Содержание
Введение
Оценки функции переключения
Слабые асимптотики произведения функций Хевисайда
Решения задачи Коши для двух фронтов методом прямого интегрирования
Решение задачи Коши для трёх фронтов методом прямого интегрирования
Решение задачи Коши для четырёх фронтов методом прямого интегрирования
Решение задачи Коши со ступенчатой функцией в качестве начального условия
Теорема о структуре глобального решения
Список
литературы
Введение
Проблема построения глобального по времени решения задачи Коши для нелинейных уравнений решается только в некоторых частных случаях - например, решения типа текущих волн. В общем случае можно сказать, что известны методы построения точных решений в случае, если задана структура этих решений. То же относится и к разностным схемам, возникающим при решении нелинейных задач.
С другой стороны, разностные схемы (т.е. вычисление значений функции на заданной сетке) тесно связаны с аппроксимацией функции ступенчатыми (кусочно-постоянными) функциями. Далее, ступенчатую функцию можно рассматривать как линейную комбинацию функций Хевисайда. Таким образом возникает следующий подход: рассматривать произвольное начальное условие (и, соответственно, решение) как предел линейной комбинации функций Хевисайда.
Именно этот подход и рассматривается в
предложенной работе.
Оценки функции переключения
Пусть
-
функция, принадлежащая пространству Шварца
и
удовлетворяющая следующим условиям:
1)
2)
где
-
некоторые положительные константы.
Здесь и далее под эквивалентностью двух функций на бесконечности понимается наличие предела их частного, не равного нулю.
В условиях достаточной гладкости
можно
показать, что для производной
при этом
справедливы аналогичные приближения:
В дальнейших рассуждениях точные значения
констант в асимптотиках нас будут интересовать мало, поэтому индексы
далее
опускаются.
Рассмотрим следующий интеграл от функции
и её производной, зависящий от параметра:
Будем называть эту функцию функцией переключения. Изучим поведение функции переключения на бесконечности. Для этого рассмотрим отдельно два варианта:
Проведём замену
в
подынтегральном
выражении,после чего опятьобозначим
через
.
Получим:
Так как
,
то во втором интеграле (где
) имеем
,
а значит, в силу свойств
,
где
и
- некоторые положительные константы. Таким образом,
где
-
некоторая константа.
Вернёмся к первому интегралу и проведём обратную
замену
.Получим:
Область полученного интеграла целесообразно разбить на две подобласти:
В подобласти интеграла
выполняется
неравенство
, а значит
при
и
верна асимптотика
. Таким образом
интеграл
удовлетворяет
следующим приближенным равенствам:
Поскольку
-
некоторое число, а при
переменная
интегрирования пробегает значения от 0 до бесконечности, то окончательно
интеграл
имеет
приближенно следующий вид:
В области интеграла
переменная
интегрирования стремится к бесконечности как на верхнем, так и на нижнем
пределе, потому применима оценка
,
а интеграл может быть оценен как
Воспользовавшись формулой Лейбница для
дифференцирования интеграла, зависящего от параметра, и правилом Лопиталя,
легко показать, что
Неинтегральные слагаемые после деления на
могут
быть приближеныконстантами на бесконечности.Интеграл
в
силу свойств
может принимать
следующие значения (и только их) на бесконечностив зависимости от поведения
:
,
,
.
Из этого следует, что в любом случае искомый
предел не превосходит многочлена первой степени от
,
а значит и весь интеграл
на бесконечности
можно оценить как
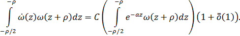
В этом случае
выполнено:
Во втором интеграле аналогичным первому случаю
образом имеем
откуда следует асимптотика для второго
интеграла:
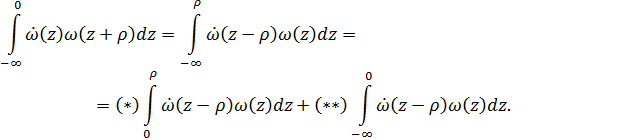
Первый интеграл, после уже известных замен,
разделяется на ещё два вспомогательных:
В области интеграла (**)
,
а
,
поэтому
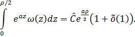
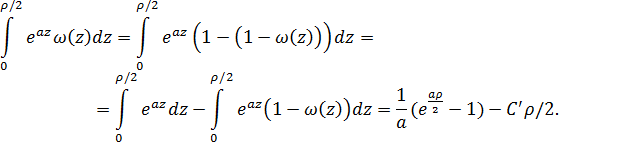
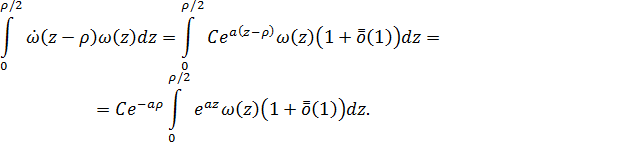
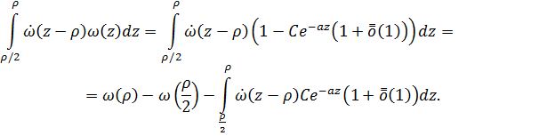
Область интеграла (*) целесообразно разбить надве подобласти:
В этой подобласти с
помощью уже продемонстрированных приближений получим:
Интеграл
можно
приблизить, воспользовавшись свойством
:
,
а значит
Поскольку
,
то экспоненциальная оценка довлеет над линейной, и можно окончательно записать
так:

Разность
очевидным
образом можно оценить как
, а оставшийся
интеграл (т.к.
