Дипломная (вкр): Совершенствование учета материально-производственных запасов

Внимание! Если размещение файла нарушает Ваши авторские права, то обязательно сообщите нам

Мнач - стоимость материалов на начало месяца (отчетного периода);

Ммес - стоимость материалов, поступивших в течение месяца (отчетного периода).

Сумма ТЗР, подлежащая списанию на увеличение (удорожание) учетной стоимости израсходованных материалов, определяется по формуле:

ТЗРспис = Мпр х ТЗР%,

где Мпр - стоимость материалов, отпущенных в производство.

Непосредственное (прямое) включение ТЗР в фактическую себестоимость материала (третий способ) целесообразно в организациях с небольшой номенклатурой материалов, а также в случаях существенной значимости отдельных видов и групп материалов.

Конкретный вариант учета ТЗР устанавливается организацией самостоятельно и отражается в учетной политике.

.5 Понятие, сущность и особенности контроля за состоянием учета материально-производственных запасов

Контроль - это система наблюдений и проверки соответствия процесса функционирования управляемого объекта принятым управленческим решениям, определение результатов управленческих воздействий на управляемый объект и отклонений, допущенных в ходе выполнения этих решений [].

Контроль на предприятии включает текущий сбор и обработку информации, проверку отклонений фактических показателей деятельности фирмы от нормативных или плановых и, что более важно, - подготовку рекомендаций для принятия решения.

Контроль выявляет слабые стороны предпринимательской деятельности, позволяет оптимально использовать ресурсы, вводить в действие резервы, а также избежать банкротства и кризисных ситуаций. Контроль на предприятии включается в процесс управления, установление целей, разработку бизнес-планов, бюджетов, мониторинга, оперативной работы, отклонений от намеченных целей на всех этапах жизни товара: от его создания до реализации. В современных условиях при создании новых изделий, организации работы, научных исследованиях и опытно-конструкторских разработок (НИОКР), получение достижений в науке и технике роль контроля будет усиливаться.

Виды контроля:

. Предварительный (для проверки кассовой дисциплины), для состояния бизнес- планов, смет, бюджетов. Особенность: осуществляется до совершения хозяйственных операций и до принятия управленческих решений, путем изучения основания для установления законности и выполнения операции в соответствии с действующим законодательством, на момент совершения хозяйственной операции.

. Текущий контроль осуществляется в ходе совершения хозяйственной операции. Является элементом оперативного управления. Цель: своевременное выявление в отчетном периоде отклонений от норм хода деятельности, причин, виновных лиц, о источником данных является плановая, оперативно-техническая документация, статистическая и бухгалтерская информация.

. Последующий контроль - осуществляется управляющей системой по проверке выполнения заданий после их совершения. (после окончания отчетного периода). Предмет - деятельность экономического объекта: законность, достоверность, отклонение от учетной политики, полнота, своевременность и оценка с точки зрения методологии, подсчет ущерба, поиск виновных лиц.

Составляющие системы внутреннего контроля.

Система внутреннего контроля состоит непосредственно из органов контроля, т. е. органов, учрежденных в организации в целях осуществления внутренних проверок, ревизий. Это могут быть службы внутреннего аудита, контрольно-ревизионный отдел, инвентаризационное бюро или даже сторонняя организация, призванная осуществлять постоянный внутренний контроль на фирме на договорных началах.

Объекты внутреннего контроля - это предметы контроля, т. е. активы и обязательства, источники средств, капиталы, резервы, виды проводимых операций (по заготовке, снабжению, сбыту, инвестициям, производству и т. д.), центры ответственности по затратам, прибыли, финансовым вложениям, доходам и т. д.

Контроль должен осуществляться набором средств:

технические средства в виде помещений, наборов измерительных, контрольных инструментов, систем обработки полученной информации;

финансовые средства - это зарплата, к ней система штрафов и надбавок, финансовые ресурсы;

процедуры и методы (приемы) контроля - это те мероприятия, с помощью которых обеспечивается надежный и эффективный контроль (тесты, прослеживание, инвентаризация, опрос, наблюдение, анализ, сверка и т. д.);

база показателей, это могут быть нормативные, статистические, справочные данные, плановые показатели, отраслевые показатели прошлых периодов;

положения о службе внутреннего контроля с описанием порядка взаимодействия между подразделениями и отделами субъекта, по обмену информацией.

документация (разрабатывается самостоятельно экономическим субъектом).

Система внутреннего контроля экономического субъекта должна включать в себя:

надлежащую систему бухгалтерского учета;

контрольную среду;

отдельные средства контроля.

Система внутреннего контроля может с определенной степенью вероятности подтвердить, что цели, ради которых она была создана, достигнуты.

Средства контроля экономического субъекта должны использоваться с учетом следующего:

хозяйственные операции выполняются с одобрения руководства как в целом, так и в конкретных случаях;

все операции фиксируются в бухгалтерском учете в правильных суммах, на надлежащих счетах бухгалтерского учета, в правильном периоде времени;

доступ к активам возможен только с разрешения соответствующего руководства;

соответствие зафиксированных в бухгалтерском учете и фактически имеющихся в наличии активов определяется руководством с установленной периодичностью.

Элемент контроля - инвентаризация.

Инвентаризация - это способ проверки фактических остатков товарно-материальных ценностей, денежных средств и состояния расчетов, их соответствия данным бухгалтерского учета на определенную дату.

Количество инвентаризаций в отчетном году, дата их проведения, устанавливаются руководителем организации. Обязательной является инвентаризация перед составлением годовой отчетности.

Итак, в первой главе выпускной квалификационной работы рассмотрены теоретические особенности материально-производственных запасов как объекта учета: нормативно-законодательное регулирование учета материально-производственных запасов, понятие, сущность и классификация материально-производственных запасов, оценка стоимости материально-производственных запасов и их документальное оформление, организация учета материально-производственных запасов, понятие, сущность и особенности контроля за состоянием учета материально-производственных запасов.

2. Учет материально-производственных запасов и система внутреннего контроля их сохранности ИП Исаев Р.И.

2.1 Организационно-экономическая характеристика

Объектом исследования является индивидуальный предприниматель Исаев Руслан Исаевич (ИП Исаев Р.И.).

Организационно-правовая форма индивидуальный предприниматель.

Такие документы, как Устав, Учредительный договор на предприятии не существуют.

Основным видом деятельности является оптовая торговля текстильными изделиями.

Исследуемое торговое предприятие с учетом товарной специализации относится к группе непродовольственных товаров.

Местонахождение предприятия: г.Пермь, ул. Шоссе Космонавтов, 27а.

Основной целью деятельности торгового предприятия является получение прибыли.

На анализируемом предприятии организационная структура управления является линейно-функциональной (рисунок 3).

Рисунок 3 Организационная структура управления

Общее руководство осуществляет директор, который отвечает за функционирование всего предприятия в целом. Он решает самостоятельно все вопросы деятельности предприятия, действует от его имени, представляет его интересы в других предприятиях и организациях. Также директор распоряжается в пределах предоставленному ему права имуществом, заключает договоры, в том числе по найму работников. Издает приказы и распоряжения, обязательные к исполнению всеми работниками предприятия. Директор несет в пределах своих полномочий полную ответственность за деятельность предприятия, обеспечение сохранности всех материалов и товаров, денежных средств и другого имущества предприятия, открывает в банках счета, пользуется правом распоряжения средствами.

В подчинении директора находятся бухгалтер и коммерческий директор.

Отдел бухгалтерии возглавляет бухгалтер, торговый отдел - коммерческий директор.

Бухгалтер осуществляет организацию бухгалтерского учета хозяйственно-финансовой деятельности предприятия и контроль за экономным использованием материальных, трудовых и финансовых ресурсов.

Коммерческий директор решает организационные вопросы, связанные с закупкой и продажей товаров.

Основные задачи торгового отдела:

осуществляет управление коммерческой деятельностью торгового предприятия, направленной на удовлетворение нужд потребителей и получение прибыли за счет стабильного функционирования, поддержания деловой репутации и в соответствии с предоставленными полномочиями и выделенными ресурсами.

осуществляет анализ спроса на производимую продукцию или услуги, прогноз и мотивацию сбыта посредством изучения и оценки потребностей покупателей.

Постоянно изучает спрос на все группы товаров и тенденции его развития.

Исследует факторы, влияющие на сбыт товаров и имеющие значение для успешной их реализации, типы спроса (устойчивый, ажиотажный, кратковременный и др.), причины его повышения и снижения, дифференциацию покупательной способности населения, прогнозирует спрос на товары и объем продаж.

Изучает перспективы сбыта новых товаров с учетом социально-демографических особенностей различных групп населения, состояния и динамики их доходов, традиций и вкусов.

Анализирует опыт конкурентов с учетом изменений в налоговой, ценовой и таможенной политике государства.

Ведет контроль за сбытом, проводит сопоставление запланированных данных с полученными результатами по объему, выручке, времени сбыта, выявляет отклонения и изменения конъюнктуры рынка.

Принимает участие в составлении планов товарооборота и товарного обеспечения.

Контролирует соответствие товаров действующим ГОСТам и ТУ.

Осуществляет постоянные контакты с поставщиками.

Контролирует выполнение контрагентами договорных обязательств, в том числе поступление товаров в согласованном ассортименте по срокам, качеству, количеству.

Участвует в составлении претензий контрагентам.

Принимает участие в подготовке ответов на претензии покупателей.

Принимает меры по ускорению оборачиваемости товаров, сокращению товарных потерь, изучает причины образования сверхнормативных товарных ресурсов и "неликвидов", разрабатывает меры по их реализации.

Информирует, при необходимости, работников склада и администрацию предприятия о правилах хранения, транспортировки товаров, осуществляет контроль за соблюдением правил хранения, транспортировки товаров, подготовкой товаров к отправке в торговый зал.

Проводит ежедневный контроль товарных остатков на складе предприятия.

