Материал: Решение дробно-рациональных неравенств с параметром методом интервалов

Внимание! Если размещение файла нарушает Ваши авторские права, то обязательно сообщите нам

1.      Если x>0, то неравенство примет вид

>0,>0

x∈(0;2)∪(5;+∞).

Решением исходного неравенства является объединением решений,полученных в первом и втором случаях:

x∈(-∞;-5)∪(-2;2)∪(5;+∞).

Ответ: ∈(-∞;-5)∪(-2;2)∪(5;+∞).

Пример 5 Решить дробно-рациональное неравенство >0

Решение.Отметим на числовой прямой точки x=5,x=-1,x=0,x=2,x=3 и иследуем изменение знаков левой части неравенства.Решением неравенства служит объединение интервалов: (-5;-1)∪(-1;0)∪(2;3)∪(3;+∞).


. Дробно-рациональных неравенств с параметром методом интервалов

Определения.. Что такое параметр?

Определение1. Параметр(от греч. parametrón-отмеривающий)- величина, значения которой служат для различения элементов некоторого множества между собой.

Например, в декартовых координатах уравнение y=a,a≠0,задает множество всех парабол с вершинами в начале координат. При конкретном значений a∈(-∞;0)∪(0;+∞) мы получаем одну из парабол этого семейства.

Дадим ещё одно определение параметра.

Определение 2. Параметром называется независимая переменная, значение которой в задаче считается заданным фиксированным или произвольным действительным числом, или числом, принадлежащим заранее оговоренному множеству.

Комментарий. Независимость параметра заключается в его "неподчинении" свойствам, вытекающим из условия задачи. Например, из не отрицательности левой части уравнения |=a-1 не следует не отрицательность значений выражения a-1, и если a-1<0, то мы обязаны констатировать, что уравнение не имеет решений.

Определение 3. Неизвестные величины, значения которых мы задаем сами, называются параметрами.

Какие неизвестные следует выбрать в качестве параметров, обычно определяется уже самим подходом к исследованию выражения.

Определение 4.Пусть дано равенство с переменными x и а:f(x,a)=0.Если ставится задача для каждого действительного значения а решить это уравнение относительно x,то уравнение f(x;a)=0 называется уравнение относительно с переменной х и параметром а.

Параметр обычно обозначается первыми буквами латинского алфавита:a,b,c,d,…..

Переменная, относительно которой решается уравнение,-последними буквами алфавита:x,y,z,t,u,…. .

Определение5.Под областью определения уравнения f(x;a)=0 с параметром а будем понимать все такие системы значений х и а, при которых f(x;a) имеет смысл.

Заметим, что иногда область определения уравнения устанавливается довольно легко, а иногда в явном виде это сделать трудно. Тогда ограничиваемся только системой неравенств, множество решений которой и является областью определения уравнения. Этого бывает, как правило, достаточно для решения уравнения.. Что означает "решить задачу с параметром"?

Естественно, это зависит от вопроса в задаче. Если, например, требуется решить уравнение, неравенство, их систему или совокупность, то это означает предъявить обоснованный ответ либо для любого значения параметра, либо для значения параметра, принадлежащего заранее оговоренному множеству.

Если же требуется найти значения параметра, при которых множество решений уравнения, неравенства и т. д. удовлетворяет объявленному условию, то, очевидно, решение задачи и состоит в поиске указанных значений параметра.

Например решить неравенство с параметром - значит для любого допустимого значения параметра найти множество всех корней (решений) заданного уравнения (неравенства).

Это можно сделать, если по некоторому целесообразному признаку разбить область допустимых значений параметра на подмножества и затем решить заданное уравнение (неравенство) на каждом из этих подмножеств.

Для разбиения области допустимых значений параметра на подмножества удобно воспользоваться теми значениями параметра, при которых или при переходе через которые происходит качественное изменение уравнения (неравенства). Такие значения параметра называют контрольными.. Какие основные типы задач с параметрами?

Тип 1. Уравнения, неравенства, их системы и совокупности, которые необходимо решить либо для любого значения параметра (параметров), либо для значений параметра, принадлежащих заранее оговоренному множеству.

