средствами MPLS TE использует протокол маршрутизации по состоянию канала OSPF.

·        При использовании зеркалирования маршрутов, организация полносвязной BGP топологии не требуется, что приводит к улучшению связности целой системы.

·        Разработан план адресации узлов и каналов передачи в ЦОД и на узлах связи.

·        Разработано решение по предоставлению в регион услуги IPTV с помощью многоадресной рассылки данных, полученных от транзитных операторов свяи (Ростелеком, МТС).

·        Разработано решение по предоставлению услуг VPN второго и третьего уровня на базе сети центров обработки данных для предприятий региона.

·        Обозначены основные внешние партнёры и сервис-провайдеры, которые готовы устанавливать пиринговые отношения с сетью, разработанной в рамках дипломного проекта.

·        Предложены идеи улучшения связности региона и предоставления населению популярных ресурсов с уменьшенной задержкой с использованием доступа к сети передачи данных

5.      Оценка эффективности проектных решений


5.1    Определение основных показателей эффективности сети

Для осуществления оценки эффективности построенной сети передачи данных, необходимо в первую очередь определить критерии эффективности. Множество критериев, которые чаще всего используются для оценки работы сети, можно условно поделить на две большие группы: критерии надежности и критерии производительности сети передачи данных.

Первым показателем эффективности работы сети является её время реакции. Под временем реакции территориально распределённой сети передачи данных понимается задержка на прохождение пакета от момента попадания в сеть до момента выхода из неё. Подобный критерий хорошо характеризует физический и канальный уровни работы сети. Современные сетевые инструменты используют в своей работе этот параметр как показатель текущей эффективности сети. Понятие время реакции определено также и для других уровней сетевой модели, поскольку протоколы передачи данных могут использовать режим установления соединения в своей работе, однако в основе построенной сети лежит протокол Ethernet, который не подразумевает установление какого-либо соединения, а значит возможности по измерению задержки здесь ограничены транспортными потерями времени на коммутацию, маршрутизацию и расстояние, которое проходит сигнал.

Вторым показателем работы сети является её производительность или пропускная способность. Это статичная характеристика, которая характеризуется максимальным количеством информации, которое может обработать сеть передачи данных в единицу времени. Подобная характеристика была задана при проектировании сети датацентров, в техническом задании, однако реальные цифры пропускной способности сети определяются конкретным проектным решением. При анализе данного показателя возможны различные трактовки относительно того, в каком месте сети необходимо определить производительность. В случае с территориально распределённой сетью передачи данных, каждый её участок, например, центр обработки данных или узел связи, обладает запасом по полосе, который может быть передан, при этом ядро сети суммарно готово к транспорту трафика на максимальной скорости от каждого узла, каналы в мир при этом могут быть значительно уже, чем производительность собственно оптической части сети. Стоит также отметить, что описывать производительность сети можно в двух вариантах: количестве пакетов, которые может сеть пропустить через себя в секунду, либо максимальном количестве бит, которые пропускает сеть в секунду. Эти две характеристики не связаны между собой и как правило одновременно могут дать комплексную картину производительности сети.

Комбинация двух параметров: задержки и пропускной способности, описывает эффективность сети с точки зрения производительности, что является самой частой пользовательской оценкой сети передачи данных. Ведь основная задача для которой строится сеть - передать как можно больше информации за минимальное количество времени. При этом, задержка и пропускная способность зависят друг от друга: при увеличении количества трафика, а точнее при превышении максимально доступной пропускной способности сети, увеличится и задержка на прохождение пакетов, ведь трафик будет скапливаться в очереди, обрабатываться согласно включенной политике качества сервиса, а значит испытывать затруднения при прохождении.

Показатели надежности и отказоустойчивости, которые были рассчитаны в главе 3 конструкторско-технологической части дипломного проекта, также являются показателями эффективности сети передачи данных. Однако, при оценке эффективности целесообразно использовать марковские модели надежности восстанавливаемых систем, поскольку они наиболее подходят для оценки параметров многоуровневых сетей третьего уровня. Расчётные характеристики надежности показывают то, с какой вероятностью транспортная сеть передачи данных будет работать в произвольный момент времени, а конкретному пользователю интересно то, с какой вероятностью именно его подключение будет работать, как долго оно будет работать до аварии, сколько аварий будет в календарном году.

