Материал: Разработка технологического процесса изготовления трёхслойной втулки

Внимание! Если размещение файла нарушает Ваши авторские права, то обязательно сообщите нам

-800-800

Температура максимальная, oС 700

Мощность, кВт 62

8. Расчет параметров сварки взрывом

Расчет режимов сварки взрывом

. АД1+МА20 и

. АМг6+(АД1+МА20)

Расчет ведем по методике, основанной на энергетическом подходе [15].

Таблица 11

Исходные данные для расчета параметров СВ

Материал

Исходные данные


Толщина

Плотность

Скорость звука

Удельная теплоёмкость

Тпл

Предел текучести


δ

ρ

С0

С


σ0,2


мм

г/см3

м/с

Дж/(кг*град)

°С

МПа

АМг6

20

2,6

5000

0,922

635

130

АД1

30

2,7

4972

0,9

667

30

МА20

20

1,8

5000

1,13

625

160

Свариваем АД1+МА20

. Определим скорость точки контакта


Vk=(0.4-0.5)Co

Vk=0.5*4972=2486

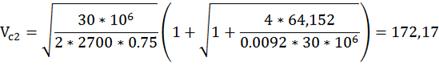
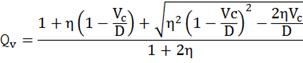
. Определим необходимую для получения соединения скорость соударения

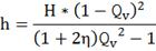
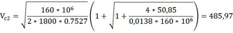
Vc=0.5(Vc1+Vc2)

Vc=0.5(172,17+485,97)=329,072

-активный объем

????T=0.8Tпл


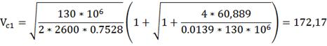
3. Определить высоту заряда ВВ, способную разогнать метаемую пластину до требуемой скорости соударения

Нmin=48мм

Выбираем тип ВВ Аммонит 6 ЖВ 50% + аммичная селитра.

Н=60мм

D=3060 м/с

Pвв=910 кг/м3

4. Определяем зазор между пластинами

87041

Свариваем АМг6+(АД1+МА20)

Определяем приведенную толщину (АД1+МА20)


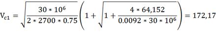
1. Определим скорость точки контакта


Vk = (0.4-0.5)Co

Vk = 0.5*4972 = 2486

. Определим необходимую для получения соединения скорость соударения

Vc=0.5(Vc1+Vc2)

Vc=0.5(364,48172,17)=268,32

-активный объем

????T=0.8Tпл


3. Определить высоту заряда ВВ, способную разогнать метаемую пластину до требуемой скорости соударения

Нmin=24мм

Выбираем тип ВВ Аммонит 6 ЖВ 50% + аммичная селитра.

Н=30мм

D=2550 м/с

Pвв=910 кг/м3

4. Определяем зазор между пластинами


Таблица 12

Результаты расчётов режима СВ

Скорость точки контакта Vkl

3060м/с

Vk2

2550 м/с

Скорость соударения VC1

330 м/с

VC2

270 м/с

Высота заряда Н1 Н2

 60 мм 30 мм

Тип взрывчатки 1 Тип взрывчатки 2

Тип ВВ Аммонит 6 ЖВ 50% + аммиачная селитра. Тип ВВ Аммонит 6 ЖВ 50% + аммиачная селитра.

Высота зазора h1 h2

 2 мм 2 мм


Определим размеры листов

. Определение размера неподвижной пластины из сплава МА20

Прокат МА20 выпускается в виде листов шириной 1200 мм и длиной 2000 мм при толщине 20мм [8].

 - длина неподвижной пластины

 - ширина неподвижной пластины,

где = 40-50мм - начальный участок

бок=  = 220=40 мм - ширина боковых участков

Размеры конечно сваренного образца:oбp= 116 мм

Вобр= 116 ммH = 50 + 116 + 40 = 216 мм,H = 116+ 240= 196 мм,

Величина нависании:

Переднее Нп=3Н=360=180 мм

Боковое Нб=Н=60 мм

Заднее Нз=Н= 60 мм

Где Н- высота заряда

. Определение размера метаемой пластины (сплав АД1)

Прокат АД1 выпускается в виде листов шириной 1200 мм и длиной 2000 мм при толщине 30мм [7].

 мм - длина метаемой пластины

 - ширина метаемой пластины

. Определение размера метаемой пластины (сплав Амг 6)

Величина нависания:

Переднее НП=3Н=330=90 мм

Боковое Нб=Н=30 мм

Заднее Нз=Н=30 мм

Где Н- высота заряда

M = Lh + 4Н = 2000 + 430=2120 мм - длина метаемой пластины

Вм = Вн + 2Н=1200+230=1260 мм - ширина метаемой пластины

Прокат АМг6 выпускается в виде листов шириной 1200 мм и длиной 2000 мм при толщине 20мм [7].


Рисунок 11- Пакет под сварку взрывом: 1 - электродетонатор, 2 - взрывчатое вещество, 3 - лист из АД1, 4 - лист из МА20

Рисунок 12 - Пакет под сварку взрывом: 1 - электродетонатор, 2 - взрывчатое вещество, 3 - лист из АМг 6, 4 - лист из АД1, 5 - лист из МА 20.