Участвует в проведении инвентаризации товаров.

Осуществляет оперативный учет итогов реализации товаров, составляет обзоры конъюнктуры, отчетность по установленным формам, оформляет документы, связанные с поставкой и реализацией товаров.

Участвует в формировании цен.

Соблюдает трудовую и производственную дисциплину, правила и нормы охраны труда, требования производственной санитарии и гигиены, требования противопожарной безопасности, гражданской обороны.

Исполняет распоряжения и приказы администрации предприятия.

Информирует руководство об имеющихся недостатках в работе предприятия, возможных мерах по их ликвидации.

В подчинении коммерческого директора находятся менеджеры по продажам и заведующий складом.

Функции менеджеров по продажам сводятся в основном к консультированию покупателей, осуществлению процесса продажи.

Процесс продажи на предприятии состоит из следующих основных операций:

) встреча покупателя и предоставление ему необходимой информации о реализуемых товарах;

) самостоятельный отбор товаров покупателем или с помощью консультаций менеджера;

) подсчет стоимости отобранных товаров;

) выставление документов на оплату.

Специфика работы складского подразделения.

Управление складскими операциями осуществляется заведующим складом.

Отдел по организации складских операций на основании данных, полученных из торгового отдела по объемам закупок и продаж товаров и срокам их поставки, планирует отпуск товаров на своих складских площадях. После выполнения складских операций отдел предоставляет необходимые данные по приемке и отгрузке товаров в бухгалтерию предприятия.

Хранение товаров на складах осуществляется сортовым способом (товары хранятся по видам, сортам, наименованиям). При этом способе товары размещаются отдельно друг от друга. Такой способ хранения позволяет наиболее рационально использовать складскую площадь и оперативно контролировать расход товаров.

Согласно данным кадрового учета на предприятии работает 7 человек (таблица 1).

Таблица 1 Кадровый состав

Должность

Кол-во чел.

Директор

1

Бухгалтер

1

Коммерческий директор

1

Заведующий складом

1

Менеджеры по продажам

2

Водитель

1


На предприятии действует принятая система оплаты труда, утверждено руководителем организации "Положение об оплате труда персонала", "Положение о премировании", с каждым сотрудником заключен "Трудовой договор".

На предприятии действует сдельная оплата труда.

График работы сотрудников составляется согласно трудовому законодательству и оговоренными условиями "Трудового договора". График работы сотрудников составляется директором и утверждается индивидуальным предпринимателем.

На предприятии действует Положение о правилах внутреннего трудового распорядка, Правило противопожарной защиты, техники безопасности и санитарии личной гигиены. С указанными правилами знакомят всех сотрудников.

Обычно при отборе кандидатов в организации используют методы отбора, как резюме и собеседование.

Основными конкурентами товаров являются: ООО "Текстиль Пермь", ООО "ТПК "Бонусопт", ООО "Политекс", ООО "Текстиль" и другие.

Основными покупателями являются: ООО "Фавори", ООО "Постелька", ИП Муртазалиев Р.С., ООО "Аннет-текстиль", ООО "Виртекс-П" и другие.

Основнми поставщиками товаров являются: ООО "ТПК "Текстильный Дом", ООО "Ассорти Текстиль", ООО "ОПТ Текстиль" и другие.

Далее проведем анализ внутренней и внешней среды.

Внутреннюю среду предприятия составляют такие элементы, как миссия, цели и задачи, материально-технические ресурсы, структура, люди.

Анализ переменных внутренней среды исследуемого предприятия представлен в таблице 2.

Таблица 2 Анализ внутренней среды


Итак, анализ положительного и отрицательного воздействия факторов на предприятие показал, что несомненно для предприятия имеет значение элемент материальные ресурсы.

Внешняя среда организации оказывает разнообразное влияние, предоставляя благоприятные условия и возможности для эффективной деятельности, либо создавая угрозы для ее существования.

Анализ внешней среды прямого воздействия представлен в таблице 3.

Таблица 3 Анализ внешней среды прямого воздействия


Итак, основными факторами среды прямого воздействия являются поставщики, потребители товаров, конкуренты.

В результате взаимодействия предприятия с поставщиками и потребителями формируется система хозяйственных связей - одна из важнейших характеристик среды прямого воздействия. Конкуренты ведут борьбу за различные объекты: за рынки сбыта, за деньги потребителей.

Анализ внешней среды косвенного воздействия представлен в таблице 4.

Таблица 4 Анализ внешней среды косвенного воздействия


Итак, общей предпосылкой эффективного бизнеса является политическая ситуация в стране, где предприятие осуществляет свои операции. Существенное влияние на развитие предприятия оказывают состояние экономики.

Далее по данным бухгалтерского учета проведем краткий анализ деятельности предприятия за 2011- 2013 годы. В приложении 1 представлены бухгалтерский баланс и отчет о финансовых результатах, составленные по данным бухгалтерского учета.

В таблице 5 представлены основные экономические показатели предприятия.

Таблица 5 Основные экономические показатели ИП Исаев Р.И., тыс. руб.

Показатели

2011 г.

2012 г.

2013 г.

Абс. отклонение

Отн. отклонение, %

Выручка от продаж, тыс. руб.

15455

17563

22050

+6595

+42,67

Себестоимость продаж, тыс. руб.

14448

16103

+3833

+26,53

Прибыль (убыток) от продаж, тыс. руб.

1007

1460

3769

+2762

+274,28

Чистая прибыль, тыс. руб.

80

406

2446

+2366

+2957,50

Рентабельность продаж, %

0,52

2,31

11,09

+ 10,58

-

Рентабельность затрат, %

0,55

2,52

13,38

+ 12,83

-


В 2013 году наблюдается рост выручки на 42,67%, что составляет 6595 тыс. руб. Рост выручки произошел за счет увеличения объема продажи товаров. Себестоимость также повысилась в 2013 году по сравнению с 2011 годом на 26,53% (3833 тыс. руб.). Чистая прибыль увеличилась на 2366 тыс. руб..

Рост выручки и прибыли отразилось на рентабельности предприятия. Рентабельность продаж в 2013 году составляет 11,09%, в 2011 г. рентабельность была достаточно низкая - 0,52%. Наблюдается тенденция к росту рентабельности, это является положительным фактором.

Проведенный анализ показывает, что на данный момент предприятие демонстрирует рост эффективности деятельности предприятия: за период с 2011 по 2013 год было обеспечено опережение темпов роста прибыли над темпами роста себестоимости и выручки от продаж.

Далее проведем анализ имущественного положения (таблица 6).

Таблица 6 Анализ структуры и динамики активов


Имущество предприятия в 2013 году увеличилось на 3836 тыс.руб., что свидетельствует о росте имущественного потенциала предприятия. Существенный рост произошел по статье запасы на 1840 тыс.руб., нераспределенная прибыль на 2852 тыс.руб..

Далее проведем анализ оборотных средств предприятия.

В деятельности предприятия оборотные средства играют важную роль, они обеспечивают бесперебойное функционирование процесса продажи товаров.

Оборотные средства предприятия существуют в сфере обращения. Оборотные производственные фонды на предприятии отсутствуют. Оборотные фонды обращения предприятия подразделяются на различные элементы, составляющие материально-вещественную структуру оборотных средств: товары для перепродажи, дебиторская задолженность, денежные средства (таблица ).

Состав и анализ движения оборотных средств проведем по данным бухгалтерского учета (таблица 7).

Таблица 7 Состав и анализ движения оборотных средств, тыс.руб.

Показатель

Сумма, тыс.руб.

Уд.вес, %

Отклонения, тыс.руб.

Прирост, %


2011 г.

2012 г.

2013 г.

2011 г.

2012 г.

2013 г.



Запасы

1730

2368

3570

70,93

75,29

56,89

+1840

+106,36

НДС

100

153

298

4,10

4,86

4,75

+198

+198,00

Дебиторская задолженность

508

447

838

20,83

14,21

13,35

+330

+64,96

Денежные средства

101

177

1569

4,14

5,63

25,00

+1468

+1453,47

ИТОГО

2439

3145

6275

100,00

100,00

100,00

+3836

+157,28


Итак, по данным таблицы наибольший удельный вес занимают товары для перепродажи в 2013 году - 56,89%.

Далее дадим оценку эффективности использования оборотных средств на предприятии с помощью коэффициентов - коэффициент оборачиваемости оборотных средств, продолжительность одного оборота, коэффициент загрузки средств в обороте, материалоемкость (таблица 8).

Таблица 8 Оценка эффективности использования оборотных средств

Показатель

2011 г.

2012 г.

2013 г.

Коэффициент оборачиваемости оборотных средств

6,34

5,58

3,51

Коэффициент загрузки средств в обороте

0,16

0,18

0,28

Продолжительность одного оборота

56,81

64,47

102,45

Материалоемкость

11,19

13,48

16,19


Коэффициент оборачиваемости имеет тенденцию к снижению, это говорит о том, что оборотные средства стали использоваться на предприятии менее эффективно. В 2013 году оборотные средства использовались менее эффективно, чем в 2011 году. В 2013 году было меньше авансировано оборотных средств на 1 руб. выручки от реализации товаров. Продолжительность одного оборота растет, что свидетельствует об ухудшении использования оборотных средств. Повышение материалоемкости свидетельствует о менее рациональном использовании материальных оборотных фондов, о снижении эффективности.

Для измерения производительности труда, эффективности использования трудовых ресурсов на предприятии произведем расчет показателей выработки и трудоемкости (таблица 9).

Таблица 9 Расчет в производительности труда

Наименование показателя

2011 г.

2012 г.

2013 г.

Отклонение





Абс.

Отн., %

Выручка от продаж, тыс.руб.

15455

17563

22050

+6595

+42,67

Количество персонала, чел.

7

7

7

0

0,00

Затраты рабочего времени, тыс.руб.

