4.4 Определение ресурсной (ресурсосберегающей), финансовой, бюджетной,
социальной и экономической эффективности исследования
В основе проектного подхода к инвестиционной деятельности предприятия лежит принцип денежных потоков (cashflow). Особенностью является его прогнозный и долгосрочный характер, поэтому в применяемом подходе к анализу учитываются, фактор времени и фактор риска.
В качестве основных показателей рекомендуются:
· чистый доход;
· чистый дисконтированный доход;
· внутренняя норма доходности;
· потребность в дополнительном финансировании;
· срок окупаемости;
· индексы доходности затрат и инвестиций и др.
Таблица 26
|
№ |
Показатель, тыс.руб. |
Номер шага (периода)расчета (t) |
|||||||||
|
|
|
0 |
1 |
2 |
3 |
4 |
5 |
||||
|
Операционная деятельность |
|||||||||||
|
1 |
Выручка без НДС |
0,0 |
1000,0 |
1250,0 |
1300,0 |
1455,0 |
1650,0 |
||||
|
2 |
Полные текущие издержки, в том числе: |
0,0 |
-869,7 |
-1045,4 |
-1078,3 |
-1187,5 |
-1323,9 |
||||
|
3 |
Прямые материальные затраты |
0,0 |
-210,0 |
-262,5 |
-273,0 |
-305,6 |
-346,5 |
||||
|
4 |
ФОТ основных рабочих, включая взносы во внебюджетные фонды |
0,0 |
-248,0 |
-310,0 |
-322,4 |
-360,8 |
-409,2 |
||||
|
5 |
Силовая энергия |
0,0 |
-80,0 |
-100,0 |
-104,0 |
-116,4 |
-132,0 |
||||
|
6 |
Общепроизводственные расходы |
0,0 |
-147,0 |
-156,0 |
-156,0 |
-160,0 |
-165,0 |
||||
|
7 |
Общехозяйственные расходы |
0,0 |
-120,0 |
-125,0 |
-125,0 |
-130,0 |
-135,0 |
||||
|
8 |
Коммерческие расходы |
0,0 |
-30,0 |
-37,5 |
-39,0 |
-43,7 |
-49,5 |
||||
|
9 |
Прочие расходы |
0,0 |
-34,7 |
-54,4 |
-58,9 |
-71,1 |
-86,7 |
||||
|
10 |
Денежный поток от производственной (операционной) деятельности |
0,0 |
130,4 |
204,6 |
221,7 |
267,5 |
326,1 |
||||
|
Инвестиционная деятельность |
|||||||||||
|
11 |
Поступление инвестиций |
0,0 |
0,0 |
0,0 |
0,0 |
0,0 |
0,0 |
|
|||
|
12 |
Капиталовложения, обслуживание инвестиций |
-500,0 |
-150,0 |
0,0 |
0,0 |
0,0 |
0,0 |
|
|||
|
13 |
Сальдо от инвестиционной деятельности (п.11+п.12) |
-500,0 |
-150,0 |
0,0 |
0,0 |
0,0 |
0,0 |
|
|||
|
14 |
Сальдо суммарного потока (п.10+п.13) |
-500,0 |
-19,6 |
204,6 |
221,7 |
267,5 |
326,1 |
|
|||
|
15 |
Сальдо накопленного потока |
-500,0 |
-793,7 |
-315,0 |
-93,4 |
174,1 |
700,5 |
|
|||
|
16 |
Коэффициент дисконтирования при ставке дохода 20% |
1,00 |
0,909 |
0,826 |
0,751 |
0,683 |
0,621 |
|
|||
|
17 |
Дисконтированное сальдо суммарного потока |
-500,0 |
-17,9 |
169,1 |
166,5 |
182,7 |
250,3 |
|
|||
|
18 |
Дисконтированные инвестиции |
-600,0 |
-126,4 |
0,0 |
0,0 |
0,0 |
0,0 |
|
|||
Чистый доход (ЧД) = 700,5 тыс.руб.
Определим ЧДД проекта при норме дисконта Е = 20%, приводя поток к шагу 0 (t0=0). ЧДД = 250,7 млн. руб. Таким образом, проект эффективен.
Внутренняя норма доходности (ВНД) равна 30%. ВНД>Е, это еще раз подтверждает эффективность проекта.
Потребность в финансировании (ПФ) равна 793,7 тыс. руб. (периоде 1).
Срок окупаемости:
(4.9)
где Ссум4 - сальдо суммарного потока 4 периода
С н3 - сальдо накопленного потока 3 периода.
