У тому ж році він задумав написати книгу з математики , яка представляла б енциклопедію усього відомого в арифметиці і алгебрі.
Зокрема, у праці Дж. Кардано «Велике мистецтво, або правила алгебри» (1545) викладено повну теорію розв’язування кубічного рівняння x3 + ax2 + bx + c = 0 і подано спосіб розв’язування рівняння четвертого степеня виду x4 + ax2 + bx + c = 0.
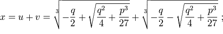
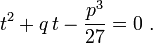
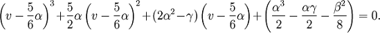
Розглянемо рівняння третього степеня:
Зробимо в цьому рівнянні заміну змінної: x = u +
v, ввівши дві невідомі u і v отримаємо:
Згрупуємо:
Підчиним тепер невідомі u і v умові:
Т
оді попереднє рівняння буде вигладяти:
Отже, для визначення невідомих величин u і v ми
отримали систему рівнянь:
Піднесемо останній вираз до кубу:
Дві отриманих рівності, що зв'язують u3 і v3
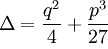
дозволяють стверджувати, що ці величини є розв’язанням квадратного рівняння:
Вираз:
називається дискримінантом кубічного кореня.
Розв’язавши квадратне рівняння, отримаємо:
Отже, маємо формулу для розв’язання рівння:
вона називається формулою Кардано.
Формула Кардано є не дуже зручною для практичних
обчислень. Справа в тому , що корінь кубічний з комплексного числа приймає три
різних значення. Розв’язання ж, представлене формулою Кардано, має в правій
частині комбінацію з двох кубічних коренів. Таким чином , отримуємо 9 всіляких
комбінацій із значень коренів кубічних. З іншого боку, основна теорема вищої
алгебри стверджує , що кубічне рівняння повинно мати тільки три розв’язання.
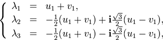
Для того, щоб встановити відповідність між значеннями u і v, звернемося до
умови uv = - p / 3. Згідно з цією умовою , завдання значень для u дозволить
однозначно відновити v. Нехай
якесь одне з трьох можливих значень кореня
кубічного. Два значення кореня, які залишилися виходять якщо домножити u1 на
корені кубічні з одиниці
При
Якщо взяти
То розв’язання кубічного рівняння можна виразити
в виді комбінації та
:
Остаточно отримуємо формули для обчислення коренів:
Де - одне із значень кореня кубічного, а
пов'язано з ним співвідношенням
.
Книга Дж. Кардано «Велике мистецтво» присвячена розв’язуванню рівнянь.
Відкрив метод розв’язку рівнянь четвертого степеня 23-річний учень Дж. Кардано - Луиджі Феррарі (1522 - 1565), який назвав себе «творінням його величності синьйора Ієроннімо».
Про Феррарі відомі небагато. Він родом із Болонії, де його батько був вбитий французами. Маленькій Луіджі поневірявся по кріїні і заробляв собі на життя тим, що гарно писав (в ті часи, це була велика рідкість), і якимсь чином потрапив в Мілані в дім Кардано. Обдарований хлопець, який дуже полюбляв полюбляв навчання із задоволенням прийняли. Феррарі швидко засвоїв латинський та грецьку мови, збагатив свої знання з математики, після чого став допомагати Кардано оформляти книги.
Луіджі Феррарі
<#"732227.files/image043.gif">
і додамо її до рівняння (1), отримаємо
Це було зроблено для того, щоб замість u4 отримати повний квадрат: (u2 + α)2. Другий доданок, αu2 не зник, проте його знак замінився на протилежний і він перемістився на інший бік рівняння.
Наступним кроком є введення нової змінної y до
повного квадрата у рівнянні (2), і перенесення 2y разом з коефіцієнтом u2 до
правої частини. Отримаємо тотожну рівність, яку ми потім додамо до рівняння (2)
також розглянемо очевидну рівність
Додамо дві останні рівності, отримаємо
Додавши цю рівність до (2), отримаємо
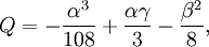
Ця рівність еквівалентна
Виберемо змінну y так, щоб у правій
частині рівності (3) утворився повний квадрат. Це станеться, якщо дискримінант
<#"732227.files/image050.gif">
Квадратична функція з правого боку
нерівності має три коефіцієнти. Можна переконатися, що квадрат другого з них
мінус почетверений добуток першого на третього дасть нуль:
Тому, для того, щоб перетворити
праву частину рівняння (3) на повний квадрат, потрібно розв'язати щодо
параметра y таке рівняння:
Виконаємо множення і зведемо подібні
доданки при y,
Поділимо обидві частини на −4,
і перенесемо −β2/4 у праву
частину,
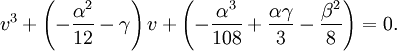
Маємо кубічне рівняння
<#"732227.files/image055.gif">
Перетворення похідного кубічного рівняння до канонічного вигляду
Рівняння (4) є похідним кубічним рівнянням від
рівняння четвертого степеня. Щоб його розв'язати, потрібно привести його до
канонічного вигляду. Зробимо заміну
Рівняння (4) набуває вигляду
Розкриємо дужки:
Зведемо подібні доданки при степенях v,
врахувавши, що коефіцієнт при v2 дорівнює нулю і цей доданок знищується,
Ми отримали канонічне кубічне рівняння.
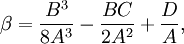
Перепозначимо його коефіцієнти,
Отримаємо рівняння:
Розв'язання похідного кубічного рівняння
Розглянемо питання про розв'язання (нас задовольнить будь-який розв'язок) рівняння (5).
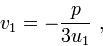
Позначимо:
(взято з кубічне рівняння
<#"732227.files/image064.gif">
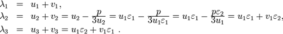
Можна показати, що мають місце
залежності
:
:
Видобування кореня з обох частин і завершення розв'язування
Розглянемо схему згортання повного квадрата:
Вона є вірною для обох знаків квадратних коренів, якщо їх брати однаковими. Ми не будемо писати власне знак ±, оскільки це викликатиме певні труднощі, зважаючи на те, що далі вживатимуться інші знаки ±, які виникнуть потім. Натомість, поряд з цим знаком ми будемо ставити індекс, що являтиме собою змінну, знак якої береться до уваги.
Зважаючи на це, ми отримаємо:
Зауваження: Якщо β ≠ 0 тоді α + 2y ≠ 0. А якщо β = 0, то ми отримаємо біквадратне рівняння, що було розглянуте вище.
Зважаючи на це (3) перетворюється
на:
.
Рівність (7) містить лише повні квадрати: один у лівій частині і один - у правій.
Якщо квадрати двох виразів рівні, то
і самі вирази рівні або відрізняються лише знаком, тобто:
.
Зведемо подібні доданки при u:
.
Зауваження: Знаки s, що фігурують у фомулі як і є величинами залежними.
Рівняння (8) є квадратним
рівнянням
<#"732227.files/image072.gif">
Або, після спрощення
Це розв'язок канонічного квадратного
рівняння. Розв'язок вихідного рівняння можна подати у вигляді
Важливо: Два знаки отримані з рівняння (7') є залежними, тому являють собою один і той самий знак, а знак - незалежний.
Підсумки методу Феррарі
Розв'язок рівняння четвертого
степеня
знаходиться після проведення обчислень:
Якщо то доречно розв'язувати і
підстановкою знаходити корені
.
, (підходять обидва знаки квадратного
кореня
<#"732227.files/image082.gif">, (в цього рівняння існують три
комплексні корені, будь-який з них нас задовольнить)

Два символи ±s повинні мати однакові
знаки, а символ ±t - незалежний. Щоб знайти всі корені, треба знайти значення x
для всіх комбінацій символів ±s,±t: спочатку тореба розв'язати для випадку +,+
, потім для +,− , далі - для −,+ і наостанок - для −,−.
Корінь подвійної кратності ми отримаємо двічі, потрійної - тричі, а корінь
кратності чотири - чотири рази (щоправда, у цьому випадку у нас був би випадок,
коли β = 0, який
не є загальним, а призводить до біквадратного рівняння
<#"732227.files/image086.gif">-го степеня
має комплексних коренів
<#"732227.files/image087.gif">, та -
трансцендентне над
, і так далі
до що трансцендентне над
.
Позначимо тоді:
Відкривши дужки, отримаємо що є симетричною функцією <#"732227.files/image091.gif">
і так далі до
Кожна перестановка групи означає
автоморфізм на що залишає нерухомим та переставляє Оскільки від перестановки
коренів многочлен не змінюється, отже
також є нерухомим, отже утворює групу
Галуа
Єдиним розкладом є
(де - альтернативна група
<#"732227.files/image097.gif">) не є абелевою
групою <#"732227.files/image098.gif">
б) функції такі, що для будь-яких k
і l знайдеться таке m , що
Виявилося , що для розв'язання
рівняння в радикалах досить виконання ще однієї умови : для будь-яких k і l
Іншими словами , потрібно , щоб не
мало значення , підставимо ми
З тих пір сукупності перетворень , результат послідовного виконання яких не залежить від порядку ви - виконуваних перетворень , називають Абелеві (або комутативними ) .
При вивченні еліптичних функцій і
інтегралів Абель широко використовував теорію статечних рядів. Статечним рядом
називається вираз виду
Він довів , що безліч значень х , для яких сходиться ряд
+ a1x + ... + Anx + ... ,
є або проміжком виду ] - l , l [ (де l може також дорівнювати нулю або нескінченності ) , або таким же проміжком , до якого приєднані один або обидва кінці. Він довів , що на проміжку збіжності степеневий ряд можна почленно диференціювати й інтегрувати і досліджував поведінку суми ряду при наближенні х до кінців проміжку збіжності . Всі ці результати відразу після їх опублікування стали класичними і увійшли в усі курси вищої математики .
Описаний коло ідей Абель розробляв
протягом 1824-1826 років, коли , закінчивши університет , відправився за кордон
для продовження освіти. Він побував у Німеччині , Австрії , Італії , Швейцарії
, Франції , Бельгії , познайомився з Якобом Штейнером , Андрієнн Лежандром ,
Огюстеном Коші і багатьма іншими математиками.
III. ПРАКТИКО-МЕТОДОЛОГІЧНИЙ МАТЕРІАЛ
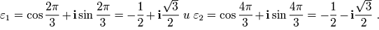
Приклад 1. Розв’язати рівняння:
.
Запишемо рівняння:
чи
чи
чи
.
Приклад 2. Розв’язати рівняння:
Під знаком кореня - повний квадрат
Знаходимо ОДЗ:
З першої системи знаходимо
. Корінь
-
сторонній.
З другої системи знаходимо
.
Корінь
-
сторонній.