1806

1875

1932

+126

+6,98

Выработка, тыс. руб./чел

2208

2509

3150

+942

+42,66

Трудоемкость, на 1 тыс.руб., ч

0,12

0,11

0,09

-0,03

-26,98


Итак, по данным таблицы на исследуемом предприятии выработка увеличилась на 942 тыс.руб., при этом трудоемкость снизилась на 0,03 тыс.руб.ч.. Повышение выработки на 42,66 % и снижение трудоемкости на 26,98% говорит о повышении эффективности использования трудовых ресурсов на предприятии.

Далее проведем анализ затрат (таблица 10).

Таблица 10 Анализ затрат

Показатель

Сумма, тыс.руб.

Уд.вес, %

Отклонения

Прирост, %


2011 г.

2012 г.

2013 г.

2011 г.

2012 г.

2013 г.



Материальные затраты

8456

9577

10244

58,53

59,47

56,04

+1788

+21,14

Затраты на оплату труда и социальные нужды

4588

5069

6879

31,76

31,48

37,63

+2291

+49,93

Прочие затраты

1404

1457

1158

9,72

9,05

6,33

-246

-17,52

ИТОГО

14448

16103

18281

100,00

100,00

100,00

+3833

+26,53


Итак, наибольший удельный вес в структуре затрат занимают материальные затраты (56,04%). К материальным затратам относятся затраты на покупку товаров, предназначенных для перепродажи, транспортные расходы. Затраты на оплату труда и социальные нужды составляют 37,63%, прочие затраты - 6,33%. К прочим затратам относятся расходы на рекламу, услуги банков, канцелярские принадлежности, арендные и коммунальные платежи, услуги связи и др.

.2 Организационные и методологические аспекты работы бухгалтерского отдела

Отдел бухгалтерского учета возглавляет бухгалтер.

Обязанности бухгалтера:

обеспечивать организацию и ведение бухгалтерского учета и бухгалтерской отчетности, налогового учета и налоговой отчетности;

осуществлять контроль за соблюдением штатной, финансовой и кассовой дисциплины;

осуществлять связь со сторонними организациями по вопросам, входящим в компетенцию бухгалтерского отдела;

предоставлять руководству предприятия необходимую информацию, содержащуюся во внутренней отчетности, бухгалтерскую (финансовую) отчетность в налоговые органы и фонды, в сроки, установленные законодательством по бухгалтерскому учету и налогообложению;

осуществлять расчет оплаты труда, расчетов с работниками предприятия;

обеспечить документальный учет начислений заработной платы и удержаний из нее;

выдача справок сотрудникам предприятия по вопросам начисления заработной платы и других выплат, а также удержаний из них;

выполнять ведение бухгалтерского учета по всем участкам учета.

начисление и своевременное перечисление налогов и сборов в федеральный, региональный и местный бюджеты, страховых взносов в государственные внебюджетные социальные фонды, а также иных платежей в соответствии с законодательством;

налоговый учет предприятия, составление и своевременная сдача налоговой и иной требуемой законодательством отчетности;

осуществление платежей в наличной и безналичной форме в порядке, определяемом внутренними документами предприятия;

своевременное представление деклараций в налоговые органы, внебюджетные фонды;

выполнять кассово-банковские операции.

осуществлять контроль за хранением и использованием материальных ценностей.

Бухгалтерский учет на предприятии автоматизирован при использовании программы автоматизации бухгалтерского учёта "1С: Бухгалтерия".

В качестве форм первичных учетных документов используются унифицированные формы, утвержденные Госкомстатом России.

Сдавать бухгалтерскую отчетность в налоговые органы предприятию не нужно.

С 1 января 2010 г. вступил в действие Федеральный закон от 24 июля 2009 г. N 212-ФЗ "О страховых взносах в Пенсионный фонд Российской Федерации, Фонд социального страхования Российской Федерации, Федеральный фонд обязательного медицинского страхования и территориальные фонды обязательного медицинского страхования", который устанавливает порядок исчисления и уплаты (перечисления) страховых взносов в:

Пенсионный фонд Российской Федерации (ПФР) - на обязательное пенсионное страхование;

Фонд социального страхования Российской Федерации (ФСС РФ) - на обязательное социальное страхование на случай временной нетрудоспособности и в связи с материнством;

Федеральный фонд обязательного медицинского страхования (ФФОМС) - на обязательное медицинское страхование.

Для того чтобы исчислить и уплатить страховые взносы, необходимо определить объект обложения страховыми взносами и базу для начисления страховых взносов.

На основании ст. 7 Федерального закона N 212-ФЗ объектом обложения страховыми взносами признаются выплаты и иные вознаграждения в пользу физических лиц по трудовым договорам.

Базой для начисления страховых взносов, в соответствии со ст. 8 Федерального закона N 212-ФЗ, является сумма выплат и иных вознаграждений, включенных в объект обложения, начисленных за расчетный период в пользу физических лиц, за исключением сумм, освобождаемых ст. 9 Федерального закона N 212-ФЗ от уплаты страховых взносов. Расчетным периодом признается календарный год. Отчетными периодами признаются первый квартал, полугодие, девять месяцев календарного года, календарный год.

При этом базу для начисления страховых взносов необходимо определять отдельно в отношении каждого физического лица с начала расчетного периода по истечении каждого календарного месяца нарастающим итогом. Предельная величина базы для начисления страховых взносов составляет 415 000 руб. Если суммы выплат и иных вознаграждений в пользу физического лица превысят указанный предел, то страховые взносы с последующих сумм не взимаются.

Суммы страховых взносов исчисляются и уплачиваются отдельно в каждый государственный внебюджетный фонд, а именно в ПФР, ФСС РФ, ФФОМС.

Исчисление страховых взносов производится в течение расчетного (отчетного) периода по итогам каждого календарного месяца.

Установлены следующие тарифы:

22 % - в ПФР;

2,9 % - в ФСС РФ;

5,1 % - в ФФОМС.

Уплата ежемесячных обязательных платежей производится не позднее 15-го числа календарного месяца, следующего за календарным месяцем, за который начисляется ежемесячный обязательный платеж.

Предприятием представляется в налоговую инспекцию декларацию по налогу, уплачиваемому в связи с применением упрощенной системы налогообложения, не позднее 30 апреля года, следующего за отчетным, то есть 30 апреля 2014 года. Сдавать промежуточные (квартальные) декларации в течение года не нужно. Форма налоговой декларации по единому налогу и порядок ее заполнения утверждены приказом Минфина России от 22 июня 2009 года № 58н.

Кроме того, предприятием уплачиваются страховые взносы во внебюджетные фонды на обязательное пенсионное страхование (в ПФР), на обязательное социальное страхование на случай временной нетрудоспособности и в связи с материнством (в ФСС), на обязательное медицинское страхование (в ФФОМС). В этом случае предприниматели ежеквартально представляют в фонды:

форму РСВ-1 ПФР (утв. приказом Минздравсоцразвития РФ от 15 марта 2012 г. № 232н) не позднее 15-го числа второго календарного месяца, следующего за отчетным кварталом. Вместе с отчетностью РСВ-1 ПФР и в эти же сроки следует представлять в Пенсионный фонд сведения индивидуального (персонифицированного) учета доходов и взносов;

форму 4-ФСС РФ (утв. приказом Минздравсоцразвития РФ от 12 марта 2012 г. № 216н) не позднее 15-го числа месяца, следующего за отчетным кварталом.

Не позднее 1 апреля года представляется в налоговую инспекцию справки о доходах физического лица по форме 2-НДФЛ.

.3 Учет материально-производственных запасов и система внутреннего контроля их сохранности

2.3.1 Учет поступления МПЗ

К материально-производственным запасам на предприятии относятся товары. Товарами называют приобретенную для перепродажи готовую продукцию других предприятий.

Исследуемое предприятие выступает как покупатель, так и продавец материально-производственных запасов.

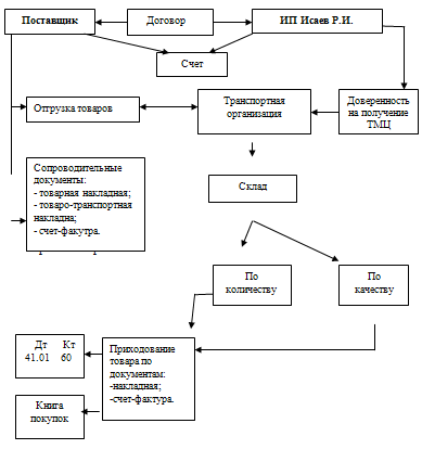
Первоначальным этапом поступления товара является заключение договора поставки между поставщиком и ИП Исаев Р.И. (приложение 2).

Договор поставки является разновидностью договора купли-продажи. Согласно ст. 506 ГК РФ по договору поставки поставщик-продавец обязуется передать покупателю товары для использования в предпринимательской деятельности или в иных целях, не связанных с личным использованием. Далее поставщиком выписывается счет на поставляемую партию товара, что является основанием для оплаты. Покупатель оплачивает поставляемые товары с соблюдением порядка, предусмотренного договором поставки, путем перечисления безналичных средств на расчетный счет поставщика.

Рассмотрим поступление товаров (рисунок 4).

Рисунок 4 Движение поступления товара

Следующий этап отгрузка товара. В нашем случае отгрузка товара производится через транспортную компанию, поэтому ИП Исаев Р.И. выписывает доверенность перевозчику на получение товаров. На доверенности обязательно стоит печать организации, подпись директора и бухгалтера. Движение товара от поставщика к покупателю оформляется товаросопроводительными документами, предусмотренными условиями договора поставки (товарной накладной, товарно-транспортной накладной, счет-фактурой). Товарно-транспортную накладную выписывают при доставке товаров автомобильным транспортом, в нашем случае она обязательна.

