Т.к. △x
обратно пропорционально d,
при большом расстоянии между источниками,
например при d
≈ l,
отдельные полосы становятся неразличимыми,
сравнимыми с длиной волны
Поэтому необходимо выполнять условие l
>> d.
Этот опыт показывает, что интерференционная
картина, создаваемая на экране двумя
когерентными источниками света,
представляет собой чередование светлых
и темных полос. Главный
максимум,
соответствующий m
= 0, проходит через точку О.
Вверх и вниз от него располагаются
максимумы (минимумы) первого
(m
= 1), второго (m
= 2) порядков и
т. д.
Из перечисленных формул видно, что ширина интерференционной полосы и расстояние между ними зависят от длины волны λ. Только в центре картины при x=0 совпадут максимумы всех волн. По мере удаления от центра максимумы разных цветов смещаются друг относительно друга все больше и больше. Это приводит, при наблюдении в белом свете, ко все большему размытию интерференционных полос. Интерференционная картина будет окрашенной, но нечеткой (смазанной).
Измерив △x , зная l и d, можно вычислить длину волны λ. Именно так вычисляют длины волн разных цветов в спектроскопии.
Интерференционные
полосы равного наклона.
При освещении тонкой пленки происходит
наложение волн от одного и того же
источника, отразившихся от передней и
задней поверхностей пленки. При этом
может возникнуть интерференция света.
Если свет белый, то интерференционные
полосы окрашены. Интерференцию в пленках
можно наблюдать на стенках мыльных
пузырей, на тонких пленках масла или
нефти, плавающих на поверхности воды,
на пленках, возникающих на поверхности
металлов или зеркала. Рассмотрим сначала
плоскопараллельную пластинку толщины
d с
показателем преломления n (рис. 4).
Рисунок 4 - Плоскопараллельная пластинка
Пусть на пластинку падает плоская световая волна, которую можно рассматривать как параллельный пучок лучей. Пластинка отбрасывает вверх два параллельных пучка света, один из которых ( 1′ ) образовался за счет отражения от верхней поверхности пластинки, второй ( 2′ ) – вследствие отражения от нижней поверхности. Каждый из этих пучков представлен на рис. 4 только одним лучом.
При входе в пластинку и при выходе из нее пучок 2 претерпевает преломление. Кроме двух пучков 1′ и 2′ , пластинка отбрасывает вверх пучки, возникающие в результате трех-, пяти- и т.д. кратного отражения от поверхностей пластинки. Однако ввиду малой интенсивности их можно не принимать во внимание.
Рассмотрим интерференцию лучей, отраженных от пластинки. Поскольку на пластинку падает плоская волна, то фронт этой волны представляет собой плоскость, перпендикулярную лучам 1 и 2. На рис. 4 прямая ВС представляет собой сечение волнового фронта плоскостью рисунка. Оптическая разность хода, приобретаемая лучами 1 и 2 до того, как они сойдутся в точке С, будет △ = nS2 – S1 , (7)
где S1 –
длина отрезка ВС, а S2 –
суммарная длина отрезков АО и ОС.
Показатель преломления среды, окружающей
пластинку, полагаем равным единице. Из
рис. 4 видно, что
,
Подстановка этих выражений в (7) дает
.
Воспользуемся законом преломления
света:
;
и учтем, что
,
тогда для разности хода получим следующее
выражение:

При
вычислении разности фаз между колебаниями
в лучах 1′ и 2′ нужно,
кроме оптической разности хода D,
учесть возможность изменения фазы при
отражении в точке С.
В точке С
отражение волны происходит от границы
раздела среды оптически менее плотной
со средой оптически более плотной.
Поэтому фаза волны претерпевает изменение
на p. В точке O отражение
происходит от границы раздела среды
оптически более плотной со средой
оптически менее плотной, и скачка фазы
в этом случае не происходит. Качественно
это можно представить себе следующим
образом. Если толщину пластинки устремить
к нулю, то полученная нами формула для
оптической разности хода дает △
= 0. Поэтому при наложении лучей 1′ и 2′ должно
происходить усиление колебаний. Но это
невозможно, так как бесконечно тонкая
пластинка вообще не может оказывать
влияния на распространение света.
Поэтому волны, отраженные от передней
и задней поверхности пластинки, должны
при интерференции гасить друг друга.
Их фазы должны быть противоположны, то
есть оптическая разность хода D
при d→0
должна стремиться к
.
Поэтому к прежнему выражению для D нужно
прибавить или вычесть
,
где λ0 –
длина волны в вакууме. В результате
получается:
На рис. 6 изображена оправа, в которой зажаты две стеклянные пластины. Одна из них слегка выпуклая, так что пластины касаются друг друга в какой-то точке. И в этой точке наблюдается нечто странное: вокруг нее возникают кольца. В центре они почти не окрашены, чуть дальше переливаются всеми цветами радуги, а к краю теряют насыщенность цветов, блекнут и исчезают.
Так выглядит эксперимент, в XVII веке положивший начало современной оптике. Ньютон подробно исследовал это явление, обнаружил закономерности в расположении и окраске колец, а также объяснил их на основе корпускулярной теории света.
Кольцевые полосы равной толщины, наблюдаемые в воздушном зазоре между соприкасающимися выпуклой сферической поверхностью линзы малой кривизны и плоской поверхностью стекла (рис. 7), называют кольцами Ньютона.
Падающий
луч 1 отражается
в точках А и В (рис.)
от верхней и нижней поверхности воздушного
клина и образует отраженные лучи 1/ и 1//,
имеющие разность хода:

Рисунок 7 – Кольца Ньютона
Рисунок 6 – Две стеклянные пластины
(8)
Для воздуха n
= 1 и
при отражении от границы раздела
оптически менее плотной среды с оптически
более плотной в точке В фаза волны фаза
волны изменяется на π,
а в разность хода добавляется половина
длины волны в вакууме.
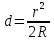
Из
треугольника ΔАОС имеем:
,
где r −
радиус кольца Ньютона. При нормальном
падении света полосы равной толщины
имеют вид концентрических окружностей,
а при наклонном падении − эллипсов. Из
предыдущего выражения толщина воздушного
зазора d равна:
.
Подставляя
в оптическую разность хода, получим:
.
Если
на оптической разности хода укладывается
целое число длин волн, то имеют место
светлые кольца Ньютона:
,
Откуда
радиус светлого кольца равен
(9)
А
если на оптической разности хода
укладывается целое число полуволн, то
такой Δ соответствуют
темные кольца Ньютона:

,
Откуда
радиус темного кольца равен
(9.1)
Если линзу постепенно отодвигать от поверхности стекла, то интерференционные кольца будут стягиваться к центру. При увеличении расстояния на /2 картина принимает прежний вид, так как место каждого кольца будет занято кольцом следующего порядка. С помощью колец Ньютона, как и в опыте Юнга, можно сравнительно простыми средствами приближенно определить длину волны света.
(7.1)
Итак, при падении на пластинку плоской волны образуются две отраженные волны, разность хода которых определяется формулой (7.1). Эти волны могут интерферировать, если оптическая разность хода не превышает длину когерентности. Последнее требование для солнечного излучения приводит к тому, что интерференция при освещении пластинки наблюдается только в том случае, если толщина пластинки не превышает нескольких сотых миллиметра.
Особенно
важен частный случай интерференции
света, отраженного двумя поверхностями
плоскопараллельной пластинки, когда
точка наблюдения P находится
в бесконечности, т.е. наблюдение ведется
либо глазом, аккомодированным на
бесконечность, либо на экране, расположенном
в фокальной плоскости собирающей линзы
(рис. 5).
Рисунок 5 – Плоскопараллельная пластинка
В этом
случае оба луча, идущие от S к P,
порождены одним падающим лучом и после
отражения от передней и задней поверхностей
пластинки параллельны друг другу.
Оптическая разность хода между ними в
точке P такая
же, как на линии DC:
△=n│BA│+│BC│-│AD│. Здесь n –
показатель преломления материала
пластинки. Предполагается, что над
пластинкой находится воздух, т.е. n
1.
Так как │BA│=│BC│=
, (h –
толщина пластинки, и
–
углы падения и преломления на верхней
грани; sin
= n
sin
),
то для разности хода получаем △
= 2nhcos. Следует
также учесть, что при отражении волны
от верхней поверхности пластинки в
соответствии с формулами Френеля ее
фаза изменяется на π. Поэтому разность
фаз δ складываемых волн в точке P равна:
???? =
,
где
–длина
волны в вакууме.
В
соответствии с последней формулой
светлые полосы расположены в местах,
для которых,
,
где m – порядок
интерференции.
Полоса, соответствующая данному порядку
интерференции, обусловлена светом,
падающим на пластинку под вполне
определенным углом α. Поэтому такие
полосы называют интерференционными полосами
равного наклона.
Если ось объектива расположена
перпендикулярно пластинке, полосы имеют
вид концентрических колец с центром в
фокусе, причем в центре картины порядок
интерференции максимален.
Явление интерференции волн находит разнообразное применение. Рассмотрим лишь некоторые примеры применения интерференции.
1) Тот факт, что расположение интерференционных полос зависит от длины волны и разности хода лучей, позволяет по виду интерференционной картины (или их смещению) проводить точные измерения расстояний при известной длине волны или, наоборот, определять спектр интерферирующих волн (интерференционная спектроскопия). Для осуществления таких измерений разработаны различные схемы высокоточных измерительных приборов, называемых интерферометрами (двух- и многолучевые). Незначительное перемещение одного из зеркал интерферометра приводит к смещению интерференционной картины, что можно использовать для измерения длин с точностью до 10-9 м. Измерения с помощью интерферометра Майкельсона привели к фундаментальным изменениям представлений о пространстве и времени. Доказали отсутствие эфира. Послужили основой специальной теории относительности.
2) По интерференционной картине можно выявлять и измерять неоднородности среды (в т.ч. фазовые), в которой распространяются волны, или отклонения формы поверхности от заданной.
3) Явление интерференции волн, рассеянных от некоторого объекта (или прошедших через него) с «опорной» волной, лежит в основе голографии (в т.ч. оптической, акустической или СВЧ-голографии).
4) Интерференционные волны от отдельных «элементарных» излучателей используются при создании сложных излучающих систем (антенн) для электромагнитных
и акустических волн.
5)
Просветление
оптики и получение высокопрозрачных
покрытий и селективных оптических
фильтров.
Одной из важных задач, возникающих при
построении различных оптических и
антенных устройств СВЧ-диапазона,
является уменьшение потерь (
интенсивности света, мощности потока
электромагнитной энергии при
отражении от поверхностей линз,
обтекателей антенн и пр. приборов,
используемых для преобразований световых
и радиоволн в разнообразных приборах
фотоники, оптоэлектроники и радиоэлектроники.