Проблеми прийняття рішень і поведінка особи, яка приймає ці рішення, останнім часом заслуговують дедалі більшої. Це зумовлено зростаючим динамізмом навколишнього інформаційного середовища, збільшенням взаємопов'язаності багатьох рішень, різким темпом науково-технічного прогресу. Керівники, приймаючи рішення, мають справу зі складним вибором та необхідністю генерування і розгляду множини альтернативних варіантів дій. Дія оцінки варіантів використовуються знання спеціалістів, складні аналітичні розрахунки, наукові дослідження, системи й засоби сучасної інформаційної технології.
Прийняття рішень не
є одномоментний акт. Г. Саймон [149] виділяє у ньому три етапи: пошук
інформації, пошук і знаходження альтернатив і вибір кращої альтернативи. Взявши
за основу класифікацію етапів процесу прийняття рішень за Г. Саймоном, доцільно
сформувати їх так: етап цілевиявлення: етап розробки і прийняття рішень; етап
організації і контролю. На першому етапі збирається вся доступна на момент
прийняття рішення інформація: фактичні дані, думка експертів. Там, де це
можливо, будуються математичні моделі; проводяться соціологічні опитування;
визначаються погляди на проблему зі сторони фахівців, що впливають на її
вирішення.
Рис. 1.1.
Структурна схема підготовки і прийняття рішень
Другий етап пов'язаний з визначенням варіантів рішень (альтернатив). Третій цього процесу (цілевиявлення, розробка і прийняття рішень, організація виконання й контроль) стають дедалі актуальнішими (рис. 1.1). етап включає в себе порівняння альтернатив, вибір найкращого варіанту (варіантів) рішення і контроль реалізації рішень. Питання підтримки рішень на всіх стадіях
Фактично проблема полягає в моделюванні й автоматизації на цій підставі творчої частини праці відповідальної групи працівників організаційного управління - керівників усіх рангів і осіб, які приймають рішення, в реальних умовах їх діяльності.
Проблеми прийняття рішень в організаційному управлінні є унікальними й нестандартними, але вони в своїй ситуаційній основі мають загальні риси [39; 94]:
1 неповторність ситуації вибору:
2 складний для оцінки характер альтернатив, що розглядаються;
3 недостатня визначеність наслідків дій (невизначеність післядій):
4 наявність сукупності різнорідних факторів, які необхідно враховувати під час прийняття рішень;
5 наявність особи або групи осіб, які несуть відповідальність за прийняття рішень.
Типові задачі прийняття рішень
З наведених раніше етапів процесу прийняття рішень найбільша увага традиційно приділяється третьому етапові. За визнанням важливості пошуку інформації і виділення альтернатив йде розуміння того, що ці етапи, більшою мірою, неформалізовані. Способи проходження етапів залежать не тільки від змісту задачі прийняття рішень, але й від досвіду, кваліфікації ОПР і її оточення. Хоча ці ж фактори присутні і при порівнянні альтернатив, тут їх роль значно менша. Науковий аналіз проблем прийняття рішень починається з моменту, коли хоча б частина альтернатив і/або критеріїв відома.
У сучасній науці про прийняття рішень центральне місце займають багатокритеріальні задачі вибору. Вважається, що врахування багатьох критеріїв наближує постановку задачі до реального життя. Традиційно прийнято розрізняти три основні задачі прийняття рішень.
1. Впорядкування альтернатив. Для низки задач є достатньо обґрунтованою вимога визначити порядок на множині альтернатив. Так, керівники підприємств впорядковують за прибутковістю об'єкти капіталовкладень, керівники банків впорядковують своїх клієнтів за розмірами їх вкладів тощо. У загальному випадку вимога впорядкування альтернатив означає визначення відносної цінності кожної з альтернатив.
2. Розподіл альтернатив за класами рішень. Такі задачі часто зустрічаються у повсякденному житті. Наприклад, групи товарів розрізняють за якістю.
3. Виділення кращої альтернативи. Ця задача традиційно вважалась однією з основних у прийнятті рішень. Вона часто зустрічається на практиці. Вибір інвестиційного проекту, вибір банку для розміщення депозиту тощо. Крім того, такі задачі розповсюджені у світі політичних рішень, де альтернатив порівняно небагато, але вони досить складні для вивчення та порівняння. Особливістю багатьох задач прийняття політичних рішень є конструювання нових альтернатив у процесі рішення проблем. Узгодженість інтересів ОПР і активних груп.