)- как
.
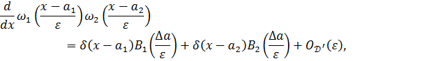
Слабые асимптотики произведения функций
Хевисайда
Пусть
-
некоторая функция, принадлежащая пространству Шварца
.
Рассмотрим функцию
. Учитывая, что
легко получить её слабую асимптотику:
Пусть теперь
-
две различные функции из пространства Шварца.Аналогичным образом можно получить
слабую асимптотику их произведения в симметрической форме:
Проведя аналогичную процедуру для пары функций
из
,
производные которых принадлежат пространству Шварца и пределы которых на
равны
нулю, а на
- единице, получим
Вычислив первообразную обеих частей равенства,
получим
В предположении, что
,
можно утверждать, что функции
являются
аппроксимациями (слабыми асимптотиками) функций Хевисайда
.
Таким образом, предыдущее равенство можно переписать в виде
Наконец, предположив, что
и
сделав соответствующие замены в аргументах, получим основную асимптотическую
формулу:
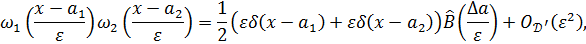
где
-
уже исследованная нами функция переключения; легко видеть также, что
,
при
при
.
Данная формула будет в дальнейшем использоваться при асимптотическом
приближении произведений функций Хевисайда.
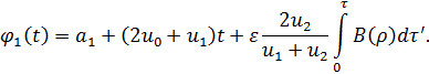
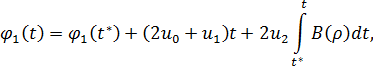
Решения задачи Коши для двух фронтов методом
прямого интегрирования
Рассмотрим задачу Коши для уравнения Хопфа:
где
-
положительные константы,
. Задача - найти
слабую асимптотику решения задачи Коши, представив её в нижеуказанном виде и
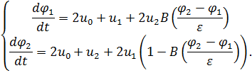
решив полученную после подстановки систему уравнений:
Вычислив слабую асимптотику
согласно
формуле асимптотики произведения функций Хевисайда и подставив все полученные
аппроксимации в уравнение Хопфа, получим следующую систему уравнений для
:
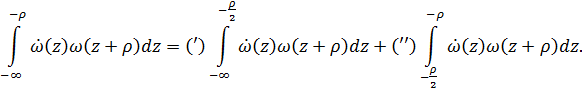
Поскольку до взаимодействия фронты ударных волн
движутся независимо, то следует ввести вспомогательный параметр - момент
времени столкновения (взаимодействия) двух фронтов:
Проведя прямое интегрирование:
и воспользовавшись асимптотическими
приближениями из предыдущего раздела, сравним вид
с
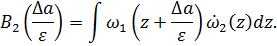
решением той же задачи, полученным с помощью формул (3.6 - 3.13) из [2].
Для начала отметим, что в формуле (3.13)
допущена ошибка, и правильное выражение для
имеет
следующий вид:
где
-приведённое
расстояние между фронтами непровзаимодействовавших волн (
соответствует
). Далее распишем в
явном виде решение, полученное по формулам пункта (3):
Рассмотрим пределы на бесконечности, получаемые
при неограниченном уменьшении малого параметра
:
а).
.
В этом случае
, таккак, очевидно,
,
а по свойствам функции переключения
Из стационарного уравнения (3.11) на
: