Оглавление
Задание на курсовую работу
1. Общие сведения
2. Растворимость осадка малорастворимого соединения в чистой воде
3. Растворимость осадка малорастворимого соединения в водном растворе, содержащем в избытке одноименный ион
4. Растворимость осадка малорастворимого соединения в водном растворе, содержащем в избытке ионы, не входящие в осадок
5. Влияние конкурирующих равновесий на растворимость осадков
5.1 Растворимость осадка малорастворимого соединения с учетом протолитических реакций их ионов
5.2 Растворимость осадка малорастворимого соединения при наличии в растворе комплексующих агентов
5.3 Расчет растворимости осадков с учетом одновременного влияния различных факторов
5.4 Расчет минимальной растворимости осадков
5.4.1 Растворимость осадка, образованного анионом слабой кислоты и катионом слабого основания
5.4.2 Влияние комплексообразования на растворимость солей
Практическая часть
Выводы
Список
литературы
Задание на курсовую работу
. Изложить краткие теоретические сведения по вопросу о равновесии в насыщенных растворах малорастворимых соединений.
. Проанализировать влияние различных факторов на растворимость малорастворимых соединений.
.1. Найти растворимость вещества А (см. таблицу заданий по вариантам) в чистой воде.
.2. Рассмотреть, как меняется растворимость вещества А в водных растворах вещества В, при изменении концентрации В от 0,1 до 1000 моль/м3 при 298 К. Изобразить графически зависимость растворимости от ионной силы раствора.
.3. Построить графически зависимость среднеионного коэффициента активности в растворе В от величины концентрации вещества в указанном (2.2. В диапазоне концентраций по справочным данным. Сопоставить эти значения с рассчитанными по теории Дебая-Хюккеля для трех концентраций: 0,0005 моль/л; 0,01 моль/л; 0,12 моль/л.
.4. Рассмотреть влияние гидролиза аниона (катиона) малорастворимой соли С в водном растворе при изменении рН в диапазоне от 1 до 12.
.5. Найти такую концентрацию вещества Е, когда растворимость малорастворимой соли D в водных растворах, содержащих соединение Е (от 10-4 до 1,0 моль/л), будет минимальна.
. На примере моделирования возможной экологической проблемы, связанной с очисткой сточных вод от ионов тяжелых металлов, сделать выводы о том, влияние каких факторов, способствует наиболее полному переходу этих ионов в осадок.
растворимость соль ионный
1. Общие сведения
В аналитической и экологической практике часто имеют место случаи, когда в равновесии находятся две фазы - раствор и осадок малорастворимого соединения. Такой раствор называется насыщенным раствором малорастворимого соединения. Количественно состояние водного раствора с малорастворимым соединением можно описать, используя такой термин, как растворимость.
Растворимость - это концентрация насыщенного раствора. Эту величину обозначают или s или сн.р. Ее можно выразить в шкале концентраций: моль/л или г/л.
В водном растворе, насыщенном относительно малорастворимого соединения,
устанавливается одно или несколько равновесий. Например, в насыщенном растворе
малорастворимого соединения MAтв
возможны такие
равновесия
MAтв ![]()
MAр-р (1)
MAр-р ⇄ M+ + A- (2)
Константа первого равновесия (при выражении ее через равновесные
концентрации) имеет вид
![]()
(3)
Активность чистого твердого вещества постоянная при заданной температуре
и остается такой пока есть твердая фаза. Поскольку концентрация насыщенного
раствора мала, то можно перейти от активностей к концентрациям компонентов.
К1 = K[MAтв] = [MAр-р]. (4)
Константа равновесия второй реакции выразится
![]()
(5)
Концентрация растворенных молекул малорастворимого вещества очень мала и
поэтому можно предположить, что оно практически нацело диссоциирует на ионы:
(для простоты мы рассматриваем одно-одновалентный тип малорастворимого
соединения). Суммируя оба равновесия, имеем:
MAтв ![]()
MAр-р = M+ + A-; (6)
MAтв ⇄ M+ + A-. (7)
Если перемножить уравнения (4) и (5), то получим произведение двух
констант или произведение растворимости, которое является константой равновесия
суммарной реакции (7).
К1К2=ПРМА=![]()
. (8)
Следует отметить, что уравнение (8) применимо только насыщенным растворам, находящимся в равновесии с твердой фазой MAтв.
Уравнением (8) введено такое понятие, которое широко используется при описании равновесий в водных растворах малорастворимых соединений - как произведение растворимости. Такое название носит исторический характер. На современном этапе оно скорее может быть названо - произведение активностей.
Действительно, реакции, описываемой уравнением (7), соответствует закон
химического равновесия, выраженный уравнением:
![]()
=![]()
, (9)
где
![]()
-
активности ионов, равные произведению их концентрации на коэффициент
активности.
Активность
иона (например, катиона) может быть найдена как произведение концентрации этого
иона на коэффициент активности +с+г (иногда коэффициент активности
обозначается f+)
а+= c+ г+ . (10)
Поскольку речь идет о равновесии в насыщенном растворе малорастворимого
соединения, то будем обозначать равновесных концентрации ионов в таком виде
![]()
=[![]()
] . (11)
Несмотря на то, что для экспериментального определения коэффициентов
активности существует много различных прямых и косвенных методов, все они
позволяют определить лишь среднеионный коэффициент активности г± . Уравнение (9) примет вид
ПРМА=![]()
г2±. (12)
Теперь запишем уравнение равновесия в водном растворе малорастворимого
соединения в общем виде Mv+Av-
Mv+ Av-тв= Mv+ Av-р-р = v+Mz++v-Az- . (13)
cн.р.
Закон
равновесия: ![]()
=![]()
, (14)
где![]()
-
равновесные активности ионов в растворе.
Словами этот закон можно сформулировать следующим образом: активности ионов в насыщенном растворе малорастворимого соединения могут изменяться лишь таким образом, чтобы их произведение растворимости оставалось постоянным.
ПР как любая константа равновесия зависит от температуры.
При экспериментальном определении растворимости, чаще всего проводится химический анализ для определения концентрации какого-то конкретного иона, а не всей молекулы. Поэтому, если малорастворимое соединение содержит разное число анионов и катионов в молекуле (например, - один катион и два аниона), то обязательно нужно указывать, как определяли растворимость, по какому иону. Определенную экспериментально по любому иону растворимость соединения нужно приводить в соответствие с концентрацией насыщенного раствора малорастворимого соединения cн.р. .
С
учетом (10) уравнение (14) примет вид
![]()
=![]()
. (15)
В выражение (15) входит среднеионный коэффициент активности, который согласно теории Дебая - Хюккеля зависит от ионной силы раствора, температуры и других факторов.
По теории Дебая-Хюккеля имеем следующие законы:
Предельный закон Дебая-Хюккеля:
![]()
, (16)
где
![]()
-
среднеионный коэффициент активности электролита, при выражении концентрации в
с- шкале, моль/л ; ![]()
- заряды
ионов.
A - коэффициент,
который зависит от температуры и диэлектрической проницаемости среды (е) и
согласно теории Дебая-Хюккеля может быть найден:
A = 
. (17)
Причем, если концентрации выражать в моль/л ,то для водных растворов при 298 К А= 0,5093 моль- 0,5 л0,5 .
В уравнение (16) входит также величина, называемая ионной силой раствора
I = 
. (18)
Уравнение (16) не содержит индивидуальных характеристик иона, оно справедливо лишь до величины ионной силы 10 -3 моль/л.
Во втором приближении теории авторы учли размеры ионов, и силы
некулоновского происхождения препятствующие сближению одноименно заряженных
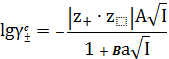
частиц. Расширенное уравнение Дебая-Хюккеля имеет вид