У зв'язку з цим розумна ОПР повинна вже на перших етапах вивчення проблеми виділити активні групи, оцінити за їхніми критеріями наявні альтернативи і спробувати знайти прийнятне для всіх рішення.
Зазначимо, що в
усіх практичних задачах необхідно проводити пошук рішення, що враховує як
інтереси ОПР, так і інтереси активних груп.
2. Практична частина
.1 Система змінних
Для запису математичної моделі введемо наступні позначення (змінні)
По умові задачі перша група змінних (х1-х8), позначає кількість агрегатів відповідного типу, що використовуються на роботах у агротехнічний період збору урожаю
х1 - МТЗ-82 та БМ-6 виконують Скошування гички;
х2 - ДТ-75М та БМ-6 виконують Скошування гички
х3 - Т-70С БМ-6 виконують Скошування гички
х4- МТЗ-82 РКС-6виконують Викопування коренеплодів
х5- ДТ-75М РКС-6виконують Викопування коренеплодів
х6- Т-70С РКС-6виконують Викопування коренеплодів
х7- МТЗ-82 ЕКВГ-1,4виконують Погрузка коренеплодів
х8- МТЗ-82 плоскоріз
виконують Плоскорізний обробіток
2.2 Система обмежень
Перша група обмежень забезпечує виконання заданих об’ємів робіт за 1 агротехнічний період. Так перше обмеження вказує, що з допомогою будь-якої комбінації агрегатів тракторів МТЗ-82 та БМ-6 необхідно обов’язково виконати скошування гички на площі 480 га:
х1+63 х2+86 х3=480
Коефіцієнти вказують виробничі характеристики агрегатів на скошуванні гички за весь період збору урожаю (га).
Друге обмеження - виконання викопування коренів:
х4+225 х5+108 х6=480
Третє обмеження - виконання погрузки коренеплодів:
х7=480
Четверте обмеження - виконання плоско різного обробітку:
х8=480
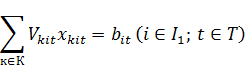
Математичний запис умов по
обов’язковому виконанню об’єму всіх сільськогосподарських робіт має вигляд:
Де κ- номер виду агрегату; К - множина, множина номерів видів агрегатів; і - номер обмеження по виконанню робіт; Іі множина номерів обмежень по обов’язковому виконанню заданих об’ємів робіт; t - номер розрахункового періоду виконання робіт; Т - множина номерів розрахункових періодів; xkit - змінна, яка позначає кількість агрегатів к-го виду, які виконують і-ту роботу в t-й період; Vkit -техніко-економічний коефіцієнт, що позначає потужність к-го агрегату, який виконує і-ту роботу за t-й період bit - константа, позначає заданий об’єм виконаної i-ї роботи в t-й період.
Друга група обмежень відображає баланс використання тракторів та сільськогосподарських машин різних марок за кожний період.
Так, восьме обмеження визначає, що наявні трактори марки ДТ-75М (2 шт) та придбані (х22) (1 шт) повинно бути не менше необхідної кількості для всіх працюючих в перший період агрегаті, у склад яких входить цей трактор
х1+9 х4+ 9х7+8х8 ≤ 60
Аналогічно будуємо запис умови по використанню трактора МТЗ-80
х2+9 х5 ≤ 60
Аналогічно будуємо запис умови по використанню трактора Т-40М
Х7+х9 ≤ 60
Наступні три обмеження аналогічні трьом попереднім - кількість борон, культиваторів і катків повинно забезпечувати всі агрегати в 1 періоді.
х1+ 2х2+3 х3 ≤ 60
х4+5х5+6 х6-х23≤ 30
Х7 ≤ 30
Х9 ≤ 60
Тут техніко-економічні коефіцієнти при змінних позначають кількість борон, культиваторів та котків, що входять до складу агрегату. Константи показують кількість наявних одиниць техніки відповідної марки.
Останні шість обмежень позначають собою баланс використання тракторів та машин у 2 періоді
По використанню ДТ-75М
х1+ х4+х7 + х8≤ 2
Придбання невистачаючих тракторів ДТ-75М відображається у змінній х22.
По використанню МТЗ-80 та Т-40М:
Х2+ 2х5 ≤ 2
Х3+ 2х6 ≤ 2
По використанню борони БЗТС-1,0, зернових сіялок С3-3,6 та картоплесаджалок СН-4Б-1.