9. Планировка участка

При детальном проектировании участка основным методом уточнения служит последовательное расположение оборудования в зависимости о выполнения технологического процесса изготовления изделия.

Для боле удобного размещения оборудования в пространстве цеха выбираем следующие значения основных параметров цеха, исходя из габаритов оборудования.

Принимаем: шаг колонн 6 м; ширину пролета 25м; проезд 4м.

Состав производственных отделений и участков механических цехов определяется характером изготовляемых изделий, технологическим процессом, объемом и организацией производства. Основным принципом при составлении плана расположения оборудования в цехе является обеспечение прямоточного движения детали в процессе их обработки в соответствии с технологическим процессом. Металлорежущие станки участков могут быть расположены одним из двух способов: по типам оборудования или по ходу технологического процесса, т.е. в порядке выполнения операции. По типам оборудования станки располагаются только в небольших цехах единичного и мелкосерийного производства при малых массах и габаритах обрабатываемых деталей, а также для обработки отдельных деталей в серийном производстве. В этих случаях создаются участки однородных станков: токарных, сверлильных, фрезерных, шлифовальных и т.д. [16]. По ходу технологического процесса располагают станки в цехах массового и серийного производства [16].

При размещении станков руководствуются следующими правилами:

Участки, занятые станками, должны быть наиболее короткими. В машиностроении длина участков составляет 40-80 м. Зоны заготовок и готовых деталей включаются в длину участка.

Технологические линии могут располагаться как вдоль пролетов, так и поперек их.

Станки вдоль участка могут быть расположены в два, три и более рядов. При расположении станков в два ряда между ними оставляется проход для транспорта. При трехрядном расположении станков могут быть два или один проход. В последнем случае продольный проход образуется между одинарными и сдвоенными рядами станков. При расположении станков в четыре ряда вдоль участка устраивают два прохода: у колонн станки располагают в один ряд, а сдвоенный ряд - посредине.

Таблица 13

Нормы расстояний между станками и от станков до стен и колонн зданий [16]

Расстояния

Нормы расстояний между станками при их размерах в мм


До 1800 Х 800

До 4000 Х 2000

До 8000 Х 4000

До 1600 Х 6000

Между станками по фронту (а)

700

900

1500

2000

Между тыльными сторонами станков (б)

700

800

1200

1500

Между станками при поперечном расположении к проезду

При расположении станков в «затылок» (в)

1300

1500

2000

-


При расположении станков фронтом друг к другу и обслуживании одним рабочим

Одного станка (г)

2000

2500

3000

-



Двух станков (д)

1300

1500

-

-

Тыльной или боковой стороны станка (е)

700

800

900

1000


Фронта станка (ж)

1300

1500

2000

-


Станки могут располагаться по отношению к проезду вдоль поперек и под углом. Наиболее удобное расположение - вдоль проезда и при обращении станков к проезду фронтом. Станки для прутковой работы располагают загрузочной стороной к проезду, а другие станки так, чтобы сторона с приводом была обращена к стене или колоннам.

Станки по отношению друг к другу могут располагаться фронтом, «в затылок» и тыльными сторонами.

Крупные станки не должны стоять у окон, так как это приводит к затемнению цеха.

При определении расстояний между станками, от станков до стен и колонн здания (таблица 17) нужно учитывать следующее:

расстояния берутся от наружных габаритных размеров станков, включающих крайние положения движущихся частей, открывающихся дверок и постоянных ограждении станков.

для тяжелых и уникальных станков (габаритом свыше 16000 х 6000 мм) необходимые расстояния устанавливаются применительно к каждому конкретному случаю.

при установке станков на индивидуальные фундаменты расстояние станков от колонн, стен и между станками принимаются с учетом конфигурации и глубины фундаментов станков, колонн и стен.

при разных размерах двух рядом стоящих станков расстояние между ними принимается по большему из этих станков.

при монтаже станки устанавливают в линию по выступающим деталям, что не только эстетично, но и целесообразно. При такой планировке облегчается уборка помещения, вывоз любого станка с участка, а также доступ к станкам для обслуживания.

Таблица 14

Нормы ширины магистральных проездов в механических и сборочных цехах [16]

Схема

Вид транспорта

Грузоподъемность, т.

А, мм

Б, мм

Проезд продольный  Проезд поперечный

Электротележки (электрокары)

До 1 До 3 До 5

3000 3500 4000

3400 4000 4500


Электропогрузчики с подъемными вилами

До 0,5 До1 До 3

3500 4000 5000

4000 4500 5500


Грузовые автомашины

До 1 До 5

4500 5500

5000 6000


В поточных линиях станки также могут устанавливаться в один ряд или в два ряда; в последнем случае деталь в процессе обработки переходит с одного ряда на другой. Поточная линия может быть и с двумя параллельными потоками деталей. При обработке деталей с большим количеством операций поточной линии придают зигзагообразную форму с тем, чтобы длина каждого участка должна быть равна длине других участков, т.е. равнялась 40-80 м., и чтобы выход готовых деталей был в том же направлении, что и для других поточных линий. Цифры на рисунках указывают последовательность прохождения детали через станки линии.