Материал: спектр и фотометр

Внимание! Если размещение файла нарушает Ваши авторские права, то обязательно сообщите нам

Задача 173. Кортизона ацетат

 

 

O

 

 

O

Cortisone acetas

 

 

 

 

 

 

 

 

 

 

 

 

 

 

 

 

 

 

 

 

 

 

 

 

 

Прегнен-4-диол-17α,21-

 

O

 

 

C

 

CH2

 

O

 

C

 

CH3

 

 

 

 

 

 

 

OH

 

 

 

 

 

 

трион-3,11,20 ацетат-21

 

 

 

 

 

 

 

 

 

 

 

 

 

 

 

 

 

 

 

 

 

 

 

 

 

 

 

 

 

 

Cortisone acetate*

 

 

 

 

 

 

 

 

 

 

 

 

 

 

 

 

 

 

 

 

 

 

 

 

 

 

 

 

 

 

 

 

 

 

Глюкокортикоид

O

 

 

 

 

 

 

 

 

 

 

 

 

 

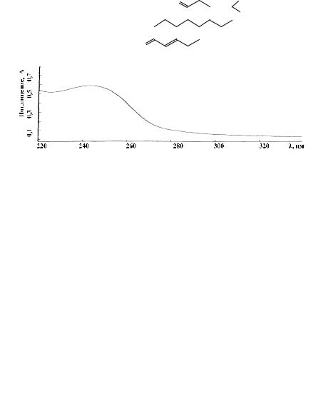
УФ-спектр раствора кортизона ацетата в спирте, стандартный образецUSP

Пропускание, %

ν, см-1

ИК-спектр кортизона ацетата, диск калия бромида, стандартный образецUSP

ЯМР 1Н-спектр кортизона ацетата, δ, м. д., стандартный образец USP

356

Задача 174. Гидрокортизон

 

 

 

 

 

O

Hydrocortisonum

 

 

 

 

 

 

 

 

 

 

 

 

 

 

 

 

 

 

 

 

 

 

HO

 

 

C CH2 OH

Прегнен-4-триол-11,17α,21-дион-3,20

 

 

 

 

 

 

 

 

OH

Hydrocortizone*

 

 

 

 

 

 

 

 

 

 

 

 

 

 

 

 

 

 

 

 

 

 

 

 

 

 

 

 

Глюкокортикоид

 

 

 

 

 

 

 

 

 

 

 

 

 

 

 

 

 

 

 

 

 

 

O

 

 

 

 

 

 

 

 

 

 

 

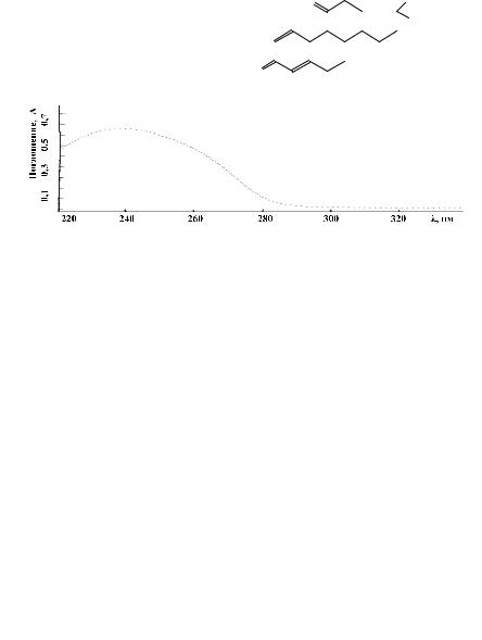
УФ-спектр раствора гидрокортизона в спиртe, стандартный образец USP

Пропускание, %

ν, см-1

ИК-спектр гидрокортизона, диск калия бромида, стандартный образецUSP

ЯМР 1Н-спектр гидрокортизона, CDCl3/CD3OD, δ, м. д., стандартный образец USP

357

Задача 175. Гидрокортизона ацетат

 

 

 

 

 

O

 

O

Hydrocortisoni acetas

 

 

 

 

 

 

 

 

 

 

 

 

 

 

HO

 

 

C CH2 O C CH3

Прегнен-4-триол-11,17α,21-дион-3,20

 

 

 

 

 

 

 

 

OH

 

 

 

 

 

ацетат-21

 

 

 

 

 

 

 

 

 

 

 

 

 

 

 

 

 

 

 

 

 

 

 

 

 

 

 

 

 

Hydrocortizone Acetate*

 

 

 

 

 

 

 

 

 

 

 

 

 

 

 

 

Глюкокортикоид

O

 

 

 

 

 

 

 

 

 

 

 

 

 

 

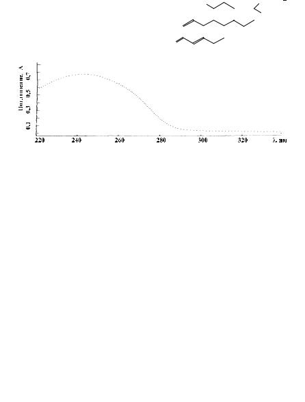
УФ-спектр раствора гидрокортизона ацетата в спирте, стандартный образец USP

Пропускание, %

ν, см-1

ИК-спектр гидрокортизона ацетата, диск калия бромида, стандартный образец USP

ЯМР 1Н-спектр гидрокортизона ацетата, δ, м. д., стандартный образецUSP

358

Задача 176. Преднизон

 

 

 

 

 

 

O

Prednisonum

 

 

 

 

 

 

 

 

 

 

 

 

 

 

 

 

 

 

 

O

 

 

C

 

CH2

 

OH

Прегнадиен-1,4-диол-17α,21-

 

 

 

 

 

 

 

 

 

 

 

 

OH

трион-3,11,20

 

 

 

 

 

 

 

 

 

 

 

 

 

 

 

 

 

 

 

 

 

 

 

Prednisone*

 

 

 

 

 

 

 

 

 

 

 

 

 

 

 

 

 

 

 

 

 

 

 

 

Глюкокортикоид

 

 

 

 

 

 

 

 

 

 

 

 

O

 

 

 

 

 

 

 

 

 

 

 

 

 

 

 

 

 

УФ-спектр раствора преднизона в спирте, стандартный образец USP

Пропускание, %

ν, см-1

ИК-спектр преднизона, диск калия бромида, стандартный образец USP

ЯМР 1Н-спектр преднизона, CDCl3/CD3OD, δ, м. д., стандартный образецUSP

359

Задача 177. Преднизолон

 

 

 

 

 

 

O

Prednisolonum

 

 

 

 

 

 

 

 

 

 

 

 

 

 

 

 

 

 

 

 

 

HO

 

C CH2 OH

Прегнадиен-1,4-триол-11,17α,21-

 

 

 

 

 

 

 

 

 

OH

дион-3,20

 

 

 

 

 

 

 

 

 

 

 

 

 

 

 

 

 

Prednisolone*

 

 

 

 

 

 

 

 

 

 

Глюкокортикоид

O

 

 

 

 

 

УФ-спектр раствора преднизолона в спирте, стандартный образец USP

Пропускание, %

ν, см-1

ИК-спектр преднизолона, диск калия бромида, стандартный образец USP

ЯМР 1Н-спектр преднизолона, CDCl3/CD3OD, δ, м. д., стандартный образец USP

360