Материал: Расчет надежности локальных систем без учета восстановления

Внимание! Если размещение файла нарушает Ваши авторские права, то обязательно сообщите нам

Функциональное резервирование

Функциональным резервированием (ФР) называют способ повышения надёжности, использующий свойство технических систем (а также живых организмов, биологических и социальных систем) обеспечивать при отказах элементов безотказное функционирование за счёт перераспределения функций и более интенсивной работы элементов, выполнявших до отказа только свои основные функции. Выполнять дополнительные функции они способны лишь временно, и это может сопровождаться некоторым ухудшением общего качества работы, но в допустимых пределах. При ФР в системе нет «лишних» элементов - они все необходимы для выполнения требуемого набора функций. Характерной особенностью этого вида резервирования является как раз то, что даже из идеально надёжной системы нельзя удалить ни одного элемента, не вызвав перераспределения функций элементов и увеличения их функциональной нагрузки уже на постоянной основе, возможно, с переходом на более тяжёлые режимы работы.

Применение ФР обычно сопровождается введением информационной и алгоритмической избыточности.

Информационное резервирование

В современной технике управления и информационно-вычис-лительной технике информационная избыточность и информационное резервирование используются для улучшения многих характеристик. Оно влияет на показатели надёжности, достоверности обработки и передачи информации, точности вычислений, производительности. Способы введения информационной избыточности весьма разнообразны. Информационная избыточность существует в виде избыточности внутреннего информационного языка устройств обработки и передачи данных, в виде избыточности помехоустойчивых кодов. Её можно вводить и как избыточность массивов данных в составе файла данных, и как избыточность файловой структуры в памяти ЭВМ. Можно с уверенностью сказать, что без информационной избыточности в той или иной форме невозможно представить ни один информационный процесс в АСОИУ. Часто без информационной избыточности нельзя использовать другие виды резервирования. Не останавливаясь на косвенных способах влияния информационной избыточности на показатели надёжности, отметим лишь основные способы прямого влияния. Информационная избыточность (ИИ) уменьшает:

поток отказов системы, так как на все отказы элементов становятся отказами системы; если последствия отказа элемента удаётся устранить за счёт ИИ, то он не считается отказом системы;

время восстановления за счёт уменьшения объёма работ, обесцененных отказом; при этом уменьшается время, затрачиваемое на повторение обесцененной части работ, и увеличивается полезная наработка;

время восстановления за счёт сокращения времени обнаружения и поиска неисправности.

Алгоритмическое резервирование (АР)

Для выполнения стоящих перед системой задач необходимо не только иметь некоторый объём информации о характере и условиях выполнения задачи, о процессах, происходящих в системе и окружающей среде, но и обеспечить обработку этой информации в соответствии с алгоритмами функционирования. Каждой системе можно сопоставить алгоритм минимальной сложности. Все прочие алгоритмы, содержащие дополнительное количество операторов, по сравнению с минимальным алгоритмом будут избыточными. АР вводится для преодоления помех и случайных возмущений, вызванных, в частности, отказами элементов аппаратуры. Оно используется во взаимодействии с другими видами резервирования и в ряде случаев является необходимым условием их реализации.

4 Расчет надежности невосстанавливаемых систем с постоянным резервом


Общее постоянное резервирование с целой кратностью. Вероятность отказа Qp параллельно работающих т элементов при r = 1 определяется выражением (2), откуда для равнонадежных элементов

; . (8)

Чем меньше вероятность отказа каждого из элементов, тем выше эффективность постоянного резервирования. Так, если q = 0,1 и 0,01, а k = 1, то выигрыш в снижении вероятности отказа при резервировании составит соответственно 10 и 100. Рассмотрим связь показателей надежности группы резервированных элементов, кратности резервирования k и длительности работы элементов t при экспоненциальном законе распределения времени их безотказной работы. Если интенсивность отказов каждого из элементов , то согласно (1.12), (1.21), (1.22) имеем

; ; (9)

;

;

; .

Графики изменения PP(t/) и р(t/)/ в зависимости от кратности резервирования и длительности работы системы представлены на рис. 7. Они показывают, что постоянное резервирование эффективно на начальном участке работы системы, когда t  .

Для группы резервированных элементов средняя наработка до отказа

.

Рис. 7 Графики зависимости вероятности безотказной работы (а) и интенсивности отказов (б) от кратности резервирования

Работа рассматриваемой группы резервированных элементов характеризуется последовательным переходом по мере возникновения отказов от т работающих элементов к т-1, т-2 и далее до одного, отказ последнего приводит к отказу всей группы. Эту последовательность переходов иллюстрирует график, представленный на рис. 8. В случайные моменты времени t1, t2 и т. д. происходят отказы элементов, число работающих элементов n(t) постепенно снижается. Поскольку на каждом из участков T1 = t1, T2 = t2 - t1 и т. д. имеет место совместное функционирование т, т-1 и т. д. элементов, то случайные интервалы времени T1, Т2,...,Тт имеют экспоненциальное распределение с интенсивностями отказов соответственно m, (т-1), ...,  и средней продолжительностью 1 = 1/(m), 2 = 1/[(т-1)], = 1/. Поскольку , то значение средней наработки до отказа группы резервированных элементов определяется как 1/(m)+1/[(т-1)]+ 1/.

