Материал: Расчет шпиндельного узла

Внимание! Если размещение файла нарушает Ваши авторские права, то обязательно сообщите нам


- упругая деформация тел качения и колец подшипника;

- контактная деформация на поверхностях посадок колец подшипника на шейку шпинделя и в корпус.


Р-нагрузка, кг

α-2/3


ширина подшипника

- диаметр внутреннего кольца подшипника

-диаметр наружного кольца


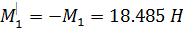
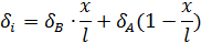
,- упругие деформации передней и задней опор шпинделя

-отношение консоли шпинделя к длине пролёта


Сравнения упругих деформаций шпиндельного узла с допустимыми деформациями.

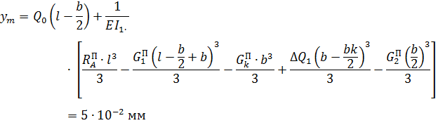
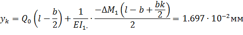
Определяем результирующие перемещения и угол поворота переднего конца шпинделя для этого алгебраически складываем перемещение шпинделя обусловленные деформацией самого шпинделя и деформацией его опор.


Условие жёсткости шпиндельного узла выполняется, так как соблюдается данное условие.

Расчет шпинделя на виброустоичивость

Шпиндели металлорежущих станков должны обладать виброустоичивость так как вибрация шпинделя непосредственно влияет на качество обработки. Шпиндель токарных станков испытает изгибные и крутильные колебания. Набольшее влияние на качество обрабатываемой детали а также на долговечность подшипников оказывает изгибные колебания шпинделя.

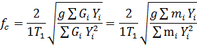
Суть расчета шпиндельного узла на виброустоичивость заключаться в определении частоты собственных изгибных колебаний шпиндельного узла и сравнении их с частотой возникающих сил.

В общем случае шпиндельный узел представляет собой сложную динамическую систему. Динамика, которой описывается диф. уравнениями. Так как шпиндель представляет собой тело с ступенчато определенной массой решение диф уравнений сможет найти бесчисленное количество возможных амплитуды форм колебаний. Решение этой задачи представит значительные трудности с практической точки зрения.

Возникающие силы обусловлены переменными силами резания, дисбалансом деталей посаженых на шпиндель, переменной жесткостью опор и колебаниями фундамента на который установлен станок.

Низкая частота собственных колебаний узла определяется по формуле Гелея:

= 9,810 мм/ - ускорение свободного падения

- вес элемента или участка шпинделя

-перемещение участка шпинделя под центром тяжести участка или тела

- масса участка, закреплённого на шпинделе

Из анализа формулы Релея, следует, что для определения частоты собственных изгибных колебаний шпинделя необходимо определить перемещение центров тяжести участков и тел, закреплённых на шпинделе. Эти перемещения также как и при расчете шпиндельного узла на жёсткость обусловлены деформацией самого шпинделя как упругого тела и деформацией его опор.

Учитывая, что шпиндель представляет собой тело ступенчатого переменного сечения, для определения этих перемещений необходимо привести его к эквивалентной балке постоянного сечения и дальнейших расчет вести с помощью удар-ния метода начальных параметров так же, как и при расчете на жесткость.

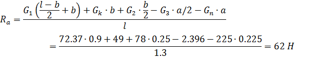
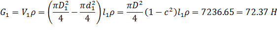
Определим силы тяжести отдельных элементов, на которые разбит шпиндель


- длинна первого участка

- 7.8 г/



 H

 H

 H

 H

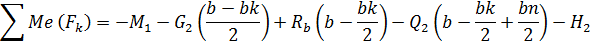
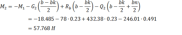
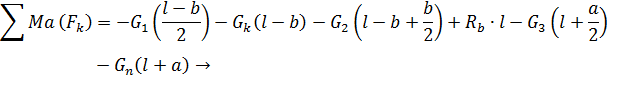
Определим реакцию шпиндельных опор из уравнения равновесия шпинделя.


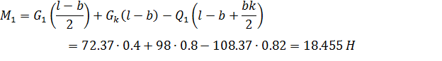
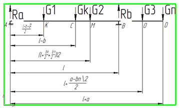
Расчленяем шпиндель на участки, границами которых является перепад сечения. К каждому участку прикладываем в местах рассечения внутренние силовые факторы Q и M.

Участок №-1



Определим моменты инерции сечения каждого участка:


Выбираем один из участков в качестве основного определяем коэф. приведения. В качестве основного участка принимаем первый


Определим приведение нагрузки и прикладываем их к соответствующим участкам, изображая участки одинакового диаметра, равного диаметру основного участка.

Участок 1


Участок 2

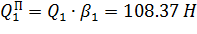
200.19 H


Участок 3


Соединим участки в одну балку постоянного сечения и определим избыточнее нагрузки .


К полученной балке постоянного сечения прикладываем все приведённые нагрузки. Производим проверку правильности расчетов загрузки балки.


Загрузка балки произведена, верно. Полученная балка является эквивалентной.

Определяем перемещение сечения упругими деформациями его опор под действием сил тяжести

Определим жёсткость передней и задней опор

Передней опоры:


Задней опоры:


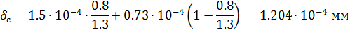
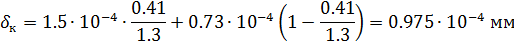
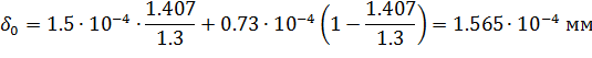
Определим деформации передней и задней опор

мм

мм

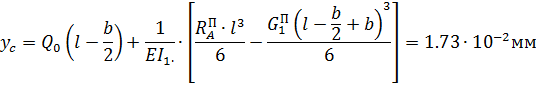
Определим перемещение сечения шпинделя, обусловленное упругими деформациями опор А и В


Расчетная схема шпинделя для определения перемещения его сечений, обусловлена деформацией опор


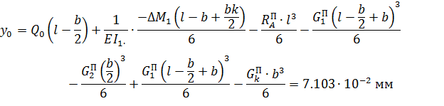
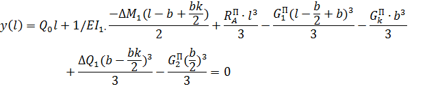
Для эквивалентной балки составляем уравнение методом начальных параметров с помощью него определим перемещения по центрам тяжести всех участков, которые обусловлены собственной упругой деформацией шпинделя.


Алгебраически складываем перемещения тяжести обусловленных деформацией самого шпинделя и его опор.


Находим низкую частоту собственных изгибных колебаний узла по:


Определим частоту возникающей силы обусловленной дисбалансом деталей посаженых на шпиндель


Частота обусловлена переменной жёсткостью опор


Для нормальной работы шпиндельного узла частота его собственных колебаний должна в 3 раза и больше превышать частоту возникающих сил. В нашем случае это условие выполняется.

Опора А:


Опора В:


Список литературы

1. Справочник технолога машиностроителя в 2-х томах, под редакцией А.Г. Косиловой и Р.К. Мещерякова 4-е издание, Машиностроение, 1985-496 с.

.2. Вульф А. «Резание металлов» - Машиностроение, 1973 - 496 с.

. Гузенко П.Г. Детали машин - Высшая школа, 1982

. Дарков А. В. Шпиро Г. С. Сопротивление материалов - Высшая школа, 1980-500 с.

. Колев Н. С. И др. Металлорежущие станки Машиностроение, 1980

. Пум А. Э. Конструирование металлорежущих станков, Машиностроение, 1977 - 392 с.