Материал: Строительство сети данных

Внимание! Если размещение файла нарушает Ваши авторские права, то обязательно сообщите нам

Из формулы 22 можно значения были преобразованы в таблицу 23.

Таблица 23. Средние значения задержек по направлениям

Номер участка

1

2

3

4

5

6

7

8

Значение

2,4мс

2,0мс

1,0мс

2,1мс

2,4мс

2,3мс

1,9мс

0,6мс


Итоговое значение задержки по сети согласно формуле 23 равно:

 

Данные оценки позволяют заключить, что сеть построена таким образом, что время задержки пакета от точки входа в сети до точки выхода составляет сравнительно маленькое значение, которое удовлетворяет условиям технического задания в 20мс. При этом, теоретический расчет подобной величины показал максимально возможное время задержки в случае отказа всех основных каналов связи и работе через резерв по самым длинным оптическим путям передачи данных не превышает 3,2мс.

Оценивая пропускную способность физической сети передачи данных на построенном оборудовании использовалась схема физической организации каналов связи (см. Рисунок 38).

Рисунок 38. Определение пропускной способности между ЦОД

Каждый оптический канал представляет собой пару логических каналов 40Гбит/с. Выходная пропускная способность из одного датацентра составляет 2*40Гбит/с*5=400Гбит/с.

Пропускная способность спроектированной сети удовлетворяет техническому заданию, однако максимальная пропускная способность, определяемая как количество частотных DWDM-подканалов*максимальную пропускную способность канала, составляет 2Тбит/с, что на момент инсталляции не требуется от сети датацентров Крымского Федерального Округа.

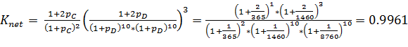
Расчеты коэффициента готовности сети приведены исходя из формулы 30, представленной в методике с учетом того, что количество коммутаторов доступа равно 10.

, где

 

 

 

Коэффициент готовности при этом будет равен:

 

Рассчитанный показатель готовности говорит о том, что каждый пользователь испытает проблемы с доступом не более чем на 34 часа в один календарный год.

5.4    Выводы

Резюмировав оценки, которые были рассчитаны в данном пункте, можно сделать вывод о высокой степени эффективности построенной сети, а также её соответствии заявленным критериям технического задания и задания на дипломное проектирование.

·        Эффективность сети датацентров Крымского Федерального Округа подтверждается теоретическими расчётами, а также практической оценкой, проведённой согласно описанной методике по критериям времени задержки, пропускной способности сети передачи данных, а также коэффициенту готовности сети.

·        Показатели, по которым была произведена оценка, являются ключевыми с точки зрения эффективности работы сети.

6.      Охрана труда и экология


6.1    Изучение влияния шумов как вредоносного фактора

Среди производственных факторов, непосредственно влияющих на здоровье и трудоспособность задействованного на предприятии персонала, часто недооценивают шумовое загрязнение. Те     м не менее, с данным вредным фактором мы сталкиваемся ежедневно не только на производстве, но и в быту, дома, по дороге на работу.

Производственным шумом называют совокупность звуков различной интенсивности и частоты, беспорядочно возникающих во времени в условиях производства и неблагоприятно воздействующих на человеческий организм. Стоит обратить внимание на то, что шум существует и в живой природе, однако в процессе эволюции организмы приспособились к нему.

Любой звук представляет собой колебательный процесс, вызванный волной, которая распространяется в среде с различной скоростью (для воздуха 331 м/с). Звуковое давление - одна из характеристик звуковой волны, которая характеризуется переменным давлением при прохождении звуховых волн, в дополнение к атмосферному. Основные параметры звуковых волн:

·        частота;

·        период;

·        амплитуда или размах.

Область человеческого восприятия звуковых волн находится в пределах 20Гц - 20000Гц. Выше данных значений находится область ультразвука, а ниже - инфразвука.

Основными характеристиками шума можно назвать частоту, а точнее совокупность частот издаваемой звуковых волн. Для того, чтобы провести оценку того, на сколько вредно влияет шумовое загрязнение на человеческий организм, используется диапазон [45-11000]Гц, разделённый на октавные полосы. Таких полос девять: 31,5; 63; 125; 250; 500; 1000; 2000; 4000 и 8000 Гц. Диапазон частот, для которого нижняя граница вдвое меньше верхней называется октавой.

Шум оказывает непосредственное влияние на многие системы человеческого организма. Спектр и интенсивность, с которой оказывается воздействие, могут существенно поменять степень такого влияния. Чем выше частота, тем более неприятным будет оказываемое шумом влияние.

Обычно разделяют следующие аспекты влияния шумового загрязнения на человека:

·        влияние на слуховую функцию, обусловливающую слуховую адаптацию, слуховое утомление, временную или постоянную потерю слуха;

·        глухота;

·        беспокойство или раздражительность;

·        процессы торможения реакций на стрессовые ситуации;

·        влияние на психосоматическое здоровье здоровье;

·        влияние на производственную деятельность;

·        нарушение сна.

Для оценки того, насколько интенсивно воздействует звук, начиная от порога слышимости человеческого уха, заканчивая болевым порогом, используют значение логарифма звукового давления - децибел (дБ). Величина пороговая для слуха человека принята за ноль бел, она равна величине звукового давления  Па. Уровень в 10 дБ воспринимается человеком как звуковое воздействие в два раза громче чем в 1 дБ. Классификация шумов представлена в таблице 24.

Таблица 24. Классификация шумового загрязнения

Способ классификации

Вид шума

Характеристика шума

По характеру спектра шума

широкополосные

Непрерывный спектр шириной более одной октавы


тональные

В спектре которого имеются явно выраженные дискретные тона.