Подобный анализ опирается на логическую топологию территориально-распределённой сети и конкретные настройки коммутационного и телекоммуникационного оборудования, коммутаторов доступа. Марковские модели опираются на положение о том, что в любой момент времени, вероятностные характеристики процесса зависят только от состояния объекта в данный момент времени, независимо от того как система перешла в это состояние, что для этого было сделано.

Положительными показателями эффективности сети в отношении надежности системы, являются высокая готовность системы, их устойчивость к отказам, за счет, например, резервирования подключений, коммутации, функциональных блоков и непрерывная готовность, обеспечивающая восстановление системы в пределах нескольких секунд.

Комплексная взвешенная функция из приведённых параметров даёт наиболее полную оценку эффективности сети передачи данных.

5.2    Методики измерения и оценки показателей эффективности

Очевидно, что для оценки показателей эффективности и нахождения взвешенной функции эффективности, необходимо провести измерения, либо расчет входящих в функцию показателей.

Методики измерения сетевой задержки на сети передачи данных сводятся к отправке тестового сообщения стандартного протокола и замеру времени ответа на это сообщение. Для создания подобного сообщения используют протокол ICMP, стандартизированный в RFC792. Протокол определяет несколько видов сообщений, среди которых с точки зрения измерения задержек, нас интересует два:

·        Тип 0, код 0 - ICMP echo request. Сообщение эхо запроса узла связи

·        Тип 0, код 0 - ICMP echo reply. Ответ на эхо запрос источнику

Сетевое оборудование, использующееся на сети передачи данных, позволяет производить отправку подобных сообщений непосредственно от узла связи. Важной частью измерения является определение узлов, совершающих тестирование, т.к. различные участки сети могут вносить различные задержки. Очевидно, что максимальная задержка по сети возможна в случае использования неоптимальных путей следования трафика, что происходит при выходе из строя того или иного сетевого устройства.

Стандартный диаметр сети передачи данных третьего уровня не превышает 3, поскольку именно столько узлов необходимо пройти пакету по сети связи от любой точки входа до любой точки выхода из неё в условиях полной работоспособности. Исходя из вышеизложенного для оценки задержки по сети можно использовать характеристику, полученную по формуле 22 .

, (22)

для участков Симферополь - Керчь, Севастополь - Керчь, Феодосия - Керчь, Джанкой - Керчь, где n - количество измерений с помощью ICMP.

, (23)

где m - количество участков, на которых проводилось измерение.

Теоретические оценки по уровню задержек прохождения трафика были рассчитаны в п. 3.4.

Для качественной оценки пропускной способности сети передачи данных в килобит/с используется максимально возможное число бит, которые возможно передать по сети из одного центра обработки данных в другой в единицу времени без создания очередей. Существует три варианта оценки:

·        Определение максимальной выходной пропускной способности ЦОД

·        Определение максимальной выходной пропускной способности внешних каналов данных

·        Определение максимального количества бит в секунду в условиях блокируемых каналов передачи данных

Для территориально распределённой сети передачи данных Крымского Федерального Округа целесообразно использовать именно третью оценку, поскольку используется технология балансировки трафика, что означает возможность одновременной передачи данных нескольких центров обработки данных, то есть образуется коммутационная матрица данных.

Оценка количества пакетов в секунду, которое может обработать сеть производится на устройствах ядра сети и является табличным значением, которое задает производитель и не зависит от выбранной топологии или проектного решения. По этой причине данная оценка не используется при выведении эффективности сети датацентров.

С точки зрения методики оценки пользовательской готовности сети передачи данных вводится трехуровневая модель (см. Рисунок 37).

Рисунок 37. Марковская трехуровневая модель сети

Коммутаторы А - являются коммутаторами доступа (access) и не связаны между собой. Отказ любого коммутатора доступа считается отказом всей сети, ведь с точки зрения конкретного пользователя, включенного в коммутатор, доступ к услугам предоставлен не будет.

Коммутаторы D - коммутаторы распределения (distribution) разбиты по подгруппам и связаны между собой, а также с каждым коммутатором своей подгруппы.

Коммутаторы C - являются коммутаторами ядра (core), связаны между собой, а также с уровнем распределения полными связями.

Зададим интенсивность отказов и восстановления:

·        - интенсивность отказов и восстановления коммутаторов ядра;

·        - интенсивность отказов и восстановления коммутаторов распределения;

·        - интенсивность отказов и восстановления коммутаторов доступа.

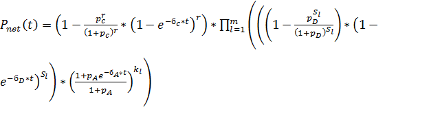
Для сети, построенной по трехуровневой модели, необходимо обозначить три группы объектов: группа коммутаторов ядра, группа коммутаторов распределения, которая включает в себя m подгрупп коммутаторов распределения, а также коммутаторы доступа, которые также включают несколько подгрупп таких коммутаторов. Эти группы и подгруппы независимые, с точки зрения надежности сети. Считается, что сеть работоспособна, если хотя бы один коммутатор в группе ядра работоспособен. Вероятность этого равна сумме вероятностей от нулевого состояния до предпоследнего состояния в марковской модели надежности группы из r объектов.

 (24)

 (25)

Исходя из того, что каждый коммутатор распределения связан и с каждым коммутатором доступа, и с каждым коммутатором ядра, то для работы сети необходимо, чтобы свою работоспособность сохранил хотя бы один коммутатор распределения. Вероятность этого численно равна произведению вероятности того, что, хотя бы один коммутатор работает по всем подгруппам. А такая вероятность, в свою очередь, равна сумме вероятностей от нулевого состояния до предпоследнего состояния в марковской модели надежности подгруппы из  объектов (см. Формулу 26)

 

(26)

 (27)

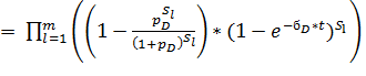
Исходя из того, что отказ любого коммутатора является отказом всей системы, то сеть можно назвать работоспособной, если все коммутаторы доступа работоспособны. Вероятность этого равна произведению по всем подгруппам l=1..m вероятностей нулевого состояния в марковской модели надежности подгруппы из  объектов (см. Формулу 28):

 (28)

 (29)

Для получения итоговой вероятности, необходимо перемножить вычисленные вероятности для каждого участка сети передачи данных. Тогда получаем формулу 30.

                                                              (30)

Показатель готовности (стационарный) в этом случае можно представить по формуле 31.

 (31)

Далее возможно внедрение единой комплексной оценки. Для этого проводят экспертную оценку каждого из представленных критериев и устанавливают весовые коэффициенты для каждого значения, для определения того, насколько сильно конкретный параметр влияет на итоговую оценку эффективности. Однако, подобная методика не будет использована для оценки территориально распределённой сети датацентров Крымского Федерального Округа, поскольку в техническом задании проекта не ставится целью получение взвешенной оценки эффективности сети, но ставятся предельно допустимые цифры для каждой из частей представленной оценки: пропускной способности, задержкам, коэффициенту готовности.

5.3    Результат оценки эффективности сети передачи данных

Согласно представленной методике расчета эффективности, для оценки времени сетевой задержки были смоделированы проведённые измерения на участках сети, которые представлены в таблице 22.

Таблица 22. Измеренные моделированные задержки на сети по различным направлениям.

Участок

RTT 1

RTT 2

RTT 3

RTT 4

RTT5

1 Симферополь - Керчь

2,5мс

2,3мс

1,9мс

2,9мс

2,2мс

2 Севастополь - Керчь

1,6мс

1,8мс

2,3мс

2,5мс

2,0мс

3 Феодосия - Керчь

0,9мс

0,9мс

1,2мс

1,0мс

1,4мс

4 Джанкой - Керчь

2,2мс

2,2мс

1,9мс

2,0мс

2,4мс

5 Симферополь - Красноперекопск

2,5мс

2,4мс

2,6мс

2,2мс

2,1мс

6 Севастополь - Красноперекопск

2,4мс

2,4мс

2,1мс

2,5мс

2,0мс

7 Феодосия - Красноперекопск

2,0мс

2,1мс

1,8мс

1,8мс

1,6мс

8 Джанкой - Красноперекопск

0,5мс

0,8мс

0,3мс

0,5мс

0,7мс