Срок окупаемости, отсчитанный от начала нулевого периода, составляет 4,38 года, если же отсчитывать его от начала операционной деятельности (конец нулевого периода), он окажется равным 3,38 года.
Расчет индекса доходности инвестиций (ИД):
(4.10)
Для определения дисконтированного индекса доходности (ИДД) найдем сумму дисконтированных инвестиций (ДК).
ДК=726,4 тыс.руб. Тогда
(4.11)
Так как ЧДД >0, то ИДД >1.
Определение эффективности происходит на основе расчета интегрального показателя эффективности научного исследования. Его нахождение связано с определением двух средневзвешенных величин: финансовой эффективности и ресурсоэффективности.
Интегральный финансовый показатель разработки определяется как:
(4.12)
где
- интегральный финансовый показатель разработки;
Фрi - стоимость i-го варианта исполнения;
Фmax - максимальная стоимость исполнения научно-исследовательского проекта (в т.ч. аналоги).
Интегральный
показатель ресурсоэффективности вариантов исполнения объекта исследования можно
определить следующим образом:
,
(4.13)
где
- интегральный показатель ресурсоэффективности вариантов;
-
весовой коэффициент i-го параметра;
,
- бальная оценка i-го параметра для аналога и
разработки, устанавливается экспертным путем по выбранной шкале оценивания;
n
- число параметров сравнения.
Таблица 27 - Сравнительная оценка характеристик вариантов исполнения проекта
|
ПО |
Весовой коэффициент параметра |
Текущий проект |
Аналог 1 |
Аналог 2 |
||
|
1 Способствует повышению качества выпускаемой продукции |
0,2 |
5 |
3 |
4 |
||
|
2 Соответствие стандартам |
0,3 |
4 |
3 |
3 |
||
|
3 Удовлетворение требованиям заказчиков |
0,15 |
5 |
3 |
3 |
||
|
4 Качество выполнения |
0,15 |
4 |
3 |
3 |
||
|
5 Ресурсоэффективность |
0,1 |
4 |
4 |
4 |
||
|
6 Конкурентоспособность |
0,1 |
4 |
4 |
4 |
||
|
ИТОГО |
1 |
26 |
20 |
21 |
||
![]()
=5*0,2+4*0,3+5*0,15+4*0,15+4*0,1+4*0,1=4,35
![]()
=3*0,2+3*0,3+3*0,15+3*0,15+4*0,1+4*0,1=3,2
![]()
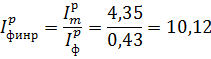
=4*0,2+3*0,3+3*0,15+3*0,15+4*0,1+4*0,1=3,4
Интегральный
показатель эффективности разработки (
) и
аналога (
) определяется на основании интегрального показателя
ресурсоэффективности и интегрального финансового показателя по формуле:
(4.14)
Сравнение интегрального показателя эффективности текущего проекта и
аналогов позволит определить сравнительную эффективность проекта. Сравнительная
эффективность проекта:
(4.15)
Таблица 28 - Сравнительная эффективность разработки
|
№ п/п |
Показатели |
Разработка |
Аналог 1 |
Аналог 2 |
|
|
1 |
Интегральный финансовый показатель разработки |
0,43 |
1 |
0,99 |
|
|
2 |
Интегральный показатель ресурсоэффективности разработки |
4,35 |
3,2 |
3,4 |
|
|
3 |
Интегральный показатель эффективности |
10,12 |
3,2 |
3,43 |
|
|
4 |
Сравнительная эффективность вариантов исполнения |
|
3,16 |
2,95 |
|
Выводы по разделу
В экономической части данной дипломной работы были рассмотрены основные и требуемые экономические показатели. При планировании и организации НИР составлен перечень работ необходимых для достижения поставленных задач.
Оценка организационно-экономической эффективности доказывает, что разработанная система менеджмента качества на основе CALS - технологий повысит эффективность и результативность отдела менеджмента качества предприятия - заказчика, что приведет к повышению эффективности работы предприятия в целом.
Данный раздел магистерской работы был оформлен как проект, состоящий из четырех этапов: предпроектный анализ, инициация проекта, планирование проекта и эффективность работ проекта.
На стадии инициации проекта были определены изначальные цели проекта и фиксированы изначальные финансовые ресурсы. Также были определены внутренние и внешние заинтересованные стороны проекта, которые будут влиять на общий результат научного проекта, и сформирована рабочая группа проекта.
