Материал: Решение дробно-рациональных неравенств с параметром методом интервалов

Внимание! Если размещение файла нарушает Ваши авторские права, то обязательно сообщите нам

.С5)Найдите все значения параметра a, при каждом из которых неравенство  имеет единственное решение на отрезке [1;3].

. Упростим выражение под знаком модуля:


2. Неравенство  равносильно системе:

 

Запишем наше неравенство в виде равносильной системы:

 

Перенесем все влево и приведем к общему знаменателю:

 

Начнем с первого неравенства. Смена знаков происходит в точках, в которых числитель и знаменатель дроби равны нулю. Приравняем числитель и знаменатель дроби к нулю:

 a=-

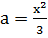
x-a=0 a=x

Числитель обращается в ноль в точках параболы a=- (Нам проще выразить параметр a через переменную x, поэтому в нашей параметрической плоскости вертикальной осью мы назначим ось a, а горизонтальной - ось x)

Знаменатель обращается в ноль в точках прямой a=x. Так как знаменатель не равен нулю, прямую a=x изобразим пунктирной линией. Точки пересечения графиков

a=- и a=x мы выкалываем:


При пересечении графиков дробь меняет знак. Определимся со знаками. Возьмем точку с координатами x=2;a=0 и подставим значения x и aв первое неравенство: . Следовательно в области, содержащей эту точку, дробь в левой части первого неравенства меньше нуля. При переходе через график знак меняется:



Нас интересуют области, где левая часть неравенства меньше или равна нулю:


Теперь займемся вторым неравенством системы: Числитель обращается в ноль в точках параболы , а знаменатель в точках прямой a=x:


Определим знак дроби в левой части неравенства в точке с координатами x=2;a=0.

 

Нас интересуют области, в которых выполняется неравенство:


Совместим закрашенные области:


Итак, множество точек координатной плоскости (x;a) удовлетворяющих системе неравенств представляют из себя такую фигуру:


По условию задачи, нам нужно узнать, при каком значении параметра неравенство имеет единственное решение на отрезке [1;3] , то есть в этой выделенной области:


Если мы будем двигать прямую, параллельную оси x вдоль оси a( ординаты всех точек этой прямой равны определенному значению параметра), то увидим, что эта прямая имеет с нужной нам областью одну точку пересечения при a=3:


Ответ: {3}

Заключение

На протяжений своей работы я прочитала и изучила решение и способы как решаются примеры дробно-рациональные неравенство с параметром. Я ставила перед собой цель более глубокого изучения этой темы, выявления наиболее рационального решения, быстро приводящего к ответу, простые методы. Чтобы раскрыть тему я рассматривала каждую тему отдельно. Я усвоила алгоритм решения неравенство методом интервалов, научилась применят метод интервалов для решения неравенство, дробно-рациональных неравенств с параметрами. Узнала какие есть типы, какими способами можно решить трудные задачи, некоторые замечания.

В настоящее время эта тема стала как никогда актуальной, так как задачи с параметром стали часто встречаться в едином государственном экзамене. Задачи с параметром позволяют получить достаточно точную информацию об уровне развития логического мышления учащихся, умений решать новые задачи, проводить исследования.

Работа над данной темой доставила мне не только трудности, но и удовольствие.

Я восстановила в памяти весь теоритический материал, углубила и расширила свои знания по методам решения дробно-рациональные неравенство с параметром.

Список литературы

1)C.М.Никольский, Алгебра и начала анализа.//Учебник для 10класса общеобразовательных учреждения; 2003.С.3-6§2п.2.7-2.9.

)Беляева,Э.С, Математика,Уравнения и неравенства с параметром // Учебное пособие;2009.C.8-13,29-34.

)П. И. Горнштейн,В. Б. Полонский, М. С. Якир,Задачи с параметрами.//3-е издание, дополненное и переработанное.-Илскса, Харьков: Гимназия; 2005,C.11-12,41-55.

)В.В.Вавилов, И.И Мельников,Задачи по математике,Уравнения и неравенства.// 2-е издание,Физматлит; 2007.

)Кузнецова Л.В., Бунимович Е.А., Пигарев Б.П., Суворова С.Б,// Сборник заданий для проведения письменного экзамена по алгебре за курс основной школы: 9 класс.2002.

)Заданий ЕГЭ по математике брошюра//2005,С.37.

)М.Я.Выгодский,Справочник по элементарной математике.// Издательство "наука";М.:2006.C.250-262.