Материал: Расчет шпиндельного узла

Внимание! Если размещение файла нарушает Ваши авторские права, то обязательно сообщите нам

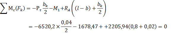
Определяется диаметр шпинделя из условия прочности на совместное действие изгиба и кручения.




допускаемое напряжение на изгиб

Принимаем

Принимаем

Принимаем



Расчёт шпинделя на сопротивление усталости

Этот расчёт выполняется как проверочный для определения расчётного коэффициента запаса прочности в опасном сечении с учётом характера изменения напряжений типа напряженного состояние абсолютных размеров конструктивной формы, состояния поверхности и др. факторов. влияющих на прочность шпинделя. Опасным считается сечения шпинделя, для которого коэффициент запаса прочности имеет наименьшее значение в общем случае оно может не совпадать с сечением где действует наибольший эквивалентный момент. рекомендуется принимать . При определении расчётного коэффициента по нормальным напряжениям растяжения сжатия пренебрегают. В этом случае характер изменения напряжений соответствует симметричному циклу, среднее напряжение цикла при изгибе ????м=0, а при амплитуде цикла при изгибе


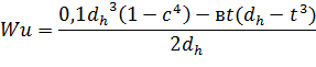
, узгибающий момент и момент сопротивлении про изгибе в рассматриваемом сечении шпинделя.

Значение момента сопротивления:

при расчёте полого шпинделя

При расчёте полого шпинделя по сечению, где имеется шпоночная канавка


наружный диаметр шпинделя;

в, t -ширина и глубина шпоночной канавки;


Определим коэффициенты запаса прочности


 предел выносливости про изгибе и кручении при симметричном цикле напряжений.

амплитуды циклов при изгибе и кручении;

эфективные коэффициенты концентрации напряжений;

 коэффициент влияния абсолютных размеров поперечного сечения

, ,

опасное сечение

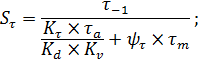
В процессе эксплуатации станка шпиндель сравнительно резко подвергается реверсивной нагрузке. Поэтому при определении коэффициента запаса прости по касательным напряжениям при кручении изменяются по отнулевому циклу, а амплитуда

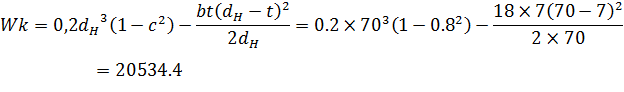
крутящий момент и момент сопротивления при кручении в рассматриваемом сечении шпинделя. Значения (момента сопротивления) вычисляется при расчёте полого шпинделя:

При расчёте шпинделя полого по сечению, где имеется шпоночная канавка:


Определим коэффициент запаса прочности:


коэффициент чувствительности к ассиметрии цикла напряжений

опасное сечение

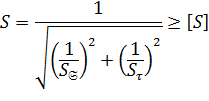
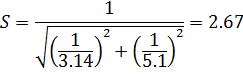
Определим запас прочности в опасном сечении


 2.67 2.5 - условие выполняется

Расчёт шпинделя на жёсткость

Суть расчёта шпиндельного узла на жёсткость заключается в определении перемещения и угла поворота переднего конца шпинделя и сравнении их с допускаемыми.

В общем случае на шпиндель действуют следующие внешние силы:

.        Составляющие силы резания

.        Силы, возникающие в приводном элементе

.        Силы тяжести самого шпинделя

Эти силы вызывают деформацию самого шпинделя и его опор и в конечном итоге перемещения и поворот переднего конца шпинделя что сказывается на качестве обработки.

Перемещения и поворот переднего конца шпинделя обусловлено деформацией самого шпинделя как упругого тела и деформацией его опор и внешними силами действующими на шпиндель.

В свою очередь деформация опор обусловлена деформацией тел качения, деформацией беговых дорожек и деформацией мест посадок колец на шпиндель и в корпус.

Для определения собственных упругих деформаций шпинделя, учитывая, что он представляет балку ступенчато-переменного сечения, необходимо привести его к эквивалентной балке постоянного сечения, а затем применить метод начальных параметров из сопромата.























Порядок расчёта шпиндельного узла на жёсткость

. Составим конструктивную схему шпинделя, на которой указывается расположение опор приводных элементов.

. На основании конструктивной схемы и внешних сил, действующих на шпиндель, составим расчётную схему узла. При расчёте на жёсткость перемещения и угол поворота переднего конца шпинделя осуществляется в горизонтальной плоскости.

. Шпиндель ступенчато-переменного сечения приводим к эквивалентной балке постоянного сечения.

Для этого шпиндель ступенчато-переменного сечения рассекаем по участке, границами кот.является перепады сечения, а к отсечённым участкам прикладывают внешние силы действующие на них.

Определим внутренние силовые факторы

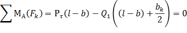
Составим уравнение равновесия участка к которому приложены внешние силы и внутренние силовые факторы

Участок 1


Проверка:


Участок 2


Определим моменты инерции сечения каждого участка:


наружный диаметр шпинделя

Выбираем один из участков в качестве основного и определим коэффициент приведения:


Определим приведенные нагрузки, приложенные к каждому участку, для чего все силы и моменты приложенные к участку умножаем на коэффициент приведение каждого участка:


Изображаем все участки равные диаметру основного участка и прикладываем к ним приведенные нагрузки.

Определим избыточные нагрузки, возникающие в местах перепада сечений:


Соединим участки шпинделя в одну эквивалентную балку. К балке прикладываем все приведенные внешние силы и избыточные нагрузки  и  в соответствующих сечениях.

Производится проверка правильности подсчётов загрузки эквивалентной балки. Для этого составляется одно из трёх уравнений равновесия данной балки и проверяется соблюдение условия равновесия.

Полученная эквивалентная балка является окончательной расчётной схемой шпинделя при расчёте его на жёсткость.


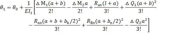
Для полученной эквивалентной балки составим уравнение методом начальных параметров, из которого определим угол поворота и перемещения переднего конца шпинделя обусловленные упругой деформацией шпинделя.

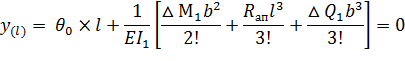
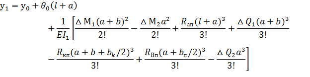
Для принятой расчётной схемы шпинделя с использованием метода нормальных параметров уравнения для определения перемещений и угла поворота сечения крайнего правого конца шпинделя запишем в виде:

для перемещения


для угла поворота сечения


,- начальные параметры: l, b, a - расстояния между сечениями, в которых приложены соответствующие силы и моменты; E= 2×105МПа-модуль упругости первого рода материала шпинделя.

Начальные параметры находятся из опорных условий: при х=0, у(0)=0, следовательно у0=0 при х=0. Последнее условие используется для определения второго начального параметра :


Значение нормальных параметров ,подставим в уравнение, из которых определяются перемещения и угол поворота сечения крайнего правого конца шпинделя.


для угла поворота сечения


Определим перемещения и угол поворота переднего конца шпинделя обусловленные упругими деформациями опор.

При расчёте на жёсткость перемещения и угол поворота перед. Конца шпинделя осуществляется только в горизонтальной плоскости.












Расчетные схемы шпинделя для определения упругих деформаций опор

шпиндель прочность усталость сечение

Радиальные нагрузки на подшипнике передней и задней опор шпинделя численно равны реакции  этих опор. Осевую нагрузку от составляющей сил резания  воспринимает только подшипник передней опоры, так как задняя выполнена плавающей. Упругое деформации опор определяются по формуле