Материал: спектр и фотометр

Внимание! Если размещение файла нарушает Ваши авторские права, то обязательно сообщите нам

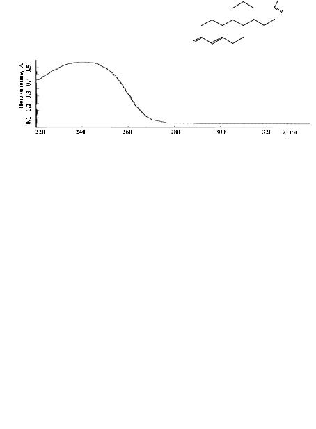
Задача 163. Тестостерона пропионат

Testosteroni propionas

 

 

 

 

 

 

 

 

O

Андростен-4-ол-17β-он-3

 

 

 

 

 

 

 

 

 

 

 

 

 

 

 

 

 

 

 

 

 

 

 

 

 

 

 

 

 

 

O C C2H5

пропионат

 

 

 

 

 

 

 

 

 

 

 

 

 

 

 

 

 

 

Testosterone Propionate*

 

 

 

 

 

 

 

 

 

 

 

 

 

 

 

 

 

 

 

 

 

 

 

 

Андроген

 

 

 

 

 

 

 

 

 

 

 

 

O

УФ-спектр раствора тестостерона пропионата в спирте, стандартный образец USP

Пропускание, %

ν, см-1

ИК-спектр тестостерона пропионата, диск калия бромида, стандартный образец USP

ЯМР 1Н-спектр тестостерона пропионата, δ, м. д., стандартный образецUSP

346

Задача 164. Метилтестостерон

 

 

 

 

 

 

OH

 

 

 

 

 

 

Methyltestosteronum

 

 

 

 

 

 

CH3

 

 

 

 

 

 

17α-Метиландростен-4-ол-17β-он-3

 

 

 

 

 

 

 

 

 

 

 

 

 

 

 

 

 

 

 

Methyltestosterone*

 

 

 

 

 

 

 

Андроген

O

УФ-спектр раствора метилтестостерона в спирте, стандартный образецUSP

Пропускание, %

ν, см-1

ИК-спектр метилтестостерона, диск калия бромида, стандартный образец USP

ЯМР 1Н-спектр метилтестостерона, δ, м. д., стандартный образец USP

347

Задача 165. Метандростенолон

 

 

 

 

 

 

OH

Methandrostenolonum

 

 

 

 

 

 

 

 

 

 

 

 

CH3

 

 

 

 

 

 

17α-Метиландростадиен-1,4-ол-17β-он-3

 

 

 

 

 

 

 

 

 

 

 

 

 

 

 

Methandrostenolone*

 

 

 

 

 

 

 

O

Анаболический стероид

 

 

 

 

 

 

 

УФ-спектр раствора метандростенолона в спирте, стандартный образецUSP

Пропускание, %

ν, см-1

ИК-спектр метандростенолона, диск калия бромида, стандартный образецUSP

ЯМР 1Н-спектр метандростенолона, δ, м. д., стандартный образец USP

348

Задача 166. Феноболин

 

 

 

 

 

 

 

 

O

Phenobolinum

 

 

 

 

 

 

 

 

 

 

 

 

 

 

O

 

 

 

 

 

 

 

 

 

 

 

 

 

C

 

CH2CH2

 

 

 

 

 

 

 

 

 

 

19-Норандростен-4-ол-17β-он-3

H

 

 

 

 

 

 

 

 

 

 

 

 

 

 

 

 

 

 

фенилпропионат

 

 

 

 

 

 

 

 

 

 

 

 

 

 

 

 

 

 

 

 

 

 

 

 

 

 

Nandrolone phenylpropionate*

O

 

 

 

 

 

 

 

 

 

 

 

 

 

 

 

 

 

 

 

 

 

 

 

 

Анаболический стероид

 

 

 

 

 

 

 

 

 

 

 

 

 

 

 

 

 

 

 

 

 

 

 

 

 

УФ-спектр раствора феноболина в спирте, стандартный образец USP

Пропускание, %

ν, см-1

ИК-спектр феноболина, диск калия бромида, стандартный образец USP

ЯМР 1Н-спектр феноболина, δ, м. д., стандартный образец USP

349

Задача 167. Ретаболил

 

 

 

 

 

 

 

 

O

Retabolilum

 

 

 

 

 

 

 

 

 

 

 

 

 

 

 

 

 

 

 

 

 

 

 

 

 

 

O

 

C

 

C9H19

19-Норандростен-4-ол-17β-он-3

H

 

 

 

 

 

деканоат

 

 

 

 

 

 

 

 

 

Nandrolone decanoate*

 

 

 

 

 

 

 

 

 

 

 

 

 

 

 

 

 

 

 

 

 

 

 

 

Анаболический стероид

O

 

 

 

 

 

 

 

 

 

 

 

 

 

 

 

 

 

 

 

 

 

 

УФ-спектр раствора ретаболила в спирте, стандартный образец USP

Пропускание, %

ν, см-1

ИК-спектр ретаболила, диск калия бромида, стандартный образец USP

ЯМР 1Н-спектр ретаболила, δ, м. д., стандартный образец USP

350