1.7 Упаковка и хранение баранок
На хлебопекарных предприятиях выходящие из печи изделия подаются ленточными транспортерами на циркуляционные столы, откуда укладываются вручную в контейнеры, на вагонетки, лотки, стеллажи, в кулеры. Укладывание, хранение и транспортирование хлеба и булочных изделий осуществляется по ГОСТ 8228-56, бараночных - по ГОСТ 7128-91, сухарных - по ГОСТ 8494-96, а также по другой нормативной документации, согласованной и утвержденной в установленном порядке.
Хранение готовой продукции до отправки в торговую сеть осуществляют в
остывочном отделении предприятия и в экспедиции. Остывочное отделение и
экспедиция должны быть освещенными, оборудованными приточно-вытяжной
вентиляцией. Они должны быть чистыми, в них не должны храниться другие продукты
или материалы.
Максимальные сроки хранения изделий в остывочном отделении и в экспедиции
предприятия, сроки реализации или их годности указаны в нормативной и
технической документации. Сортировку по внешнему виду и учет выработанной
продукции осуществляется перед отправкой её в остывочное отделение, экспедицию
или заказчику. Систематический контроль качества изделий по органолептическим
показателям на предприятиях осуществляют контролеры или лица, на которые
возложена эта функция. Оценку качества изделий по физико-химическим показателям
осуществляет лаборатория предприятия.В настоящее время для упаковывания
хлебобулочных изделий применяются различные упаковочные виды пленок:
полиэтиленовая (низкой или высокой плотности); полиэтиленовая термоусадочная;
полипропиленовая и др.
1.8 Описание механизированной схемы производства
баранок
Муку доставляют на хлеб завод в авто-муковозах, принимающих до 1-2 т. Мука поступает в силосы для хранения, затем просеивают через фильтры и попадает в производственный бункер.
Сырье (дрожжи, соль, сахар и молочная сыворотка) хранят в сборниках.
В дозировочную станцию попадает все сырье: мука, дрожжи, соль, сахар и молочная сыворотка.
Процесс приготовления бараночных изделий состоит из следующих операций:
приготовление теста, его отлежка, натирка, формование заготовок, расстойка,
обварка или: ошпарка тестовых колец, выпечка, нанизывание или- упаковка готовых
изделий. На современных предприятиях все эти операции механизированы (рис.2).
Рис. 2 Механизированная линия для производства бараночных изделий:
- шнек для подачи муки; 2- дрожжемешалка; 3- сахарорастворитель; 4 -
жирорастворитель; 5 - солерастворитель; 6 - дозатор жидких компонентов; 7 -
тестомесильная машина с дозатором муки; 8-секционный бункер для брожения опары;
9 - шнек для подачи опары; 10- шнек-пластификатор с матрицей; 11-режущее
устройство для теста; 12 - делительно-закаточиа» машина; 13 - стол; 14 -
конвейерный шкаф; 15 - ошпарочная камера; 16 - туннельная печь; 17 - ленточные
транспортеры; 18 - низальная машина.
1.9 Дефекты бараночных изделий
Бледная поверхность изделий может быть вызвана перекисшим тестом, излишней расстойкой заготовок, недостаточно высокой температурой в пекарной камере.
Вздутия и пятна на поверхности изделий возникают в результате неравномерного распределения сахара в тесте, слишком бурного брожения теста при завышенной дозировке дрожжей, а также при использовании моложавого, недостаточно выброженного теста.
Отсутствие глянца на поверхности изделий наблюдается как при недостаточной, так и при избыточной ошпарке тестовых заготовок, или при присутствии пара в печи. Поверхность изделия в последних двух случаях не только лишена глянца, но и становится также морщинистой, а изделия жесткими с пониженной хрупкостью.
Пониженнаянабухаемость изделий наиболее распространенный дефект. Она вызывается недостаточной выброженностью теста, излишней ошпаркой, длительной выпечкой при пониженной температуре или перекисшим тестом.
Подрывы и трещины на поверхности изделий могут быть вызваны моложавым тестом, недостаточной расстойкой, недостаточной ошпаркой, слишком крепким или заветренным тестом, плохой закаткой заготовок в спираль при формовании.
Расплывчатые, плоскодонные изделия получаются при слабом тесте, чрезмерно продолжительной ошпарке паром.
Дефекты, вызванные нарушением режима формования заготовок указаны выше.
1.10 Требования к качеству изделия
Требования к качеству бараночных изделий. Общими показателями качества для всех видов бараночных изделий являются внешний вид (форма, поверхность, цвет), внутреннее состояние, запах и вкус, влажность и кислотность. Форма изделий должна быть круглой и только у ванильных, лимонных баранок и сушек Челночок - овальной. С боков изделий допускается не более двух небольших притисков, а в изделиях ручной разделки еще и слипы, т. е. заметные места соединения концов жгута. Поверхность изделий должна быть глянцевой, гладкой, без вздутий и трещин, а у соответствующих сортов - равномерно посыпанной маком, тмином или солью. Допускаются незначительная шероховатость и наличие небольших трещин длиной не более 1/3 поверхности изделия. Окраска от светло-желтой до темно-коричневой. Внутреннее состояние бараночных изделий характеризуется разрыхленностью и пропеченностью теста, в котором не должно быть признаков непромеса и посторонних включений. Запах - приятный, соответствующий данному виду изделия, без посторонних примесей. Вкус - нормальный, свойственный изделию с привкусом ароматических и вкусовых добавок. Баранки должны быть хрупкими или ломкими, а сушки - хрупкими.
Влажность бараночных изделий различна. Так, влажность бубликов - 22-27%,
баранок - 14-18, сушек - до 8-12%. Набухаемость баранок и сушек - это
увеличение их массы при выдержке в воде с температурой 60°С в течение 5 мин.
При этом масса баранок должна увеличиваться не менее чем в 2,5 раза, а сушек -
в 3 раза. Недостаточно набухающие изделия плохо усваиваются организмом.
Технологическая часть
2. Описание ассортимента
Рецептура на баранки горчичные по ГОСТ 7128-91
Мука пшеничная 1 сорта 100,00 кг
Дрожжи прессованные х/п 1,00 кг
Соль поваренная пищевая 1,5 кг
Сахар-песок 8,0 кг
Масло горчичное 8,0 кг
Патока 1,0 кг
Итого 119,5 кг
Рецептура на баранки простые по ГОСТ 7128-91
Мука пшеничная 1 сорта 100,00 кг
Дрожжи прессованные х/п 0,5 кг
Соль поваренная пищевая 1,5 кг
Сахар-песок 1,0 кг
Итого 103,0
кг
2.1 Характеристика ассортимента изделий
Физико-химические показатели
Таблица 1.
