можно заключить, что
,
а значит
б).
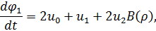
После
взаимодействия
, а
,
поэтому
и окончательно
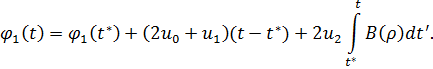
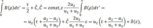
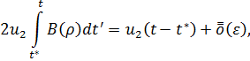
Теперь проведём процедуру прямого интегрирования
исходного уравнения для
, начиная с момента
взаимодействия:
Так как
,
то
,
а на этой полупрямой
и можно приблизить
следующим
образом:
В связи с этим справедлива следующая цепочка
равенств:
Полностью аналогичным образом можно получить и
выражение для
.
Решение задачи Коши для трёх фронтов методом
прямого интегрирования
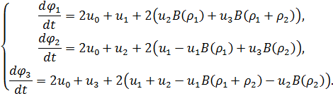
Рассмотрим аналогичную задачу Коши для уравнения
Хопфа:
где
-
положительные константы,
. Вид слабой
асимптотики:
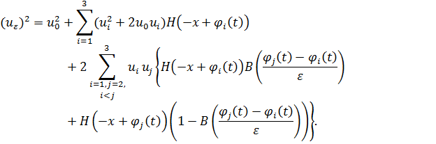
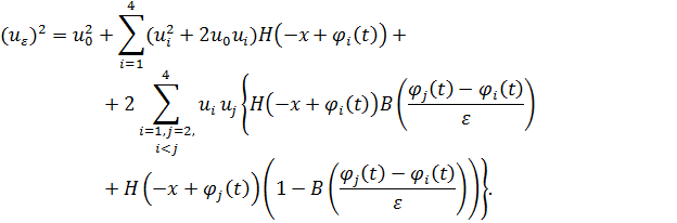
Воспользовавшись асимптотическими формулами для
произведения функций Хевисайда, выпишем приближенное выражение для

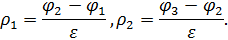
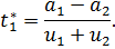
Аналогично предыдущей задаче, введём
вспомогательные параметры
и
-
моменты столкновения (взаимодействия) первого фронта со вторым и второго с
третьим соответственно:
Предположим,что
.
Проведём прямое интегрирование системы на каждом из временных интервалов,
задаваемых
и
а).
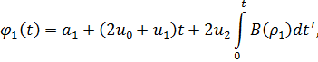
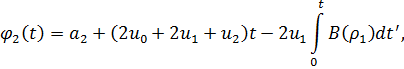
На
этом интервале
при
поэтому
и,с
учётом того, что
, формулы для
и
принимают
следующий вид:


На всех интервалах вида
,
где
-
достаточно малая положительная константа, не зависящая от
,
при
,
а значитпо свойствам функции переключения
Таким образом можно выписать явный вид
,
совпадающий с видом
из задачи для двух
фронтов:
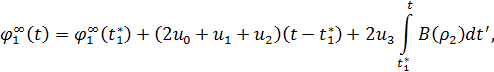
б).
После
столкновения первый и второй фронты сливаются воедино и затем движутся вместе
как единый фронт:
. В связи с этим
система принимает вид
Вычтя почленно первое уравнение из второго,
можно получить стационарное уравнение для
,
подобное стационарному уравнению для
из
задачи для двух фронтов:
Проведя подходящую замену переменных, т.е.
перейдя к правильным образом приведённому расстоянию между фронтами
и
,
можно получить вид стационарного уравнения для
,
идентичный оному для
:
Подходящим приведённым расстоянием будет
являться следующее:
Решение системы выглядит следующим образом:

На любом интервале вида
,
где
-
достаточно малая положительная константа, не зависящая от
,
при
,
а значит, согласно свойствам функции переключения,
Аналогично случаю а), можно вычислить значение
из
условия столкновения фронтов
и
:
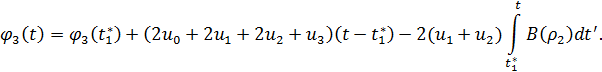
При
,
где
-
достаточно малая положительная константа, не зависящая от
,
при
,
а значит все три фронта сливаются в единый фронт
и,
аналогично задаче с двумя фронтами,
Замечание 1.В начале рассуждений было
предположено, что
Фактически это
означает, что первый и второй фронты сталкиваются раньше, чем второй с третьим.
На самом деле это далеко не всегда так, и более корректным было бы обозначить
,
где
-
времена попарных столкновений всех фронтов до первого взаимодействия,
пробегают
все возможные пары соседних фронтов. Используемое в указанных выше рассуждениях
,
таким образом, на самом деле является
-наименьшим
среди времён попарных столкновений фронтов послепервого взаимодействия, и
вообще говоря не обязано совпадать с гипотетическим временем независимого
столкновения второго и третьего фронтов. Однако, использовавшееся в вычислениях
неявное предположение
делает
рассматриваемый пример более наглядным, хоть и не отображает всей полноты возможностей;
все указанные формулы, в том числе и для
,
остаются верными при выполнении этого предположения.
В дальнейших примерах следует помнить, что все
промежуточные времена столкновений на самом деле являются
-
наименьшими временами попарных столкновений фронтов до -го (но после
-го)
взаимодействия.
Кроме того, ни здесь, ни далее не
рассматривается такая вполне реальная ситуация, как столкновение трёх и более
фронтов одновременно. Рассмотрение этого случая, без сомнения, интересно, но
всё же выходит за рамки данной работы.
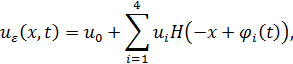
Решение задачи Коши для четырёх фронтов методом
прямого интегрирования
Рассмотрим ещё одну задачу Коши для уравнения
Хопфа:
где
-
положительные константы,
. Вид слабой
асимптотики:
Воспользовавшись асимптотическими формулами для
произведения функций Хевисайда, выпишем приближенное выражение для
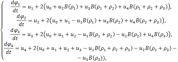
После подстановки полученного выражения в
уравнение Хопфа и вычисления соответствующих производных, приравняв к нулю
соответствующие множители при дельта-функциях, получим систему уравнений для
:
Аналогично предыдущей задаче, введём
вспомогательные параметры
,
и
-
моменты столкновения (взаимодействия) первого фронта со вторым, второго с
третьим и третьего с четвёртым соответственно:
Предположим, что
.
Проведём прямое интегрирование системы на каждом из временных интервалов,
задаваемых
,
и
.
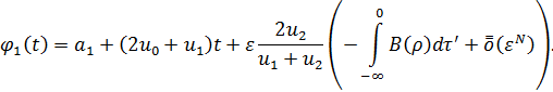
а).
На
этом интервале
при
поэтому
и,
с учётом того, что
, формулы для
и
принимают
следующий вид:


![]()
На всех интервалах вида
,
где
-
достаточно малая положительная константа, не зависящая от
,
при
,
а значитпо свойствам функции переключения
![]()
Таким образом можно выписать явный вид
из
условия столкновения двух фронтов:
б).
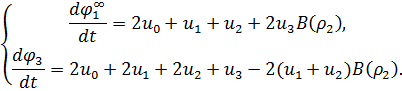
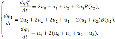
После
столкновения первый и второй фронты сливаются воедино и затем движутся вместе
как единый фронт:
. В связи с этим
система принимает следующий вид:
Вычтя почленно первое уравнение из второго,
можно получить стационарное уравнение для
,
подобное стационарному уравнению для
из
задачи для двух фронтов:
Проведя подходящую замену переменных, т.е.
перейдя к правильным образом приведённому расстоянию между фронтами
и
,
можно получить вид стационарного уравнения для
,
идентичный оному для
:
Подходящим приведённым расстоянием будет
являться следующее:
Решение системы выглядит следующим образом:
На любом интервале вида
,
где
-
достаточно малые положительные константы, не зависящие от
,
при
,
а значит, согласно свойствам функции переключения,