Х7 ≤1
Х8≤ 1
Запис обмежень по використанню тракторів та сільськогосподарських машин по марках та періодах в моделі оптимізаці
ї доукомплектування машино-тракторного парку має наступний вигляд:
Де yi - кількість
тракторів та машин i-ї марки; Dj- константа, відображає наявність у
господарстві техніки j-ї марки; lj
kit - техніко-економічний коефіцієнт,
який вказує кількість тракторів та машин j-ї марки, що входять до складу
агрегату k-го виду, який виконує i-ту роботу за t-й період. Ця група обмежень в
модулі оптимального комплектування машино-тракторного парку має вигляд:
Як видно, у запису відсутні змінні
щодо вибування машин yi та немає константи, яка вказує наявність
техніки j-ї марки. Тому змінна xj позначає повну потребу
підприємства в техніці j-ї марки. Математичний запис обмежень по балансу
техніки за марками на кожен період в модулі оптимізації використання парку має
вигляд
Або у випадку відсутності змінних yi
по кількості техніки j-ї марки, яка списується.
Як видно, в моделі оптимізації використання машинно-тракторного парку відсутні змінні xj позначає придбання тракторів та сільськогосподарських машин j-ї марки.
В моделі також може бути присутня
третя група обмежень - по виконанню технологічно пов’язаних робіт у визначеній
послідовності.
Де l - індекс взаємозв’язаних між собою робіт по строкам та способам виконання; L - множина, яка включає номера обмежень по технологічно пов’язаним роботам; al(l+1) - коефіцієнт об’ємів робіт l та l+1.
Якщо одна з робіт з номером l, наприклад скошування зеленої маси кукурудзи вимірюється в га, а наступна - перевезення зеленої маси - в ц, то коефіцієнт al(l+1)
Буде мати розмірність ц/га.
Потреба введення в модель третьої
групи обмежень виникає, коли окремі види робіт можуть виконуватись не в один, а
за декілька періодів. В цьому випадку першу групу обмежень записують так:
Четверта група обмежень в будь-якій
моделі оптимізації машино-тракторного парку та його використання - це
невід’ємність змінних величин:
Цільова функція
В якості критерію оптимальності використовується мінімум затрат. Цільова функція по даному критерію буде мати вигляд:(x)=70x1+63x2+86,8x3+x4+x5+x6+x7+x8®min
Коефіцієнти цільової функції при змінних, які позначають кількість агрегатів, вказують поточні експлуатаційні затрати, а при змінних, які позначають кількість придбаних тракторів та автомобілів, - добуток балансової вартості на нормативний коефіцієнт ефективності (0,15). Повністю модель оптимальної доукомплектації иашино-тракторного парку наведена в таблиці.
Запис цільової функції моделі
оптимізації доукомплектації машино-тракторного парку має наступний вигляд:
Математичний запис цільової функції
моделі оптимізації комплектування машино-тракторного парку має деякі
відмінності:
Тобто відсутні змінні по вибуванню (списанню техніки).
Для моделі оптимізації використання
машино-тракторного парку запис цільової функції буде мати вигляд:
Тобто порівняно з моделлю доукомплектації відсутні змінні по докупці тракторів (машин).
Задачі по оптимізації складу
машино-тракторного парка та його використання можуть бути реалізовані не тільки
симплексним, але й розподільним методом лінійного програмування.
2.3 Розрахунок МТП, реалізований за
допомогою табличного процесора EXCEL
Обсяг робіт у періоді Збирання врожаю по культурі цукрового буряка
|
Вид роботи |
Цукровий буряк |
|
|
|
|
|
Загальні площі |
Агротехнічні періоди, дні |
|
|
|
|
|
|||||||||||||
|
Скошування гички |
480 |
|
|
|
|
|
480 |
7 |
|
|
|
|
|
|||||||||||||
|
Викопування коренплодів |
480 |
|
|
|
|
|
480 |
9 |
|
|
|
|
|
|||||||||||||
|
Погрузка коренеплодів |
480 |
|
|
|
|
|
480 |
9 |
|
|
|
|
|
|||||||||||||
|
Плоскорізний обробіток |
480 |
|
|
|
|
|
480 |
8 |
|
|
|
|
|
|||||||||||||
|
Скошування гички |
МТЗ-82 |
2 |
БМ-6 |
2 |
10 |
14 |
14 |
196 |
3,97 |
7 |
27,79 |
223,79 |
||||||||||||||
|
|
ДТ-75М |
2 |
БМ-6 |
|
9 |
14 |
|
196 |
4,41 |
|
30,87 |
226,87 |
||||||||||||||
|
|
Т-70С |
2 |
БМ-6 |
|
12,4 |
15,6 |
|
218,4 |
3,2 |
|
22,4 |
240,8 |
||||||||||||||
|
Викопування коренплодів |
МТЗ-82 |
2 |
|
1 |
32 |
8 |
|
112 |
1,07 |
|
7,49 |
119,49 |
||||||||||||||
|
|
ДТ-75М |
2 |
РКС-6 |
|
25 |
6,7 |
|
93,8 |
1,37 |
|
9,59 |
103,39 |
||||||||||||||
|
|
МТЗ-82 |
2 |
РКС-6 |
|
12 |
4 |
|
56 |
2,28 |
|
15,96 |
71,96 |
||||||||||||||
|
Погрузка коренеплодів |
МТЗ-82 |
0 |
ЕКВГ-1,4 |
1 |
32 |
2,5 |
|
35 |
0,75 |
|
5,25 |
40,25 |
||||||||||||||
|
Плоскорізний обробіток |
МТЗ-82 |
5 |
плоскоріз |
1 |
30 |
1,6 |
|
22,4 |
0,8 |
|
5,6 |
28 |
||||||||||||||
|
|
|
х1 |
х2 |
х3 |
х4 |
х5 |
х6 |
х7 |
х8 |
|
|
|
|
|||||||||||||
|
Скошування гички |
га |
70 |
63 |
86,8 |
|
|
|
|
|
683,2 |
>= |
480 |
Обмеження по площах посівів |
|||||||||||||
|
Викопування коренеплодів |
га |
|
|
|
288 |
225 |
108 |
|
|
777,72 |
>= |
480 |
|
|||||||||||||
|
Погрузка коренеплодів |
га |
|
|
|
|
|
|
288 |
|
0 |
>= |
480 |
|
|||||||||||||
|
Плоскорізний обробіток |
га |
|
|
|
|
|
|
|
240 |
0 |
>= |
480 |
|
|||||||||||||
|
МТЗ-82 |
дні |
7 |
|
|
9 |
|
|
9 |
8 |
21 |
<= |
60 |
Обмеження по періоду весняних робіт (30 днів) |
|||||||||||||
|
ДТ-75М |
дні |
|
7 |
|
|
9 |
|
|
|
41 |
<= |
60 |
|
|||||||||||||
|
Т-70С |
дні |
|
|
7 |
|
|
9 |
|
|
36,56 |
<= |
60 |
|
|||||||||||||
|
БМ-6 |
дні |
2 |
2 |
2 |
|
|
|
|
|
|
<= |
60 |
|
|||||||||||||
|
РКС-6 |
дні |
|
|
|
1 |
1 |
1 |
|
|
|
<= |
30 |
|
|||||||||||||
|
ЕКВГ-1,4 |
дні |
|
|
|
|
|
|
1 |
|
|
<= |
30 |
|
|||||||||||||
|
плоскоріз |
дні |
|
|
|
|
|
|
|
1 |
0 |
<= |
60 |
шт |
1 |
|
|
|
|
|
|
|
3 |
<= |
2 |
Обмеження по кількості тракторів |
|
|
ДТ-75М |
шт |
|
1 |
|
|
|
|
|
|
2 |
<= |
2 |
|
|||||||||||||
|
Т-70С |
шт |
|
|
1 |
|
|
|
|
|
4 |
<= |
2 |
|
|||||||||||||
|
БМ-6 |
шт |
1 |
1 |
1 |
|
|
|
|
|
9 |
<= |
2 |
Обмеження по кількості обладнання |
|||||||||||||
|
РКС-6 |
шт |
|
|
|
1 |
|
|
|
|
0 |
<= |
1 |
|
|||||||||||||
|
ЕКВГ-1,4 |
шт |
|
|
|
|
1 |
1 |
|
|
3,951111 |
<= |
1 |
|
|||||||||||||
|
плоскоріз |
шт |
|
|
|
|
|
|
1 |
|
0 |
<= |
1 |
|
|||||||||||||
|
|
грн |
223,79 |
226,87 |
240,8 |
119,49 |
103,39 |
71,96 |
40,25 |
28 |
|
|
|
|
|||||||||||||
|
Кількість зв'язок даного типу |
3 |
2 |
4 |
0 |
3 |
0,951111 |
0 |
0 |
|
|
|
|
||||||||||||||
|
Витрати |
671,37 |
453,74 |
963,2 |
0 |
310,17 |
68,44196 |
0 |
0 |
|
|
|
|
||||||||||||||
|
|
|
2466,922 |
|
|
|
|
|
|
|
|
|
|
|
|||||||||||||