|
Наименование изделия |
Наименование показателя и норма |
||||||||||
|
|
Массовая доля влаги, %, не более |
Кислотность, град, не более |
Щелочность, град,не более |
Пористость, %, не менее |
Массовая доля |
||||||
|
|
мякише |
изделий |
|
|
|
В пересчете на сухое вещество, % |
В пересчете на изделие |
Хлоридов, %, в пересчете на NaCl, не более |
|||
|
|
|
|
|
|
|
сахар |
сорбита |
жира |
Углево-дов, %, не более |
Йода, мг на 100г хлеба, не менее |
|
|
Баранки горчичные |
18,0 |
3,0 |
- |
- |
7,5 |
- |
7,5 |
- |
- |
- |
|
|
Баранки простые |
17,0 |
- |
3,0 |
- |
- |
- |
- |
- |
- |
- |
- |
2.2 Органолептические показатели
|
Наименование показателя |
Характеристика |
|
Внешний вид форма |
В виде кольца: овальная - для ванильных, лимонных баранок и сушек челночок; округлая - для всех остальных изделий |
|
Поверхность: |
Глянцевитая, гладкая, без вздутий и трещин, у соответствующих сортов посыпанная маком, тмином или солью. На одной стороне допускаются отпечатки сети, а также наличие небольших трещин |
|
Цвет |
От светло-желтого до темно-коричневого. Допускается более темный цвет и отсутствие глянца на стороне, лежавшей на листе, сетке или поду |
|
Состояние мякиша |
Разрыхленные, пропеченные, без признаков непромеса. У горчичных сушек и баранок цвет в изломе желтоватый |
|
Вкус и запах |
Вкус Соответствующий данному виду изделий с привкусом ароматических и вкусовых добавок, без постороннего привкуса Запах Свойственный данному виду изделий, без постороннего запаха. В соответствующих изделиях должен ощущаться запах внесенных специй |
2.3 Расчет выхода готовых изделий
1. При расчете выхода изделий предварительно следует рассчитать средневзвешенную влажность сырья:
![]()
(1)
где M, Д, C, N - кол-во сырья по унифицированной рецептуре, кг;
Wм, Wд, Wс, Wн - влажность сырья, %
2. Далее рассчитывают выход теста в кг:

(2)
где
![]()
- сумма
сырья по унифицированной рецептуре, кг;
![]()
-
влажность теста, % (![]()
=; 1)
средневзвешенная влажность сырья, %
Баранки горчичные
1. При расчете выхода изделий предварительно следует рассчитать средневзвешенную влажность сырья по формуле (1):
![]()
= 12,43
%
2. Далее рассчитывают выход теста в кг по формуле (2):

= 151,66
кг
3. Выход хлеба рассчитывают отдельно по каждому наименованию изделий по формуле (3) в %:
гдеВ - выход готовой продукции, %;
ВТ-выход теста, %;
К - количество сырья, затрачиваемого на разделку, смазку, отделку тестовых заготовок, кг;
Gбр.-затраты на брожение теста, % ;
Gуп - упек, %;
Gус. - усушка, %;
П - количество сырья на отделку выпеченных изделий, кг.
Баранки простые
1.При
расчете выхода изделий предварительно следует рассчитать средневзвешенную
влажность сырья по формуле (1): ![]()
= 14,17
%
1 Далее рассчитывают выход теста в кг по формуле (2):

= 128,12
кг
2 Выход бараночных изделий рассчитывают отдельно по каждому
наименованию изделий по формуле (3) в %:
где В- выход готовой продукции, %;
Вт - выход теста, %;
к-
количество сырья, затрачиваемого на посыпку или отделку тестовых заготовок,
кг;бр.- затраты на брожение теста, % (при ускоренных способах тестоведения от
1,6 до 1,8 %, при опарном - от 2 до 2,5 %);уп.- упек, % (от 16 до 22 %);ус.-
усушка, % (от 3 до 4 %).
2.4 Расчет часовой производительности печи и выхода
готовых изделий
Расчет производительности ротационной печи КЭП-400
.
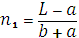
Определение по ширине листа:
![]()
(1)
![]()
-количество
изделий по длине листа, шт;
L-длина листа, мм;
b-ширина изделий, мм;
a-зазор между изделиями (подовыми) (20-30мм).
.
Определение по длине листа
![]()
(2)
![]()
-количество
изделий по длине листа, шт;
![]()
- длина
листа, мм;
B-ширина изделий, мм;
a-зазор между изделиями (подовыми) (20-30мм).
.всего количество изделий
n=![]()
(3)
Расчет
часовой производительности
,
где
![]()
- кол-во
люлек в печи;
![]()
- кол-во
тестовых заготовок на одной люльке, шт;
![]()
- масса
готовых изделий, кг;
t -
продолжительность выпечки, мин
Баранки горчичные
. Определение по ширине листа (1)
![]()
=5шт
. Определение по длине листа (2)
![]()
=4шт
. Всего количество изделий (3)
![]()
шт
4. Расчет часовой производительности (4):
,
где
![]()
- кол-во
люлек в печи;