По временным характеристикам

постоянные

Уровень звука за 8 часовой рабочий день изменяется не более чем на 5 дБ(А)


непостоянные колеблющиеся во времени прерывистые  импульсные

Уровень звука за 8 часовой рабочий день изменяется более чем на 5 дБ(А) Уровень звука непрерывно изменяется во времени Уровень звука изменяется ступенчато не более чем на 5 дБ(А), длительность интервала 1с и более Состоят из одного или нескольких звуковых сигналов, длительность интервала меньше 1с


Шум вызывает агрессию и раздражение, шум в ушах, повышение артериального давления, артериальную гипертензию вплоть до потери слуха. Самое серьёзное влияние оказывает шум в диапазоне 3000÷5000 Гц. Хроническая подверженность шуму на уровне более 90 дБ может привести к потере слуха.

При шуме на уровне более 110 дБ у человека возникает звуковое опьянение, по субъективным ощущениям аналогичное алкогольному или наркотическому. При шуме на уровне 145 дБ у человека происходит разрыв барабанных перепонок. Женщины менее устойчивы к сильному шуму, чем мужчины. Кроме того, восприимчивость к шуму зависит также от возраста, темперамента, состояния здоровья, окружающих условий и т. д.

6.2    Методики измерения и оценки вредного фактора

Для измерения уровня шума используют прибор, который называют шумомер. В Российской Федерации определён ГОСТ17187-81, который говорит о том, что шумомер должен состоять из измерительного микрофона, электрической цепи с корректирующими фильтрами и измерительного прибора с различными временными характеристиками .

Различают несколько фильтров: A, B, C, D, из которых именно А, используется как наиболее близкий по АЧХ к «усредненному уху».

Стандартные частотные характеристики шумомеров приведены на графике (см. Рисунок 40).

Рисунок 40. Стандартные характеристики шумомеров

По измеренным шумомером характеристикам возможно понять насколько серьёзно шум влияет на организм человека. Сравнительный уровень шума и его эквивалент представлен в таблице 25.

Таблица 25. Сравнительный уровень шума и оказываемый эффект

Оценка громкости на слух

Уровень шума, дБ

Источник и место измерения шума

Оглушительный

160

Повреждение барабанной перепонки.


140-170

Реактивные двигатели (вблизи).


140

Предел терпимости к шуму.


130

Болевой порог (звук воспринимается как боль); поршневые авиадвигатели (2-3 м).


120

Гром над головой.


110

Быстроходные мощные двигатели (2-3 м); клепальная машина (2-3 м); очень шумный цех.

Очень громкий

100

Симфонический оркестр (пики громкости); деревообрабатывающие станки (на рабочем месте)


90

Уличный громкоговоритель; шумная улица; металлорежущие станки (на рабочем месте).


80

Радиоприемник громко (2 м)

Громкий

70

Салон автобуса; крик; свисток милиционера (15 м); улица средней шумности; шумный офис; зал большого магазина

Умеренный

60

Спокойный разговор (1 м).


50

Легковая машина (10-15 м); спокойный офис; жилое помещение.

Слабый

40

Шепот; читальный зал.


60

Шелест бумаги.


20

Больничная палата.

Очень слабый

10

Тихий сад; студия радиоцентра.


0

Порог слышимости.


В рамках дипломного проекта строящиеся объекты связи, такие как центры обработки данных, а также узлы связи, регенерации и коммутации являются местами с повышенным шумовым загрязнением.

Согласно информации от производителя, а также стандарту ISO7779, уровень шума оборудования ядра сети, а также магистрального оборудования составляет 70дБ (А-фильтр). Уровень шума оборудования центров обработки данных Nexus7700 представлено в таблице 26.

Таблица 26. Уровень шума, генерируемого телекоммуникационным оборудованием ЦОД

Вид оборудования

Cisco Nexus 7000 9-Slot Chassis

Cisco Nexus 7000 10-Slot Chassis

Cisco Nexus 7000 18-Slot Chassis

Измеренное

74.7 dBA

74.3 dBA

74.2 dBA

Документированное

77.7 dBA

77.3 dBA

77.2 dBA


Поскольку в одной точке центра обработки данных будет установлено два одинаковых магистральных устройства с повышенным уровнем шума, логично рассчитать их общее шумовое давление. Расчет производится для расстояния 1м по формуле 31.

,                                     (31)

где     , а  - уровень шума в дБ

Тогда, подставив документированные значения 77.7дБ получим:

 

 

 

Таким образом, два одинаковых устройства производят шум 83.72 дБ находясь в одной стойке центра обработки данных.

6.3    Санитарные нормы и методы защиты от шумового загрязнения

В Российской федерации были приняты санитарные нормы СН2.2.4/2.1.8.562-96 «Шум на рабочих местах, в помещениях жилых, общественных зданий и на территории жилой застройки». Данные о ПДУ шума в зависимости от категории тяжести труда представлены в таблице 27.

Таблица 27. ПДУ шума на рабочих местах

Категория напряженности

Категория тяжести трудового процесса


легкая физическая нагрузка

средняя физическая нагрузка

тяжелый труд 1степени

тяжелый труд 2 степени

тяжелый труд 3 степени

Напряженность легкой степени

80

80

75

75

75

Напряженность средней степени

70

70

65

65

65

Напряженный труд 1 степени

60

60

-

-

-

Напряженный труд 2 степени

50

50

-

-

-


На текущий момент любой промышленный центр обработки данных является вредным производством, в частности и по причине высокого уровня шума на объекте. По этой причине при проведении регламентных работ в ЦОД необходимо соблюдать правила гигиены труда, в отношении шумозащиты.