Федеральное бюджетное государственное
образовательное учреждение
высшего профессионального образования
«Сибирский государственный индустриальный университет»
Кафедра физики им. проф. В.М. Финкеля
Реферат
Тема: « Волновая оптика».
Выполнил: ст.гр. ММ-151 Фадеев В.С
Проверил: к.т.н., доцент Олесюк О.В.
Новокузнецк, 2016
1 Введение 3
Волновая оптика 6
Интерференция света 6
Опыт юнга 7
Интерференция в тонких пленках 9
Кольца Ньютона 12
Применение интерференции 14
Дифракция света 15
Принцип Гюйгенса-Френеля 16
Зоны Френеля 18
Дифракция от одной щели 20
Дифракция от дифракционной решетки 21
Дифракция рентгеновских лучей 24
Поляризация света 27
Естественный и поляризованный свет 27
Закон Малюса 31
Закон Брюстера 33
Двойное лучепреломление 35
Заключение 39
Список литературы 41
Оптика – раздел физики, изучающий свойства и физическую природу света, а также его взаимодействие с веществом. Учение о свете принято делить на три части:
- геометрическая или лучевая оптика, в основе которой лежит представление о световых лучах;
- волновая оптика, изучающая явления, в которых проявляются волновые свойства света;
- квантовая оптика, изучающая взаимодействие света с веществом, при котором проявляются корпускулярные свойства света.
Первые представления о природе света возникли у древних греков и египтян. По мере изобретения и совершенствования различных оптических приборов (параболического зеркала, микроскопа, зрительной трубы) эти представления развивались и трансформировались. В конце XVII века возникли две теории света: корпускулярная (Ньютон) и волновая (Р.Гук и Х.Гюйгенс).
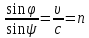
Согласно корпускулярной теории, свет представляет собой поток частиц (корпускул), испускаемых светящимися телами. Ньютон считал, что движение световых корпускул подчиняется законам механики. Так, отражение света понималось аналогично отражению упругого шарика от плоскости. Преломление света объяснялось изменением скорости корпускул при переходе из одной среды в другую. Для случая преломления света на границе вакуум–среда корпускулярная теория приводила к следующему виду закона преломления:
(1)
где c – скорость света в вакууме, υ – скорость распространения света в среде. Так как n > 1, из корпускулярной теории следовало, что скорость света в средах должна быть больше скорости света в вакууме. Ньютон пытался также объяснить появление интерференционных полос, допуская определенную периодичность световых процессов. Таким образом, корпускулярная теория Ньютона содержала в себе элементы волновых представлений.
Волновая теория, в отличие от корпускулярной, рассматривала свет как волновой процесс, подобный механическим волнам. В основу волновой теории был положен принцип Гюйгенса, согласно которому каждая точка, до которой доходит волна, становится центром вторичных волн, а огибающая этих волн (плоскость A1A2 на рис. 1) дает положение волнового фронта в следующий момент времени. Под волновым фронтом Гюйгенс понимал геометрическое место точек, до которых одновременно доходит волновое возмущение. С помощью принципа Гюйгенса были объяснены законы отражения и преломления. Рис. 1 дает представление о построениях Гюйгенса для определения направления распространения волны, преломленной на границе двух прозрачных сред.