Товар поступает на предприятие по товаросопроводительным документам. В качестве товарной накладной используется форма №ТОРГ-12. Составляется товарная накладная в двух экземплярах: первый остается в организации, продающей товар и является у нее основанием для списания товаров с учета, а второй экземпляр передается предприятию покупателю товаров и служит основанием для принятия товаров на учет. Далее материально ответственное лицо передает в бухгалтерию товаросопроводительные документы.

Для приемки товара директор назначает приказом ответственных за приемку товара (заведующий складом). Приемка товара осуществляется по количеству и качеству. Далее материально - ответственное лицо ставит подпись на товарной накладной и заверяет ее печатью. Приходование товара по документам является заключительным этапом.

Бухгалтер ИП Исаев Р.И. ведет книгу покупок, предназначенную для регистрации счетов-фактур, выставленных продавцами, в целях определения суммы налога на добавленную стоимость.

Для учета товаров и их движения в бухгалтерском учете на анализируемом предприятии используется счет 41 "Товары", к которому открыт субсчет 41.01 "Товары на складах".

Транспортные расходы при доставке от поставщика на склад являются прямыми и учитываются на счете 44 "Расходы на продажу".

Учет товаров ведется по покупным ценам (фактической себестоимости) за минусом НДС, обеспечивая получение информации о товарных запасах не только в стоимостном выражении, но и в количественном.

В декабре 2013 года от поставщика были получены товары оптом на сумму 458 500,00 руб.

Принятие товаров к учету на основании полученных от поставщиков сопроводительных документов отражают в учете следующими проводками (таблица 11).

Таблица 11 Принятие товаров к учету в декабре 2013 года

Хозяйственная операция

Дебет

Кредит

Сумма, руб.

Приняты товары к учету на сумму, указанную в счете поставщика

41.01

60

388 559,32

НДС от стоимости товаров, указанной в счете поставщика.

19

60

69 940,68

Оплачены товары путем перечисления денежных средств с расчетного счета

60

51

458 500,00


На предприятии учет товаров ведется на складе (по месту непосредственной приемки и хранения товаров), и в бухгалтерском учете. В бухгалтерском учете используется только синтетический метод учета. На складе учет подразумевает обязательное ведение аналитического учета. Аналитический учет на складе ведется по ассортименту (наименованиям товаров).

Учет товаров на складе предприятия ведется сортовым методом. При сортовом методе товары учитываются отдельно по каждому наименованию независимо от времени поступления на склад и цены приобретения. Вновь поступивший товар присоединяется к уже имеющемуся на складе аналогичному товару.

Материально ответственное лицо открывает на каждое наименование товара отдельную Карточку количественно-стоимостного учета (форма N ТОРГ-28). В заголовке Карточки указываются все отличительные признаки товара: тип, марка, сорт, единица измерения, цвет, артикул, цена и т.д. Записи заносятся на основании приходных и расходных документов.

Все первичные учетные документы по движению товара на складах материально ответственные лица передают в установленные сроки в бухгалтерию (ежедневно). Бухгалтер проверяет правильность их оформления и законность совершенных операций, после чего производят таксировку, т.е. определяют денежную оценку совершенных товарных операций.

Бухгалтерский отдел ведет аналитический учет товаров (суммовой) ведется на основе оборотных ведомостей по счету 41 и осуществляется следующим образом:

) в бухгалтерии открывают на каждый вид и сорт материалов карточки аналитического учета, в которых на основании первичных документов записывают операции по поступлению и расходованию запасов. Эти карточки отличаются от карточек складского учета тем, что учет запасов ведут в них не только в натуральном, но и в денежном выражении.

) по окончании месяца по итоговым данным всех карточек составляют количественно-суммовые оборотные ведомости материалов по каждому складу и подразделению. В каждой оборотной ведомости выводят итоги сумм по каждой странице, по группам материалов, по субсчетам, синтетическим счетам и общий итог по складу или подразделению.

) на основе указанных ведомостей составляют сводную оборотную ведомость, данные которой затем сверяют с данными синтетического учета.

.3.2 Учет продажи МПЗ

ИП Исаев Р.И. является плательщиком НДС, поэтому при совершении операций, признаваемых объектом налогообложения, включая операции, не подлежащие налогообложению, а также при получении авансов и в других случаях обязано по установленным формам, вести журналы учета выставленных счетов-фактур и книги продаж.

Счета-фактуры выставляют покупателям не позднее пяти дней считая со дня отгрузки товара.

Товары ИП Исаев Р.И. реализуются за безналичный расчет. Стороны заключают договор поставки, далее избирают и устанавливают в договоре любую из форм расчетов. После заключения договор поставки, покупателю предоставляется прайс-лист, по которому он делает заявку. ИП Исаев Р.И. выставляет счет на оплату. Покупатель оплачивает счет, с соблюдением порядка, предусмотренного договором.

Рассмотрим реализацию товаров на примере схемы (рисунок 5).

Рисунок 5 Схема реализации товаров

Для оформления операций продажи (отпуска) товаров используется товарная накладная формы N ТОРГ-12 (приложение 3). В нашем случае условиями договора поставки предусмотрено, что доставка товара осуществляется силами продавца т.е., необходимо заполнить товарно-транспортную накладную. Отгрузка товара является заключительным этапом.

Списание стоимости товаров на предприятии ведется методом средней себестоимости. Рассмотрим списание стоимости товаров методом средней себестоимости на конкретном примере.

На начало 2013 года остаток кухонных полотенец составлял 30 шт. по цене 70 руб. - 2100 руб. За январь 2013 года приобретено 150 полотенец, в т.ч.:

января - 50 шт. по цене 65 руб. на сумму 3250 руб.;

января - 20 шт. по цене 68 руб. на сумму 1360 руб.;

января - 80 шт. по цене 60 руб. на сумму 4800 руб.

Всего за январь было продано 160 шт. полотенец.

Средняя себестоимость полотенец составит:

(2100 руб. + 3250 руб. + 1360 руб. + 4800 руб.) / 180 шт. = 63,94 руб.

Себестоимость проданных полотенец составит:

шт. x 63,94 руб. = 10 230,4 руб.

Остаток полотенец составит 20 шт. по цене 63,98 руб.

Для учета расчетов с покупателями предназначен счет 62 "Расчеты с покупателями и заказчиками".

Аналитический учет расчетов с покупателями ведется по каждому покупателю и каждому договору с учетом каждого предъявляемого к оплате счета и обеспечивает получение данных по возникновению задолженности, срокам и способам ее погашения.

Для учета процесса реализации товаров используется операционно-результатный счет 90 "Продажи", к которому открыты субсчета на каждую составляющую финансового результата от продажи (реализации) товаров:

.1 "Выручка";

.2 "Себестоимость продаж";

.3 "Налог на добавленную стоимость";

.9 "Прибыль / убыток от продаж".

На субсчете 90.1 "Выручка" учитываются поступления активов, признаваемые выручкой.

На субсчете 90.2 "Себестоимость продаж" учитывается себестоимость продаж, по которым на субсчете 90.1 "Выручка" признана выручка.

На субсчете 90.3 "Налог на добавленную стоимость" учитываются суммы налога на добавленную стоимость, причитающиеся к получению от покупателя (заказчика).

На субсчете 90.9 "Прибыль / убыток от продаж" учитывается выявленный финансовый результат (прибыль или убыток) от продаж.

Право собственности на товар переходит к покупателю в момент его передачи. Таким моментом является отгрузка товаров непосредственно покупателю.

На предприятии применяет метод начисления, поэтому доходы признаются в том отчетном (налоговом) периоде, в котором они возникли. При этом доходы признаются независимо от фактического поступления денежных средств.

Датой признания дохода oт реализации товаров является дата перехода права собственности на товар к покупателю.

В декабре 2013 года были проданы товары покупателям оптом на сумму 35 720,00 руб., в том числе НДС 5448,81 руб.. В бухгалтерском учете при продаже товаров покупателям оформляются следующие записи (таблица 12).

Таблица 12 Бухгалтерские проводки продажи товаров покупателям в декабре 2013 г.

 Наименование операции

Дебет

Кредит

Сумма, руб.

Полученные от покупателей суммы оплаты товаров

51

62

35 720,00

В учете признана выручка от реализации товаров

62

90.1

35 720,00

 Списана фактическая себестоимость товаров

90.2

41.01

27 477,00

Начислен НДС от стоимости реализованных товаров (35720,00 * 18 / 118)

90.3

68

5 448,81


Самый простой и естественный способ получить информацию о состоянии счетов за любой выбранный период на предприятии осуществляется посредством оборотно - сальдовой ведомости в программе 1:С "Бухгалтерия".

В ней для каждого синтетического счета отражаются остатки (сальдо) на начало и на конец периода, а также обороты за текущий период. Но по данным ведомостей нельзя определить, откуда ценности поступили, куда они направлены. Невозможно установить содержание увеличения и уменьшения средств и источников. Эти данные можно получить из шахматной оборотной ведомости.

Сформированная в программе 1С:"Бухгалтерия" шахматная ведомость отражает корреспонденцию счетов по учету поступления товаров.

Главное - правильно и своевременно документировать операции с материально-производственными ценностями, обеспечить учет товаров в количественном и стоимостном выражении (причем совпадение данных складского и бухгалтерского учета обязательно), обеспечить контроль сохранности товаров (реализуется посредством оборудования складских помещений и использования механизма материальной ответственности, а также посредством проведения инвентаризации).

Средством контроля за сохранностью товаров на предприятии является инвентаризация. Посредством инвентаризации проверяется наличие товаров на складах.

Рассмотрим поэтапно проведение инвентаризации товаров на исследуемом предприятии ИП Исаев Р.И.:

. Директором предприятия издается приказ о создании инвентаризационной комиссии (приложение 4).

. Комиссия готовит план проведения инвентаризации, в котором указывает:

зоны инвентаризации (склад товаров);

сотрудников, которые будут проводить пересчеты товаров на складе (бухгалтер, заведующий складом);

время проведения пересчетов на складе.

. Директором утверждается вышеупомянутый план проведения инвентаризации.