На стадии планирования проекта был составлен перечень выполненных работ по проведению НИР и календарный план проекта в виде диаграммы Ганта, а также рассчитан бюджет научных исследований.
В целом оценка организационно-экономической эффективности доказывает, что
разработанная система менеджмента качества повысит эффективность и
результативность работы отдела менеджмента качества, поможет повысить
конкурентоспособность предприятия, выведет его на качественно новый уровень.
5 Социальная ответственность
5.1 Описание рабочего места
Трудовая активность человека, во многом определяется условиями, в которых ему приходится работать. К ним, прежде всего, относится рабочее место и рабочее пространство. В разделе проанализированы вопросы, по организации рабочего места в соответствии с нормами производственной санитарии, техники производственной безопасности и охраны окружающей среды.
В этой главе рассмотрено рабочее место в ООО «ДСУ «РОСМАГИСТРАЛЬ», на котором проводились научно-исследовательские работы по теме магистерской диссертации. Работа проводилась с использованием персонального компьютера. Проектирование рабочего места - это целесообразное пространственное размещение в горизонтальной и вертикальной плоскостях функционально взаимоувязанных средств производства (оборудования, оснастки, предметов труда и др.), необходимых для осуществления трудового процесса.
При проектировании рабочих мест должны быть учтены освещенность, температура, влажность, давление, шум, наличие вредных веществ и прочие санитарно-гигиенические требования, необходимо уделить внимание охране окружающей среды, а именно, организации безотходного производства и учитывать возможность чрезвычайных ситуаций.
При выполнении работ на персональном компьютере (ПК) могут иметь место следующие факторы:
§ повышенная или пониженная температура воздуха рабочей зоны;
§ повышенная или пониженная влажность воздуха;
§ повышенный или пониженный уровень отрицательных и положительных аэроионов;
§ повышенное значение напряжения в электрической цепи, замыкание;
§ повышенный уровень статического электричества;
§ повышенный уровень электромагнитных излучений;
§ повышенная напряженность электрического поля;
§ отсутствие или недостаток естественного света;
§ недостаточная искусственная освещенность рабочей зоны;
§ повышенная яркость света;
§ повышенная контрастность;
§ прямая и отраженная блескость;
§ зрительное напряжение;
§ монотонность трудового процесса;
§ нервно-эмоциональные перегрузки.
.2 Анализ выявленных вредных проявлений факторов производственной среды
.2.1 Метеоусловия
В ходе подготовки магистерской диссертации, согласно СанПиН 2.2.4.548-96. 2.2.4. «Физические факторы производственной среды. Гигиенические требования к микроклимату производственных помещений. Санитарные правила и нормы», нагрузки относятся к категории работы Iа с интенсивностью энергозатрат до 120 ккал/ч (до 139 Вт), все исследования проводились в основном сидя с незначительными физическими нагрузками. Микроклимат в производственных условиях определяется следующими параметрами:
) температура воздуха;
) относительная влажность воздуха;
) скорость движения воздуха.
На рабочем месте пользователей должны обеспечиваться оптимальные
параметры микроклимата. На работах, производимых сидя и не требующих
физического напряжения, температура воздуха должна быть в холодный период года
от 22 до 24°С, теплый период года - от 23 до 25°С. Относительная влажность
воздуха на постоянных рабочих местах должна составлять 40-60%, скорость
движения воздуха должна быть 0,1 м/с. Для повышения влажности воздуха в
помещениях следует применять увлажнители воздуха.
.2.2 Производственный шум
Допустимый уровень шума - это уровень, который не вызывает у человека значительного беспокойства и существенных изменений показателей функционального состояния систем и анализаторов, чувствительных к шуму.
Соблюдение
ПДУ шума не исключает нарушения здоровья у сверхчувствительных лиц. Уровни шума
<#"879364.files/image044.gif">
расстояние
светильников от потолка (свес) ![]()
.
Высота
светильника над рабочей поверхностью определяется по формуле:
Расстояние
между соседними светильниками или рядами определяется по формуле:
Число
рядов светильников в помещении:
Число
светильников в ряду:
Общее число светильников:
Расстояние от крайних светильников или рядов до стены определяется по
формуле:
Индекс помещения определяется по формуле:
Коэффициент
использования светового потока, показывающий какая часть светового потока ламп
попадает на рабочую поверхность, для светильников люминесцентными лампами типа
L18/31-830 PLUS при ![]()
![]()
и
индексе помещения ![]()
равен ![]()