Рисунок 1 - Построения Гюйгенса для определения направления преломленной волны.
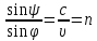
Для случая
преломления света на границе вакуум –
среда волновая теория приводит к
следующему выводу:
.
Закон преломления, полученный из волновой
теории, оказался в противоречии с
формулой Ньютона. Волновая теория
приводит к выводу: υ < c, тогда как
согласно корпускулярной теории υ > c.
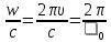
Таким образом, к началу XVIII века существовало два противоположных подхода к объяснению природы света: корпускулярная теория Ньютона и волновая теория Гюйгенса. Обе теории объясняли прямолинейное распространение света, законы отражения и преломления. Весь XVIII век стал веком борьбы этих теорий. Однако в начале XIX столетия ситуация коренным образом изменилась. Корпускулярная теория была отвергнута и восторжествовала волновая теория. Большая заслуга в этом принадлежит английскому физику Томасу Юнгу и французскому физику Огюстесу Френелю, исследовавшим явления интерференции и дифракции. Исчерпывающее объяснение этих явлений могло быть дано только на основе волновой теории. Важное экспериментальное подтверждение справедливости волновой теории было получено в 1851 году, когда Жан Фуко (и независимо от него Арман Физо) измерил скорость распространения света в воде и получил значение υ < c.
Хотя к середине
XIX века волновая теория была общепризнана,
вопрос о природе световых волн оставался
открытым. В 60-е годы XIX века Максвеллом
были установлены общие законы
электромагнитного поля, которые привели
его к заключению, что свет – это
электромагнитные волны. Важным
подтверждением такой точки зрения
послужило совпадение скорости света в
вакууме с электродинамической постоянной
.
Электромагнитная природа света получила
признание после опытов Герца по
исследованию электромагнитных волн
(1887–1888 гг.). В начале XX века после опытов
П.Н. Лебедева по измерению светового
давления (1901 г.) электромагнитная теория
света превратилась в твердо установленный
факт.
Важнейшую роль в выяснении природы света сыграло опытное определение его скорости. Начиная с конца XVII века предпринимались неоднократные попытки измерения скорости света различными методами (астрономический метод А. Физо, метод Альберта Майкельсона). Современная лазерная техника позволяет измерять скорость света с очень высокой точностью на основе независимых измерений длины волны λ и частоты света ν (c = λ · ν). Таким путем было найдено значение «С = 299792458±1,2»
превосходящее по точности все ранее полученные значения более чем на два порядка.
Свет играет чрезвычайно важную роль в нашей жизни. Подавляющее количество информации об окружающем мире человек получает с помощью света. Однако, в оптике как разделе физики под светом понимают не только видимый свет, но и примыкающие к нему широкие диапазоны спектра электромагнитного излучения – инфракрасный (ИК) и ультрафиолетовый (УФ). По своим физическим свойством свет принципиально неотличим от электромагнитного излучения других диапазонов – различные участки спектра отличаются друг от друга только длиной волны λ и частотой ν.
Световые волны рассматриваются по своей природе как электромагнитные волны, обладающие всеми их свойствами. Волновая оптика – раздел оптики, объясняющий оптические явления на основе волновой природы света. Волновая оптика описывает такие оптические явления, как интерференция, дифракция, поляризация, дисперсия.
Электромагнитные волны, как и механические волны, обладают принципом суперпозиции, то есть, если в среде одновременно распространяются несколько волн, то они распространяются независимо друг от друга. Однако, в тех местах, где одни колебания накладываются на другие колебания, их амплитуды векторно складываются. При этом может наблюдаться как увеличение интенсивности света (когда накладываются волны с одинаковыми фазами), так и ослабление интенсивности (при сложении волн с противоположными фазами). Это явление получило название интерференции света. Интерференция света – это сложение двух и более волн, вследствие которого наблюдается устойчивая картина усиления и ослабления световых колебаний в разных точках пространства.
Условие максимума и минимума интерференции
Пусть разделение на две когерентные волны происходит в точке О (рис. 2).

Рисунок 2 - Разделение одной волны на две когерентные волны.
До точки Р первая
волна проходит в среде с показателем
расстояние
,
а вторая в среде с показателем
преломления
расстояние
.
Если в точке О фаза
колебаний cos (????
= 0), то
первая волна возбуждает в точке Р колебание
, а вторая
, где
,
–
фазовые скорости первой и второй волны.
Следовательно, разность фаз возбуждаемых
волнами колебаний в точке Р равна:

Учитывая, что
,
получим выражение для разности фаз двух
когерентных волн:
,
где
–
оптическая разность хода, L –
оптическая длина пути, s –
геометрическая длина пути.
Если разность хода
равна целому числу длин волн в вакууме

, то
,
и колебания, возбуждаемые в точке
Р обеими
волнами, будут происходить в одинаковой
фазе. Следовательно, (2) является
условием
интерференционного
максимума.
Если оптическая
разность хода
(3)
, то
,
и колебания, возбуждаемые в точке Р обеими
волнами, будут происходить в противофазе.
Следовательно, (3) является условием
интерференционного
минимума.
Первым интерференционным опытом, получившим объяснение на основе волновой теории света, явился опыт Юнга (1802 г.) В опыте Юнга когерентные пучки получали разделением и последующим сведением световых лучей, исходящих из одного и того же источника (метод деления волнового фронта).
Рассмотрим интерференционную картину, полученную методом Юнга (рис. 3).

Рисунок 3 - Интерференционная картина, полученная Юнгом
Свет от источника S, прошедший через узкую щель в экране А, падет на экран В с двумя щелями S1 и S2, расположенными достаточно близко друг к другу на расстоянии d. Эти щели являются когерентными источниками света. Интерференция наблюдается в области, в которой перекрываются волны от этих источников (поле интерференции). На экране Э мы видим чередование полос с максимумом и минимумом интенсивности света. Экран расположен на расстоянии l от щелей, причем l >> d .
Рассмотрим две
световые волны, исходящие из точечных
источников S1
и S2.
Показатель преломления среды – n.
Вычислим
ширину полос интерференции (темных и
светлых полос). Интенсивность в
произвольной точке P экрана, лежащей на
расстоянии x от О, определяется (для
вакуума, когда n = 1) оптической разностью
хода
= S2
– S1.
Из рис. 3 имеем
;
,
отсюда
,
или
.
Из условия l
>> d следует,
что
, поэтому
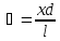
(4)
Отсюда получим,
что максимумы интенсивности будут
наблюдаться в случае, если
(m =
0, 1, 2, …) (5)
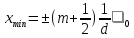
а минимумы – в случае, если
(5.1)
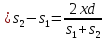
Расстояние между двумя соседними максимумами (или минимумами) равно:
△x
(6)
и не зависит от порядка интерференции (величины m) и является постоянной для данных l, d.
Расстояние между двумя соседними максимумами называется расстоянием между интерференционными полосами, а расстояние между соседними минимумами – шириной интерференционной полосы.