Этот тип задач является базовым при овладении темой "Задачи с параметрами", поскольку вложенный труд предопределяет успех и при решении задач всех других основных типов.

Тип 2. Уравнения, неравенства, их системы и совокупности, для которых требуется определить количество решений в зависимости от значения параметра (параметров).

Обращаю внимание на то, что при решении задач данного типа нет необходимости ни решать заданные уравнения, неравенства, их системы и совокупности и т. д., ни приводить эти решения; такая лишняя в большинстве случаев работа является тактической ошибкой, приводящей к неоправданным затратам времени. Однако не стоит абсолютизировать сказанное, так как иногда прямое решение в соответствии с типом 1 является единственным разумным путем получения ответа при решении задачи типа 2.

Тип 3. Уравнения, неравенства, их системы и совокупности, для которых требуется найти все те значения параметра, при которых указанные уравнения, неравенства, их системы и совокупности имеют заданное число решений (в частности, не имеют или имеют бесконечное множество решений).

Легко увидеть, что задачи типа 3 в каком-то смысле обратны задачам типа 2.

Тип 4. Уравнения, неравенства, их системы и совокупности, для которых при искомых значениях параметра множество решений удовлетворяет заданным условиям в области определения.

Комментарий. Многообразие задач с параметром охватывает весь курс школьной математики (и алгебры, и геометрии), но подавляющая часть из них на выпускных и вступительных экзаменах относится к одному из четырех перечисленных типов, которые по этой причине названы основными.

Наиболее массовый класс задач с параметром - задачи с одной неизвестной и одним параметром. Следующий пункт указывает основные способы решения задач именно этого класса.. Каковы основные способы (методы) решения задач с параметром?

Способ I (аналитический). Это способ так называемого прямого решения, повторяющего стандартные процедуры нахождения ответа в задачах без параметра. Иногда говорят, что это способ силового, в хорошем смысле "наглого" решения.

Комментарий. По мнению авторов, аналитический способ решения задач с параметром есть самый трудный способ, требующий высокой грамотности и наибольших усилий по овладению им.

Способ II (графический). В зависимости от задачи (с переменной x и параметром a) рассматриваются графики или в координатной плоскости (x; y), или в координатной плоскости (x; a).

Способ III (решение относительно параметра). При решении этим способом переменные x и a принимаются равноправными и выбирается та переменная, относительно которой аналитическое решение признается более простым. После естественных упрощений возвращаемся к исходному смыслу переменных x и a и заканчиваем решение.

Понятиями неравенства пользовались уже древние греки. Архимед (III в. до н. э.), занимаясь вычислением длины окружности, установил, что "периметр всякого круга равен утроенному диаметру с избытком, который меньше седьмой части диаметра, но больше десяти семьдесят первых". Иначе говоря, Архимед указал границы числа ∏:

Евклид <п<3

Ряд неравенств приводит в своем знаменитом трактате "Начала" Евклид. Он, например, доказывает, что среднее геометрическое двух положительных чисел не больше их среднего арифметического, т. е. что верно неравенство

Архимед

В "Математическом собрании" Паппа Александрийского (III в.) доказывается, что если

>

(a, b, с и d - положительные числа), то ad > bc.

Однако все эти рассуждения проводили словесно, опираясь в большинстве случаев на геометрическую терминологию. Современные знаки неравенств появились лишь в XVII- XVIII вв. Знаки < и > ввел английский математик Т. Гарриот (1560-1621), знаки ≥ и ≤ французский математик П. Буге (1698-1758).

Неравенства и системы неравенств широко используются как в теоретических исследованиях, так и при решении важных практических задач.

Определение и основные свойства неравенств.

Определения:

Неравенствами называют выражения вида a<b (a≤ b) ,a>b (a≥b),где a и b могут быть числами или функциями.

Символы <(≤), >(≥) называются знаками неравенства и читаются соответственно: меньше(меньше или равно) ,больше(больше или равно).

Свойства числовых неравенств :

·              Если a>b , то b<a; если a<b, то b>a.

