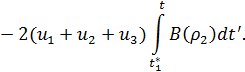
Аналогично случаю а), можно вычислить значение
из
условия столкновения фронтов
и
:
в).
.
После второго столкновения уже фронты
и
сливаются
воедино и затем движутся вместе как единый фронт:
.
В связи с этим система принимает следующий вид:
Решение системы:
На любом интервале вида
,
где
-
достаточно малые положительные константы, не зависящие от
,
при
,
а значит, по свойствам функции переключения,
Значение
из
условия столкновения фронтов
и
:
При
,
где
-
достаточно малая положительная константа, не зависящая от
,
при
,
а значит все три фронта сливаются в единый фронт
и,
аналогично задаче с двумя фронтами,
Замечание 2.Как было отмечено в замечании к
предыдущему разделу, корректным было бы в качестве
брать
,
где
-
времена попарных столкновений фронтов до -го (но после
-го)
взаимодействия,
пробегают все пары
соседних фронтов,
. При этом если,
например, первое столкновение случается на паре фронтов, отличающейся от
,
то в формулах номера 1 и 2 меняются на соответствующие; общий смысл выкладок в
любом случае остаётся таким же.
Рассмотрим простую иллюстрацию.
Пусть в условиях задачи Коши дополнительно выполнено:
.
Тогда вид системы упрощается:
Легко видеть, что в этом случае
,
поэтому выбор
зависит от
особенностей начального условия
. Неявно
предполагалось, что гладкая верхняя огибающая этой функции является всюду
выпуклой, поэтому с ростом
растёт и
,
а значит
.
Анализ задач Коши для двух и трёх фронтов
позволяет перейти к решению задачи Коши для произвольного числа фронтов
.
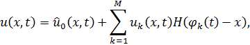
Решение задачи Коши со ступенчатой функцией в
качестве начального условия
Хорошо известно, что любая измеримая ограниченная функция может быть приближена сходящейся почти всюду последовательностью ступенчатых функций. Поэтому рассмотрение задачи этого раздела позволяет исследовать решение задачи Коши с произвольным начальным условием, являющимся измеримой и ограниченной функцией.
Рассмотрим задачу Коши для уравнения Хопфа для
произвольного числа фронтов:
где
-
положительные константы,
. Для упрощения
выкладок дополнительно предположим, что
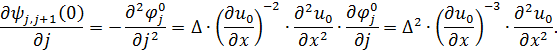
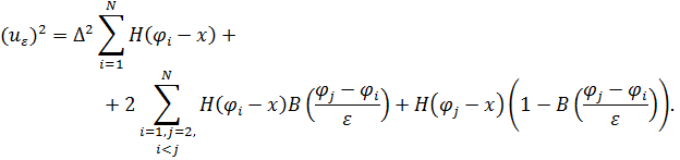
Вид слабой асимптотики:
Воспользовавшись асимптотическими формулами для
произведения функций Хевисайда, выпишем приближенное выражение для
После подстановки полученного выражения в
уравнение Хопфа и вычисления соответствующих производных, приравняв к нулю
соответствующие множители при дельта-функциях, получим систему уравнений для
:
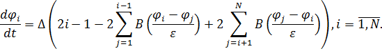
Перепишем полученную систему в терминах
.
Для любой пары
справедливо
поэтому общий вид системы в терминах
следующий:
Дальнейшие действия представляют собой
индуктивный процесс, обобщающий метод, использованный в предыдущих задачах, на
случай произвольного числа фронтов
.
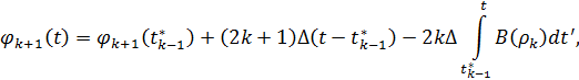
Пусть
-
моменты первого столкновения фронтов после уже случившихся
столкновений,
,
и пусть
(см.
замечания к предыдущим разделам). Временная ось разбивается с помощью
на
промежутков,
в каждом из которых фактически решается задача для двух фронтов.
(
).
На этом интервале,в пределе
для
для
,
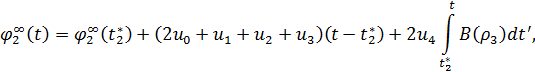
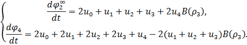
поэтому система вырождается в следующую:
![]()
![]()
где
-
фронт, возникший после слияния первых
фронтов
(
).
Результат прямого интегрирования системы на
каждом из таких интервалов:
По свойствам функции переключения, на любом
строго вложенном в
интервале
интегральные части равны
, откуда и следуют
окончательные выражения для
и
:
Значения
можно
получить из рекуррентного соотношения, получаемого из условия равенства
соответствующих
и
в
этот момент:
На оставшейся полупрямой
,
при условии сколь угодно малого, но конечного отдаления от границы
,
все
изначальных
фронтов сливаются воедино, после чего, аналогично случаю двух фронтов,
Замечание 3.В замечании 2 к предыдущему разделу
было показано, что в случае четырёх фронтов времена первых попарных
столкновений задаются формулой
где
Очевидным
образом эта формула обобщается и на случай
фронтов.
Покажем подробнее, почему выпуклость гладкой верхней огибающейфункции
(назовём
её
)
позволяет говорить о равенстве
.
Далее в рассуждениях будет фигурировать
производная по
. Поскольку
-
не непрерывная, а целочисленная переменная, то на самом деле подразумевается
три действия: замена
на непрерывный
параметр
,
взятие производной по
и возврат к
старому обозначению
.Соотношения при
этом остаются такими же, как если бы
было непрерывным
параметром.
Обозначим
как
функцию
.
Так как в точках
функция
совпадает
со своей огибающей, то справедливо равенство
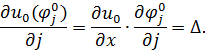
Вычислим производную
по
как
производную сложной функции:
Отсюда следует, что
поскольку
убывает
с ростом
согласно
начальному условию, а значит и её огибающая тоже убывает с ростом
.
Таким образом,
убывает с ростом
.
В свою очередь,
а значит

Если же, к примеру,
-
всюду вогнутая функция, то
, наоборот, убывает
с ростом
,
и процесс решения задачи Коши следует проводить, обратив порядок фронтов.
Вариант наличия точек перегиба функции
более
сложен и заслуживает отдельного рассмотрения.
Теорема о структуре глобального решения
Справедлива теорема о глобальной разрешимости задачи Коши для уравнения Хопфав классе кусочно-дифференцируемых функций. Продемонстрируем схему её доказательства и выясним общий вид решения.
Теорема 1.Рассмотрим задачу Коши для уравнения
Хопфа:
Пусть
обладает
следующими свойствами:
где
-
пространство непрерывных функций,
-
пространство кусочно-дифференцируемых функций.
Тогда задача Коши имеет решение вида
где
,
-функция
Хевисайда.
Схема доказательства основывается на уже изученном процессе последовательного слияния фронтов-скачков во время эволюции ступенчатой функции-решения задачи Коши для уравнения Хопфа, а также на том факте, что измеримая ограниченная функция может быть приближена последовательностью ступенчатых функций.
Пусть исходная функция
является
пределом некоторой последовательности ступенчатых функций, начальные высоты
всех ступенек равны
, и
получается
при стремлении
к нулю. Тогда
после перехода к пределу и завершения слияния останется не более чем конечное
число скачков, дающих видимый макроскопический вклад в форму
.
Покажем это.