. Издается приказ о прекращении на время проведения инвентаризации:

перемещений товара внутри склада;

отгрузки товара клиентам.

. Инвентаризационной комиссией готовятся инвентаризационные описи товарно-материальных ценностей форма ИНВ-3 (приложение 5). Председатель инвентаризационной комиссии получает у материально-ответственных лиц расписки (в начале описи форма ИНВ - 3) в том, что к началу инвентаризации все расходные и приходные документы на товар сданы в бухгалтерию и все товары, поступившие на их ответственность, оприходованы, а выбывшие - списаны в расход.

Опись составляют в двух экземплярах. Один экземпляр передают в бухгалтерию для составления сличительной ведомости. Второй экземпляр остается у лица, ответственного за сохранность ценностей.

Инвентаризационной комиссией проводится инструктаж сотрудников, назначенных приказом в счетную комиссию по проведению пересчетов товаров и заполнению инвентаризационных описей товарно-материальных ценностей.

. После проведения пересчета инвентаризационной комиссией проверяется правильность заполнения инвентаризационных описей товарно-материальных ценностей. При отсутствии замечаний данные вносятся в программу обработки инвентаризации. Если же обнаружены какие-то недочеты, члены счетной комиссии совместно с членами инвентаризационной комиссии проводят повторный пересчет товара.

. По результатам инвентаризации составляются бухгалтерские проводки, оприходование излишков товаров относится в доход предприятия, а недостачи списываются на недостачи и потери от порчи ценностей.

Так на предприятии, в результате проведения 30 октября 2013 года инвентаризации товаров были выявлены излишки товара "Одеяло Эрмол байковое, 100х140, детское, цветное" по 366,00 руб. за штуку в количестве 1 штука. Также выявлена недостача "Подушка для новорожденного СД - детская м20.1 СДОБИНА" 1 штука по цене 88,00 руб. Были установлены виновные - это материально-ответственное лицо - заведующий складом. По приказу руководителя (№ 206 от 30.11.2013 года) недостача списывается на виновное лицо. Сумму недостачи заведующий складом внес наличными в кассу предприятия.

В бухгалтерском учете сделаны следующие проводки (таблица 13).

Таблица 13 Бухгалтерские проводки по учету результатов инвентаризации

Наименование хозяйственной операции

Дебет

Кредит

Сумма, руб.

Оприходованы излишки товара

41.02

91.01

366,00

Недостача товаров

94

41.02

88,00

 Списана недостача товаров

73.01

94

88,00

Погашена недостача, выявленная при инвентаризации

50.01

73.01

88,00


Итак, инвентаризация товаров на предприятии - это определенная последовательность практических действий по документальному подтверждению наличия, состояния и оценки товаров с целью обеспечения достоверности данных учета и отчетности.

Итак, во второй главе выпускной квалификационной работы исследован учет материально-производственных запасов и система внутреннего контроля их сохранности ИП Исаев Р.И.: дана организационно-экономическая характеристика исследуемого объекта, рассмотрены организационные и методологические аспекты работы бухгалтерского отдела, исследованы учет материально-производственных запасов и система внутреннего контроля их сохранности.

Проведенный экономический анализ показывает, что на данный момент предприятие демонстрирует рост эффективности деятельности предприятия: за период с 2011 по 2013 год было обеспечено опережение темпов роста прибыли над темпами роста себестоимости и выручки от продаж.

Исследования показали, что бухгалтерский отдел на предприятии возглавляет бухгалтер. Ведение бухгалтерского учета на предприятии автоматизировано. Ведется учет с применением программы "1С: Бухгалтерия". Все операции в "1С: Бухгалтерия" учитываются в разрезе договоров с покупателями и поставщиками. При продаже товаров выписываются счета на оплату, оформляются накладные и счета-фактуры. Отпуск товаров покупателю регистрируется в информационной базе "1С: Бухгалтерия" с помощью документа "Реализация товаров и услуг". Этот документ также предоставляет возможности для повторного использования содержащейся в нем информации. Из экранной формы документа можно получить несколько вариантов печатных форм, а также сформировать связанные с ним документы.

Система учета товаров в целом можно охарактеризовать как удовлетворительную: приемка товара осуществляется по количеству и качеству. Ведется документальное оформление движения товаров. Учет товаров ведется по покупным ценам (фактической себестоимости) за минусом НДС, обеспечивая получение информации о товарных запасах не только в стоимостном выражении, но и в количественном.

На предприятии выявлены недостатки в организации учета:

не разработан график документооборота по учету МПЗ,

не разработан график инвентаризации МПЗ;

при обнаружении брака на товар не составляются документы.

3. Совершенствование учета материально-производственных запасов и системы внутреннего контроля их сохранности ИП Исаев Р.И.

3.1 Рекомендации по совершенствованию учета материально-производственных запасов и системы внутреннего контроля их сохранности

С целью успешного решения задач по организации учета МПЗ необходимо правильно организовать складское хозяйство, совершенствовать систему документооборота, следить за подбором и подготовкой кадров материально ответственных лиц, связанных с учетом, обеспечить своевременное и полное ведение синтетического и аналитического учета материальных ценностей. Для этого на предприятии необходимо:

) составлять акт о списании товаров;

) установить четкую систему документации и документооборота;

) применять сальдовый метод учета МПЗ;

) проводить в установленном порядке инвентаризацию остатков МПЗ, своевременно отражать в учете их результаты.

Акт о списании товаров (ТОРГ - 16) применяется при оформлении возникающей по тем или иным причинам порчи, потери качества товаров, не подлежащих дальнейшей реализации. Акт необходимо составлять в момент обнаружения брака. Выписывается один экземпляр для бухгалтерии, второй для материально-ответственного лица, третий для склада. Оформляет этот акт заведующий складом. Ответственность за оформление несет директор. Акт о списании товаров представляется в день обнаружения брака, недостачи, заведующим складом бухгалтеру для проверки и является основанием для списания с материально ответственного лица потерь товарно - материальных ценностей. Бухгалтер осуществляет проверку не позднее, чем в день, следующий за днем обнаружения брака, недостачи.

При этом в бухгалтерском учете необходимо отразить следующим образом:

Д 76 "Расчеты с разными дебиторами и кредиторами", субсчет 2 "Расчеты по претензиям"

К 41 - на сумму стоимости возвращенного товара;

Д 76, субсчет 2 "Расчеты по претензиям"

К 19 "Налог на добавленную стоимость по приобретенным ценностям" - на сумму предъявленного поставщиком налога на добавленную стоимость.

Неотъемлемое условие успешной работы бухгалтерии - это четкая организация документооборота. Поэтому в целях внутреннего контроля необходимо разработать и внедрить на предприятии график документооборота по учету МПЗ.

Отсутствие надлежащего порядка в оформлении и обработке документов является одной из причин отставания учета, неэффективности использования учетной информации для управления хозяйственной деятельностью и контроля.

Правильная организация бухгалтерского учета требует составления плана документооборота, который должен определять порядок оформления документов, поступления их в бухгалтерию, обработки, использования для записей в учетные регистры и передачи в архив. Для обеспечения равномерного движения документов без задержек и накопления на отдельных местах по каждому виду документов рекомендуется разработать и утвердить график документооборота, в котором предполагается последовательность прохождения документов, работа, которая выполняется каждым звеном, указываются конкретные исполнители, ответственные за соблюдения установленного порядка и сроки оформления и обработки документов.

График документооборота целесообразно оформить в виде таблицы с перечнем работ по составлению, проверке и обработке документов, которые выполняются каждым подразделением предприятия, а также всеми исполнителями с определением их взаимосвязи и сроков выполнения работ. Каждому исполнителю выдается выписка из графика, в которой приводится перечень документов, которые относятся к функциональным обязанностям исполнителя, сроки их представления и подразделения предприятия, в которые передаются эти документы.

Для каждого документа в бухгалтерском учете существует свой путь движения, т.е. свой документооборот. Однако для всех документов обязательными являются пять основных этапов:

) составление документа в момент совершения хозяйственной операции в соответствии с требованиями, предъявляемыми к оформлению документов;

) передача документа в бухгалтерию, где контролируют своевременность и полноту сдачи его для учетной обработки;

) проверка принятых документов бухгалтером. Проверка осуществляется по форме (проверяется полнота и правильность оформления документов, заполнение их обязательных реквизитов), по содержанию (проверяется законность документированных операции, логическая увязка отдельных показателей) и, кроме того, включает арифметическую проверку;

) обработка документа в бухгалтерии:

таксировка, или расценка, предусматривает перевод натуральных и трудовых измерителей в обобщающий денежный измеритель.

группировка - подбор документов, однородных по экономическому содержанию (приход и расход);

котировка - указание в первичном документе корреспонденции счетов по конкретной хозяйственной операции, вытекающей из содержания документа;

) сдача документов в архив на хранение после составления по ним учетных регистров.

Работу по составлению графика документооборота организует бухгалтер. График документооборота утверждается приказом директора предприятия. По результатам исследования создан график документооборота (Приложение 6).

При проведении исследования выявлено, что на предприятии ведется учет МПЗ с использованием оборотного метода.

Более прогрессивен сальдовый метод учета материалов. При этом методе бухгалтерия не дублирует складской сортовой учет ни в отдельных карточках аналитического учета, ни в оборотных ведомостях, а использует в качестве регистров аналитического учета карточки складского учета материалов, ведущиеся на складе. Ежедневно или в другие установленные сроки работник бухгалтерии проверяет правильность произведенных кладовщиком записей в карточках складского учета и подтверждает их своей подписью на карточках. В конце месяца заведующий складом, а в отдельных случаях работник бухгалтерии переносит количественные данные об остатках на первое число месяца по каждому номенклатурному номеру материалов из карточек складского учета в сальдовую ведомость (без оборотов прихода и расхода). После проверки и визирования бухгалтером сальдовую ведомость передают в бухгалтерию, где остатки материалов таксируют по твердым учетным ценам и выводят их итоги по отдельным учетным группам материалов и в целом по складу. На основании указанных сальдовых ведомостей составляют сводную сальдовую ведомость, в которую переносят итоги сальдовых ведомостей складов и подразделений по группам материалов, по субсчетам, синтетическим счетам, складам, подразделениям.