·              Если a<b и b<c, то a<c.

·              Если a<b и c-любое число, то a +c<b+c.

·              Если a<b и c>0,то ac<bc. Если a<b и c<0,то ac>bc.

·              Если a<b и c<d,то a +c<b +d.

·              Если a<b и c<d,где a, b, c, d-положительные числа, то ac<bd.

Неравенство могут быть линейными, квадратными, рациональными и дробно рациональными и т.д. Я хочу остановиться на дробно-рациональные неравенства и хочу более подробно описать, как решаются эти неравенства.

Решение рационального неравенства

  > 0 (5)

где Рn(х) и Qm(х) ¾ многочлены, сводится к решению эквивалентного неравенства (Рn(х) > 0)следующим образом: умножив обе части неравенства (5) на многочлен [Qm(x)]2, который положителен при всех допустимых значениях неизвестного х (т.е. при тех х, при которых Qm(x) ¹ 0), получим неравенство

Рn(х) × Qm(x) > 0,

эквивалентное неравенству (5).

Дробно-линейным называется неравенство вида

> k

где a, b, c, d, k ¾ некоторые действительные числа и с ¹ 0,  (если с = 0, то дробно-линейное неравенство превращается в линейное, неравенство (6) не содержит аргумента). К дробно-линейным неравенствам относятся и неравенства вида (6), где вместо знака > стоят знаки <, ³, £. Решение дробно-линейного неравенства сводится к решению квадратного неравенства. Для этого необходимо умножить обе части неравенства (6) на выражение (сх + d)2, положительное при всех хÎR и x ¹ -d/c.

3. Алгоритм решение дробно рациональных неравенств

При решении таких неравенств можно придерживаться следующей схемы.

. Перенести все члены неравенства в левую часть.

. Все члены неравенства в левой части привести к общему знаменателю, то есть неравенство записать в виде

> 0 (<0).

3. Найти значения х, при которых функция y= может менять свой знак. Это корни уравнений  

. Нанести найденные точки на числовую ось. Эти точки разбивают множество действительных чисел на промежутки, в каждом их которых функция будет знакопостоянной.

. Определить знак  в каждом промежутке, вычисляя, например, значение данного отношения в произвольной точке каждого промежутка.

. Записать ответ, обращая особое внимание на граничные точки промежутков. При решении строгого неравенства >0 (<0) граничные точки в ответ не включаются. При решении нестрогого неравенства  ≥ 0 ( ≤ 0), если точка является корнем знаменателя, то она не включается в ответ (даже если она одновременно является корнем числителя). Если же точка является корнем одного числителя, то она включается в ответ.

Примеры

Пример из реальных заданиях ЕГЭ.

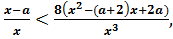
С4 Найдите все значения параметра а,при которых множество решений неравенства

+)

содержится в некотором отрезке длиной 7 и при этом сожержит какой-нибудь отрезок длиной 4.

Решение.

)Преобразуем данное неравенство.

<0.

2)Так как ,то <0,если  и -противоположных знаков, т.е. <0,x≠4 равносильна исходному неравенству.

3)Если 0≤a≤4,то решение -интервал (0;a),длиной меньшей 4.Если a≥4,то решение-объединение интервалов(0;4)∪(4;).Отрезок длиной 4 может содержать только интервал (4;) следовательно a<8 и полученные интервалы не содержатся в отрезке длиной 7.

)Если a<0,то решение-это интервал.Этот интервал содержит отрезок длиной 4,при a<-4,Он содержится в отрезке длиной 7 при -7≤ a.

Ответ:

2)Найдите все значения параметра ,при каждом из которых неравенство ≤1 справедливо при всех значениях  из отрезка .

Решение

≤1 ↔.

Рассмотрим два возможных случая.

.

При условию задачи, отрезок[0;1] должен весь входить в решение данного нам неравенства(подмножество его решения ).В рассматриваемом нами примере это не так, поскольку решение последнего неравенства системы не содержит указанный отрезок.

.

Если  и,значит,требование задачи не будет выполнено.

Если ,то решением системы будет и требование задачи удовлетворяет.