, (19)
где величина a - по своему
физическому смыслу соответствует расстоянию, на которое могут сближаться
электрические центры двух ионов, то есть примерно 3·10 -8 см; В - константа,
зависящая от температуры и свойств среды
B = ![]()
⋅. (20)
Для водных растворов при 298 К В = 1,0393 ·108 моль - 0,5 м 0, 5 .
С учетом значений констант при 298 К для водных растворов имеем:

. (21)
Это уравнение применяется при значении ионной силы в диапазоне 0,001 < I < 0,1 моль/л.
При больших значениях ионной силы раствора ( 0,1 < I < 0,5 ) для вычисления
приближенных значений коэффициентов активности ионов при 298 К в водных
растворах используют уравнение, предложенное Дэвисом

,. (22)
Из анализа уравнений (16), (21), (22) видно, что среднеионный коэффициент активности тем меньше, чем больше величина ионной силы раствора.
Преобразуем уравнение (15) к виду, удобному для дальнейшего анализа:
прологарифмируем его и решим относительно концентрации ионов металла:
lg![]()
=- ![]()
. (23)
Насыщенный раствор малорастворимого соединений можно считать предельно
разбавленным, так как концентрация насыщенного раствора очень маленькая,
поэтому можно использовать для определения коэффициентов активности предельный
закон Дебая-Хюккеля.
lg![]()
=- ![]()
. (24)
Из анализа уравнения (24) видно, что концентрация насыщенного раствора зависит от многих факторов:
температуры;
наличия в воде каких-либо хорошо растворимых веществ, существенно изменяющих коэффициенты активности;
величины ионной силы раствора;
величины рН раствора, если анион или катион малорастворимого соединения
относятся к слабым электролитам и участвуют в кислотно-основных ионных
равновесиях.
2. Растворимость осадка малорастворимого соединения в чистой воде
Воспользуемся приведенной ранее реакцией в общем виде:
Mv+ Av-тв= Mv+ Av-р-р = v+Mz++v-Az- . (1)
cн.р.
Запишем закон равновесия
![]()
=![]()
. (2)
При отсутствии в воде каких-либо сильных электролитов, можно полагать,
что коэффициенты активности близки к единице, так как концентрация насыщенного
раствора в случае малорастворимого соединения очень мала. Выразим равновесную
концентрацию ионов через концентрацию насыщенного раствора согласно
стехиометрическому уравнению (1)
![]()
(3)