Сальдовые ведомости и сводные сальдовые ведомости ежемесячно сверяются с данными синтетического учета материалов.

На предприятии в целях совершенствования системы внутреннего контроля сохранности МПЗ необходимо осуществлять инвентаризацию МПЗ в установленные сроки согласно разработанному графику и организовывать внеплановую инвентаризацию (таблица 14).

Таблица 14 График инвентаризации МПЗ ИП Исаев Р.И.

Период проведения

Основание

Ответственные лица

Способ инвентаризации

Отчетные документы

Плановые:





01.03.2014

Приказ директора

Директор

Фактического подтверждения

Форма ИНВ-3

01.04.2014

Приказ директора

Директор

Фактического подтверждения

Форма ИНВ-3

01.09.2014

Приказ директора

Директор

Фактического подтверждения

Форма ИНВ-3

01.12.2014

Приказ директора

Директор

Фактического подтверждения

Форма ИНВ-3

Внеплановые:





Смена материально-ответственного лица

Приказ директора

Директор

Фактического подтверждения

Форма ИНВ-3

Контрольные (межинвентаризационный период)

Приказ директора

Директор

Фактического подтверждения

Форма ИНВ-3


.2 Реализация товаров через посредника

Мероприятием по совершенствованию учета движения товаров является реализация товаров через посредника. В этом случае отношения между предприятием и посредником необходимо строить на основании договора поручения, комиссии или агентирования.

Рассмотрим правовые аспекты посреднических договоров, порядок отражения хозяйственных операций на счетах бухгалтерского учета предприятия, а также особенности налогообложения при реализации товаров через посредника.

Гражданское законодательство РФ называет три вида посреднических договоров:

договор поручения;

договор комиссии;

агентский договор.

Остановимся подробнее на предмете каждого из указанных договоров.

Договор поручения. Отношения сторон при договоре поручения строятся на основании положений норм гл. 49 "Поручение" Гражданского кодекса РФ (ГК РФ).

Согласно п. 1 ст. 971 ГК РФ по договору поручения одна сторона (поверенный) обязуется совершить от имени и за счет другой стороны (доверителя) определенные юридические действия. Права и обязанности по сделке, совершенной поверенным, возникают непосредственно у доверителя.

Конкретный перечень таких действий устанавливает поверенному доверитель в соответствии с п. 1 ст. 973 ГК РФ. Поскольку поверенный действует от имени доверителя, последний обязан наделить посредника полномочиями, выдав ему доверенность согласно п. 1 ст. 975 ГК РФ.

Договор комиссии регулируется гл. 51 "Комиссия" ГК РФ. На основании п. 1 ст. 990 ГК РФ по договору комиссии комиссионер обязуется по поручению комитента за вознаграждение совершить одну или несколько сделок от своего имени, но за счет комитента. Согласно ст. 153 ГК РФ сделками признаются действия граждан и юридических лиц, направленные на установление, изменение или прекращение гражданских прав и обязанностей.

Таким образом, предметом данного договора также является совершение юридических действий, но обозначенных законодателем более конкретно, чем в случае с договором поручения. Комиссионер (в отличие от поверенного по договору поручения) действует от своего имени. Поэтому права и обязанности по сделке, совершенной с третьим лицом, возникают именно у комиссионера (п. 1 ст. 990 ГК РФ).

Агентский договор. Этому виду гражданско-правового соглашения посвящена гл. 52 "Агентирование" ГК РФ.

Согласно п. 1 ст. 1005 ГК РФ по агентскому договору агент обязуется за вознаграждение совершать по поручению принципала юридические и иные действия от своего имени, но за счет принципала либо от имени и за счет принципала.

По сделке, совершенной агентом с третьим лицом от своего имени и за счет принципала, приобретает права и становится обязанным агент, хотя принципал и был назван в сделке или вступил с третьим лицом в непосредственные отношения по исполнению сделки.

По сделке, совершенной агентом с третьим лицом от имени и за счет принципала, права и обязанности возникают непосредственно у принципала.

В нашем случае предлагается между ИП Исаев Р.И. (комитент) и посредниками (комиссионер) заключать договор комиссии, при котором комитент поручает комиссионеру продать принадлежащие ему товары на оговоренных условиях за определенное вознаграждение.

Рассмотрим более подробно порядок отражения хозяйственных операций по реализации товара по договору комиссии в бухгалтерском учете исследуемого предприятия.

Выручка от реализации товара в соответствии с п. 5 Положения по бухгалтерскому учету "Доходы организации" ПБУ 9/99, утвержденного Приказом Минфина России от 06.05.1999 N 32н, является доходом от обычных видов деятельности. Признание выручки в бухгалтерском учете предприятия производится в том случае, если выполняются все условия, перечисленные в п. 12 ПБУ 9/99.

Согласно п. 12 ПБУ 9/99 выручка признается при одновременном выполнении следующих условий:

организация имеет право на получение этой выручки, вытекающее из конкретного договора или подтвержденное иным соответствующим образом;

сумма выручки может быть определена;

имеется уверенность в том, что в результате конкретной операции произойдет увеличение экономических выгод организации. Эта уверенность имеется в случае, когда организация получила в оплату актив либо отсутствует неопределенность в отношении получения актива;

право собственности (владения, пользования и распоряжения) на продукцию (товар) перешло от организации к покупателю;

расходы, которые произведены или будут произведены в связи с этой операцией, могут быть определены.

В соответствии с п. п. 5 и 16 Положения по бухгалтерскому учету "Расходы организации" ПБУ 10/99, утвержденного Приказом Минфина России от 06.05.1999 N 33н, вознаграждение, причитающееся организации-посреднику, учитывается в составе расходов по обычным видам деятельности на дату утверждения отчета, представленного комиссионером.

В соответствии с Планом счетов бухгалтерского учета финансово-хозяйственной деятельности организаций и Инструкцией по его применению, утвержденными Приказом Минфина России от 31.10.2000 N 94н, для обобщения информации о наличии и движении товаров, переданных на комиссию, предприятию-комитенту следует использовать счет 45 "Товары отгруженные".

Операция по передаче товара комиссионеру отражается в бухгалтерском учете исследуемого предприятия (комитента) путем переноса соответствующих сумм с кредита счета 41 "Товары" в дебет счета 45 "Товары отгруженные".

На счете 45 "Товары отгруженные" переданные комиссионеру товары числятся до момента перехода права собственности на них к покупателю (или до момента их возврата, если договор комиссии расторгается).

По мере перехода к покупателю права собственности на комиссионные товары по договору купли-продажи, заключенному комиссионером от своего имени, выполняются все условия, необходимые для признания выручки в бухгалтерском учете комитента. Соответственно, комитенту необходимо выполнить следующие проводки на счетах бухгалтерского учета:

отразить выручку от реализации товаров по кредиту счета 90 "Продажи", субсчет 1 "Выручка", по цене договора купли-продажи, заключенного комиссионером;

начислить в бюджет сумму НДС с оборота по реализации;

списать в дебет счета 90 "Продажи", субсчет 2 "Себестоимость продаж", суммы, принятые на учет по счету 45 "Товары отгруженные" в размере фактической себестоимости реализованных товаров.

Расчеты с комиссионером по оплате комиссионного вознаграждения ведутся на отдельном субсчете счета 76 "Расчеты с разными дебиторами и кредиторами", предлагается ввести отдельный субсчет 5 "Расчеты с комиссионером".

Вознаграждение, выплачиваемое комиссионеру, а также все понесенные им расходы, связанные с реализацией товаров, отражаются в учете предприятия (комитента) как расходы по продаже товаров по дебету счета 44 "Расходы на продажу". Основанием для этого являются отчет комиссионера, утвержденный комитентом, и все первичные документы, подтверждающие размер и назначение понесенных комиссионером расходов (накладные, акты и счета-фактуры оформляются на имя комиссионера).

Рассмотрим порядок отражения хозяйственных операций по реализации товара предприятия (комитента):

В январе 2014 ИП Исаев Р.И. передало ООО "ТрикотажТорг" товары для реализации. Согласно договору товары должны быть проданы за 118 000 руб. (в том числе НДС 18% - 18 000 руб.). Себестоимость товаров составляет 90 000 руб. Сумма комиссионного вознаграждения - 1 180 руб. (в том числе НДС 18% - 180 руб.).

ООО "ТрикотажТорг" полностью реализовало комиссионный товар. Согласно договору комиссии ООО "ТрикотажТорг" участвует в расчетах и удерживает свое вознаграждение из денежных средств, причитающихся ИП Исаев Р.И. Рабочим планом счетов ИП Исаев Р.И. предусмотрено, что расчеты с комиссионером отражаются в учете на счете 76 "Расчеты с разными дебиторами и кредиторами", субсчет 5 "Расчеты с комиссионером".

В бухгалтерском учете ИП Исаев Р.И. данные хозяйственные операции оформляются следующим образом (таблица 15):

Таблица 15 Порядок отражения хозяйственных операций по реализации товара ИП Исаев Р.И. (комитента)

Наименование хозяйственной операции

Дебет

Кредит

Сумма, руб.

переданы товары на комиссию

45

41

90 000

отражена выручка от продажи товаров (на основании отчета комиссионера)

62

90.01

118 000

начислен НДС

90.03

68 ндс

18 000

списана фактическая себестоимость реализованных товаров

90.02

45

90 000

учтены услуги посредника в составе расходов на продажу

44

76.05

1000

учтен НДС по услугам посредника

19

76.05

180

зачтены денежные средства, поступившие от покупателей (на основании отчета комиссионера)

76.05

62

118 000

принят к вычету НДС по посредническим услугам

68 ндс

19

180

получены денежные средства от посредника за реализованные товары с учетом взаимных требований в части комиссионного вознаграждения (118 000 руб. - 1180 руб.)

51

62

116 820

списаны затраты, приходящиеся на реализованные товары

90.02

44

1000

отражена прибыль от реализации товаров (118 000 руб. - 18 000 руб. - 90 руб. - 1000 руб.)

90.09

99

9000


Далее рассмотрим порядок налогообложения при реализации товаров через посредника.

Налог на добавленную стоимость. Глава 21 "Налог на добавленную стоимость" НК РФ не предусматривает особых правил исчисления НДС для комитента, поэтому руководствоваться следует общими положениями.

Так, объектом налогообложения признается реализация товаров, работ, услуг согласно пп. 1 п. 1 ст. 146 НК РФ.

Следует отметить, что передача комитентом товаров комиссионеру для последующей реализации объектом налогообложения не признается, поскольку право собственности на товары при этом не переходит. Налоговая база у комитента возникает только при реализации товаров комиссионером покупателям.

В соответствии с п. 3 ст. 169 НК РФ обязанность по оформлению счетов-фактур возникает у налогоплательщиков только при совершении операций, признаваемых объектом налогообложения, т.е. в случаях реализации товаров.

Обязанность у ИП Исаев Р.И. (комитента) по выписке счета-фактуры возникает в тот момент, когда посредник передает право собственности на комиссионный товар покупателю и у комитента возникают обороты по реализации.

Посреднику в момент получения комиссионного товара также не требуется счет-фактура от комитента. Счета-фактуры у налогоплательщиков НДС служат основанием для принятия предъявленных сумм налога к вычету. Однако комиссионеры, осуществляющие предпринимательскую деятельность в интересах другого лица на основе договора комиссии, определяют налогооблагаемую базу по НДС как сумму дохода, полученную ими в виде вознаграждений при исполнении любого из указанных договоров. Поэтому вычет по товару ему не нужен, тем более что и применение им этого вычета неправомерно, так как право собственности на комиссионный товар к нему не переходит.

Исходя из этого, можно сделать вывод, что при реализации товаров через посредника обязанность по выписке счетов-фактур возникает у сторон по договорам комиссии в тот момент, когда имеет место переход права собственности на комиссионный товар покупателю.

При отгрузке посредником комиссионного товара покупателю он должен выписать счет-фактуру на имя покупателя товара, так как по договору купли-продажи, заключенному между ним и покупателем, именно он является продавцом данного товара.

При комиссии комиссионер выступает от своего имени, но реализует товары, принадлежащие комитенту. Поэтому такой счет-фактура выписывается комиссионером от своего имени на имя покупателя.

Порядок применения счетов-фактур при осуществлении посреднических операций:

Комиссионер, выступающий от своего имени и реализующий товары комитента, выписывает счет-фактуру в двух экземплярах, один из которых передается покупателю (на основе данного счета-фактуры покупатель получает право отнести на расчеты с бюджетом НДС по приобретенным ценностям), второй - подшивается в журнал учета выставленных счетов-фактур без регистрации его в книге продаж. Оба счета-фактуры у посредника в книге покупок и продаж не регистрируются.

Кроме того, комиссионер выставляет комитенту отдельный счет-фактуру на сумму своего вознаграждения по договору комиссии. Счет-фактура регистрируется им в установленном порядке в книге продаж. Комитент, получивший этот счет-фактуру, регистрирует его в книге покупок.

ИП Исаев Р.И. (комитент), поручивший посреднику продать товар, выставляет счет-фактуру на имя комиссионера с нумерацией в соответствии с хронологией выставляемых им счетов-фактур. При этом счет-фактура оформляется на основании данных счета-фактуры, выставленного посредником покупателю, и регистрируется в книге продаж у комитента.

Таковы основные особенности налогообложения при реализации товаров через посредника.

Оплатой, частичной оплатой в счет предстоящих поставок комитентом товаров признается оплата, частичная оплата, полученная от покупателя комитентом либо его комиссионером, как в денежной, так и в иной форме. Значит, если комиссионер участвует в расчетах и предоплата поступает на его счет, он должен отразить данные сведения в отчете или иным образом известить об этом комитента, чтобы тот мог своевременно начислить НДС с оплаты в счет предстоящих поставок (таблица 16).

Таблица 16 Расчеты по НДС ИП Исаев Р.И. (комитент)

Операция

Сумма НДС, руб.

Налоговая база со стоимости отгруженного товара

118 000,00

Сумма НДС к оплате со стоимости отгруженного товара

18 000,00

НДС к вычету при реализации товаров через посредника

18 000,00

НДС к вычету при реализации товаров через посредника с вознаграждения посредника

180,00


Таким образом, бухгалтер ИП Исаев Р.И. (комитент) в налоговой декларации по НДС включит в налоговую базу всю сумму НДС, начисленную со стоимости отгруженного товара, в размере 18 000 руб. Кроме того, он поставит к вычету НДС с вознаграждения посредника (180 руб.).

Соответственно, момент уплаты НДС наступят, когда товар перейдет в собственность конечного покупателя. Можно рассчитать частный показатель, характеризующий долю налоговых платежей, в цене продукции:

К н.ц. = Н 0 / Ц * 100,

где К н.ц. - коэффициент налогообложения цены,

Н 0 - сумма налогов, входящих в цену продукции (НДС),

Ц - цена продукции.

Коэффициент налогообложения цены после применения мероприятия = 18 000 / 118 000 * 100 = 15,25%

Коэффициент налогообложения цены до применения мероприятия = (18 000 - 180) / 118 000 * 100 = 15,1 %.

Рассчитаем НДС до и после внедрения операций по договору комиссии (таблица 17).

Таблица 17 Расчет НДС до и после внедрения операций по договору комиссии

Показатель

Без участия посредника

С участием посредника

Разница

Стоимость реализованных товаров, руб.

118 000

118 000

0

Вознаграждение посреднику, руб.

0

1 180

1 180

НДС со стоимости реализованных товаров в январе 2014 года, руб.

18 000

0

18 000

НДС к возмещению в январе 2014 года, руб.

18 000

180

0

НДС по вознаграждению посредника, руб.

0

180

180

НДС к уплате в бюджет в феврале 2014 года, руб.



17 820


Эффективность варианта оптимизации налоговых платежей можно оценивать с помощью коэффициента налоговой экономии. Он характеризует выгоду, которая будет получена в результате применения разработанной в ходе налогового планирования схемы:

К н.э. = (Н 1 - Н 2) / В * 100 %,

где К н.э. - коэффициент налоговой экономии, Н 1 - Сумма налогов, начисленных при существующей системе налогообложения, Н 2 - Планируемая сумма налогов, начисленных после применения схемы оптимизации налогообложения, В - Выручка с НДС.

Коэффициент налоговой экономии = 18 000 - (18 000 - 180) / 118 000 * 100 = 0,15.

.3 Экономическая оценка по принятым рекомендациям

Объединим предлагаемые мероприятия в таблицу 18 .

Таблица 18 План мероприятий по совершенствованию системы учета и контроля МПЗ ИП Исаев Р.И.

Мероприятия

Ответствен ный

Дата




Начало

Окончание

1

2

3

4

5

1

Внедрение акта о списании товаров

Директор

01.01.2014

31.01.2014

2

Разработка графика документооборота по движению МПЗ

Директор

01.02.2014

28.02.2014

3

Внедрение в учете сальдового метода учета МПЗ

Директор

01.03.2014

31.03.2014

4

Разработка графика инвентаризации МПЗ

Директор

01.04.2014

30.04.2014

5

Реализация товаров через посредника

Директор

01.01.2014

31.12.2014


Рассчитаем экономический эффект от внедрения мероприятий (таблица 19). Показатели таблицы взяты из плановых показателей, разработанных на предприятии.

Таблица 19 Расчет экономического эффекта по внедрению мероприятий

Показатель

Сумма, тыс.руб.

1. Выручка предприятия по плану

24255

2. Затраты по плану

20109

3. Прибыль по плану до внедрения мероприятий (выручка - затраты)

4146

 4. Затраты на мероприятия (вознаграждение 10% от суммы при реализации товаров через посредника, т.е. 1 180 000 руб. х 10%)

118

5. Налоговая экономия (1 180 000*0,15)

177

6. Прибыль по плану после внедрения мероприятий (выручка - затраты - затраты на мероприятия + экономия)

4205

7. Экономический эффект (Прибыль до внедрения мероприятий - Прибыль после внедрения мероприятий)

59


Таким образом, при внедрении разработанных мероприятий по учету и контролю МПЗ в 2014 году экономический эффект составляет 59 тыс.руб.

Итак, в третьей главе выпускной квалификационной работы даны рекомендации по совершенствованию учета МПЗ и системы внутреннего контроля их сохранности:

) составлять акт о списании товаров;

) установить четкую систему документации и документооборота;

) применять сальдовый метод учета МПЗ;

) проводить в установленном порядке инвентаризацию остатков МПЗ, своевременно отражать в учете их результаты.

А также мероприятием по совершенствованию учета движения товаров является реализация товаров через посредника, при использовании такого мероприятия вычету подлежит не только начисленный НДС со стоимости отгруженного товара, но и НДС с вознаграждения посредника.

Итак, экономия от НДС составила 118 тыс.руб., а коэффициент налоговой экономии составил 0,15%.

При внедрении разработанных мероприятий по учету и контролю МПЗ в 2014 году экономический эффект составляет 59 тыс.руб.

Заключение

Выпуская квалификационная работа посвящена совершенствованию учета материально-производственных запасов и системы внутреннего контроля их сохранности ИП Исаев Р.И.

Основным видом деятельности является оптовая торговля текстильными изделиями.

Выпуская квалификационная работа состоит из трех глав.

В первой главе выпускной квалификационной работы рассмотрены теоретические особенности материально-производственных запасов как объекта учета: нормативно-законодательное регулирование учета материально-производственных запасов, понятие, сущность и классификация материально-производственных запасов, оценка стоимости материально-производственных запасов и их документальное оформление, организация учета материально-производственных запасов, понятие, сущность и особенности контроля за состоянием учета материально-производственных запасов.

Во второй главе выпускной квалификационной работы исследован учет материально-производственных запасов и система внутреннего контроля их сохранности ИП Исаев Р.И.: дана организационно-экономическая характеристика исследуемого объекта, рассмотрены организационные и методологические аспекты работы бухгалтерского отдела, исследованы учет материально-производственных запасов и система внутреннего контроля их сохранности.

Проведенный экономический анализ показывает, что на данный момент предприятие демонстрирует рост эффективности деятельности предприятия: за период с 2011 по 2013 год было обеспечено опережение темпов роста прибыли над темпами роста себестоимости и выручки от продаж.

Исследования показали, что бухгалтерский отдел на предприятии возглавляет бухгалтер.

Ведение бухгалтерского учета на предприятии автоматизировано. Ведется учет с применением программы "1С: Бухгалтерия". Все операции в "1С: Бухгалтерия" учитываются в разрезе договоров с покупателями и поставщиками. При продаже товаров выписываются счета на оплату, оформляются накладные и счета-фактуры. Отпуск товаров покупателю регистрируется в информационной базе "1С: Бухгалтерия" с помощью документа "Реализация товаров и услуг". Этот документ также предоставляет возможности для повторного использования содержащейся в нем информации. Из экранной формы документа можно получить несколько вариантов печатных форм, а также сформировать связанные с ним документы.

Система учета товаров в целом можно охарактеризовать как удовлетворительную: приемка товара осуществляется по количеству и качеству. Ведется документальное оформление движения товаров. Учет товаров ведется по покупным ценам (фактической себестоимости) за минусом НДС, обеспечивая получение информации о товарных запасах не только в стоимостном выражении, но и в количественном.

На предприятии выявлены недостатки в организации учета:

не разработан график инвентаризации МПЗ;

при обнаружении брака на товар не составляются документы.

В третьей главе выпускной квалификационной работы даны рекомендации по совершенствованию учета МПЗ и системы внутреннего контроля их сохранности:

) составлять акт о списании товаров;

) установить четкую систему документации и документооборота;

) применять сальдовый метод учета МПЗ;

) проводить в установленном порядке инвентаризацию остатков МПЗ, своевременно отражать в учете их результаты.

А также мероприятием по совершенствованию учета движения товаров является реализация товаров через посредника, при использовании такого мероприятия вычету подлежит не только начисленный НДС со стоимости отгруженного товара, но и НДС с вознаграждения посредника.

Итак, экономия от НДС составила 118 тыс.руб., а коэффициент налоговой экономии составил 0,15%.

При внедрении разработанных мероприятий по учету и контролю МПЗ в 2014 году экономический эффект составляет 59 тыс.руб.

Список использованных источников

1.         Гражданский кодекс РФ (часть первая) от 30.11.1994г № 51-ФЗ

2.      Гражданский кодекс РФ (часть вторая) от 26.01.1996г № 14-ФЗ

.        Налоговый кодекс РФ (часть вторая) от 05.08.2000г № 117-ФЗ

.        Кодекс РФ об административных правонарушениях, утвержденный Федеральным законом от 30.12.2001 N 195-ФЗ

.        Федеральный закон РФ "О бухгалтерском учете" от 06.12.11г. № 402-ФЗ

.        Положение по бухгалтерскому учету "Учетная политика организации" ПБУ 1/2008 от 06.10.2008г. № 106н

.        Положение по бухгалтерскому учету "Учет материально-производственных запасов" ПБУ 5/01, утвержденное Приказом Минфина России от 09.06.2001г. № 44н

.        Положение по бухгалтерскому учету "Доходы организации" ПБУ 9/99 (приказ Минфина РФ от 06.05.99 №32н)

.        Положение по бухгалтерскому учету "Расходы организации" ПБУ 10/99 (приказ Минфина РФ от 06.05.99 №33н)

.        Методические указания по учету материально-производственных запасов, утвержденные Приказом Минфина России от 28.12.2001г. N 119н.

.        Методические указания по инвентаризации имущества и финансовых обязательств, утвержденные Приказом Минфина РФ №49 от 13.06.1995г

.        План счетов бухгалтерского учета финансово-хозяйственной деятельности организаций и Инструкция по его применению (Приказ Минфина России от 31.10.2000 N 94н)

.        Агафонова М.Н. Бухгалтерский учет и отчетность / "Налоговый вестник", 2011

.        Агафонова М.Н. Бухучет в розничной торговле: образцы заполнения документов: практическое пособие / "ГроссМедиа", 2010 "РОСБУХ", 2010

.        Акилова Е.В. Оценка МПЗ в бухгалтерском учете организаций / "Современный бухучет", 2012, N 9

.        Базарова А.С. Учет движения материальных ценностей /"Налоги" (газета), 2012, N 22

.        Берг О. Потери и недостачи товаров / "Российский бухгалтер", 2013, N 12

.        Бычкова С.М. МПЗ: отражение в учетной политике организации / "Аудиторские ведомости", 2012, N 9

.        Гражданкина Е.В. Экономика малого предприятия / "ГроссМедиа", 2012 "Росбух", 2012

.        Демина И.Д. Кришталева Т.И.Особенности методики проведения аудиторской проверки товарных операций в оптовых предприятиях / "Экономический анализ: теория и практика", 2009, N 17

.        Жминько С.И. Бухгалтерский учет МПЗ/"Все для бухгалтера", 2010, N 1

.        Захарьин В.Р. Торговля. Бухгалтерский учет и налогообложение / "Налоговый вестник", 2010

.        Захарьин В.Р. Об особенностях бухгалтерского учета и налогообложения операций по товарному кредиту / "Официальные материалы для бухгалтера. Комментарии и консультации", 2010, N 9

.        Иноземцева М.М. Учет приобретенных товаров / "Новое в бухгалтерском учете и отчетности", 2009, N 9

.        Карзаева Н.Н., Бельтова Т.А. Товары и расходы на продажу // Бухгалтерский учет, 2012, N 24.

.        Кувалдина Т.Б., Гончаренко Л.Н. Издержки обращения в торговле: бухгалтерский и налоговый учет. Учебно-практическое пособие. М.: Приор-издат, 2010

.        Кулаева Н.С. Оценка МПЗ/"Бухгалтерия в вопросах и ответах", 2012, N 3

.        Ланина И.Б. Бухгалтерский учет движения товаров / "Все для бухгалтера", 2009, N 8

.        Луговой А.В. Документирование хозяйственных операций как основа бухгалтерского учета / "Бухгалтерский учет", N 6, 2009;

.        Мельник М.В., Пантелеев А.С., Звездин А.Л. Ревизия и контроль: Учебное пособие/Под ред. проф. М.В. Мельник. М.: ИД ФБК-ПРЕСС, 2012.- 520 с.

.        Никандрова Л.К. Бухгалтерский учет движения товаров / "Все для бухгалтера", 2009, N 8

.        Николаев С.Н. Инвентаризация имущества и обязательств. "Налоговый вестник", 2012г

.        Патров В.В./ Бухгалтерский учет в торговле и общественном питании / "Питер", 2009, "Издательский дом БИНФА", 2009

.        Поленова С.Н. Аналитический учет товаров / "Новое в бухгалтерском учете и отчетности", 2011, N 11

.        Поленова С.Н. Организация учета движения МПЗ / "Аудиторские ведомости", 2010, N 9

.        Пятов М.Л. Бухгалтерский учет и оформление договоров. Учебно-практическое пособие. М.: Проспект, 2011.

.        Рассказова-Николаева С.А. Учетная политика организации: бухгалтерский учет и налогообложение. М.: Экономика и жизнь, 2010.

.        Ребрищев И.Н. Теоретические аспекты учета и оценки материально-производственных запасов / "Все для бухгалтера", 2012, N 13

.        Сафронов Н. А. Экономика организации. - М.: Экономистъ, 2009. - 521с.

.        Семенихин В.В. Аналитический учет МПЗ / "Новое в бухгалтерском учете и отчетности", 2011, N 11

.        Семенихин В.В. Торговля: реализация товаров в оптовой торговле / "Налоги" (газета), 2011, N 43

.        Сергеев И. В. Экономика организации (предприятия). - М.: Финансы и статистика, 2010. - 278 с.

.        Сухарев И. О нормативном регулировании бухгалтерского учета / "Финансовая газета", 2013, N 11

.        Тихонов Е.И. Аудит МПЗ по правилам / "Учет.Налоги.Право", N 20, 2009

.        Тумасян Р.З. Бухгалтерский учет: учебно-практическое пособие / Р.З.Тумасян.-5-е изд., перераб.и доп.-Москва: Омега-Л, 2010.-794с.

.        Федорович В. Бухгалтерский учет микропредприятий / "Практический бухгалтерский учет", 2013, N 8

.        Шеремет А.Д. Комплексный анализ хозяйственной деятельности: Учебник для вузов. М.: ИНФРА-М, 2011. 416 с.;

.        Шишкоедова Н.Н. Продажа товаров по посредническому договору / "Торговля: бухгалтерский учет и налогообложение", 2013, N 1

Приложение

Бухгалтерский баланс


Местонахождение (адрес) 614000, г.Пермь, ул.Шоссе Космонавтов, 27А

Форма 0710001 с. 2


Отчет о финансовых результатах



Форма 0710002 с. 2


Отчет о прибылях и убытках


Форма 0710002 с. 2


Утверждено приказом № 322 от 31.12.2013 г.

ГРАФИК ДОКУМЕНТООБОРОТА ИП ИСАЕВ Р.И.