Рис. 8 Временная диаграмма изменения числа параллельно функционирующих устройств

Резервирование двухполюсных элементов. В большинстве случаев резервные элементы подключают параллельно основному. Однако при дифференциации видов отказов резервирование по каждому из них может осуществляться при различных способах включения резервных элементов. Наиболее характерным в этом отношении является резервирование элементов при отказах типа «обрыв» и «короткое замыкание» (КЗ). Для двухполюсных элементов релейного типа, имеющих два возможных состояния 1 и 0, этим отказам соответствует несрабатывание при наличии управляющего сигнала и ложное срабатывание при отсутствии последнего.

При последовательном соединении релейных элементов (рис. 9,а) несрабатывание любого из элементов приводит к отсутствию цепи между точками а и b. Таким образом, для этого вида отказов последовательное соединение релейных элементов является основным. Для отказов типа ложное срабатывание последовательное соединение является резервным, поскольку этот вид отказа цепи будет иметь место только при отказе двух элементов.

Рис. 9 Схемы последовательного (а) и параллельного (б) соединения релейных элементов и соответствующие им структурные схемы

Из рассмотренного вытекает, что одному и тому же соединению элементов для этих видов отказов соответствуют две структурные схемы. При последовательном соединении релейных элементов осуществляется резервирование по отказам типа КЗ. Если вероятность отказов этого типа для каждого элемента q, то Ba = q/q2 = q-1. Для отказов типа обрыв , т. е. последовательное включение релейных элементов приводит к повышению вероятности возникновения отказов типа обрыв цепи. При параллельном соединении релейных элементов (рис. 9,б) осуществляется резервирование по отказам типа обрыв с эффективностью BQ = 1/q, а по отказам типа КЗ надежность снижается.

Резервирование с дробной кратностью. При резервировании с дробной кратностью система может функционировать, если из п однотипных работающих параллельно элементов в работоспособном состоянии находятся r. Система отказывает, если число отказавших элементов z составляет . Используя метод перебора состояний, определим вероятность отказа такой системы

.

В каждом из состояний число работоспособных элементов составляет п - z, а вероятность этого состояния , тогда

,         (10)

где Cnz = n!/[z!(n-z)!] - число сочетаний из п элементов по z, причем 0! = 1; =1. При <<1 .

При экспоненциальном законе распределения времени безотказной работы и интенсивностях отказов  каждого из элементов

.    ( 11)

Поскольку без резерва система включает r работающих элементов, то вероятность отказа исходной системы при оценке эффективности резервирования составляет 1-(1-q)r. Так, если система включает три параллельно работающих элемента и r = 2, то при q = 0,1, k = 1/2, т = 2 согласно (11)

Q = ;

.

Резервирование с голосованием по большинству

Разновидностью постоянного резервирования с дробной кратностью является резервирование с голосованием по большинству (мажоритарное). Структурная схема системы, использующей это способ резервирования, представлена на рис. 10. Параллельно работает нечетное число элементов, их выходные сигналы х1, х2,..., хп поступают на вход элемента голосования Г (кворум-элемент), выходной сигнал которого совпадает с сигналом большинства элементов. В системах с таким способом резервирования обычно используются три элемента, реже пять. Для работоспособного состояния системы необходима правильная работа большинства элементов. Отказ системы наступает при числе отказов z  m = (n + 1)/2.

Рис. 10 Схема соединения элементов с голосованием по большинству

Рис. 11 Схема защиты от превышения давления в барабане котла

Вероятность отказа системы с мажоритарным резервированием при n = 3 и n = 5 равнонадежных элементах согласно (10) составляет соответственно:

Q3 = 3q2 - 2q3; Q5 = 10q3 - 15q4 + 6q5.  (12)

Эффективность этого способа резервирования при n=3 составляет BQ = q/(3q2 - 2q3) = 1/(3q - 2q2). Если q < 0,5, резервирование эффективно, при q = 0,5 надежность системы при резервировании не изменяется, а при q > 0,5 резервирование приводит к снижению надежности.

Мажоритарное резервирование широко применяют в системах защиты реакторов и теплотехнического оборудования. Так, система защиты от превышения давления в барабане котла, изображенная на рис. 11,а, включает электроконтактные манометры M1, M2, M3, силовое реле СР и электрический клапан сброса давления К. Система защиты срабатывает при замыкании контактов любых двух манометров из трех. Схема соединения контактов манометров представлена на рис. 11,б. Ток через обмотку силового реле СР протекает при замыкании любых двух пар контактов, специального кворум-элемента в таких системах не требуется. Отказы вида «ложное срабатывание» или «несрабатывание» в системе возникают при соответствующих отказах двух манометров из трех, т. е. этот способ резервирования равнонадежен для обоих видов отказов.

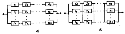
Рис. 12 Схема соединения элементов

Поэлементное резервирование. Надежность системы, содержащей группы элементов или отдельные элементы с поэлементным резервированием, рассчитывают с использованием формул общего постоянного резервирования (1), (2), (10). Так, если система состоит из п участков с поэлементным резервированием целой кратностью ki, то вероятность безотказной работы системы

,                  (13)

где qij - вероятность отказа j-го элемента, входящего в i-й участок резервирования.

Для сопоставления эффективности общего и поэлементного резервирования сравним вероятности отказа двух систем, включающих одинаковое n(k+1) число равнонадежных элементов (рис. 12). В первом случае (рис. 12, а) осуществляется общее резервирование системы из п элементов кратностью k, во втором случае (рис. 1 2, б) при поэлементном резервировании каждый из п элементов системы имеет k резервных.

Вероятность отказа системы с общим резервированием

.

Считая, что вероятность отказа каждого из элементов q<<1 и (1- q)n  1 - nq, получаем . Для раздельного резервирования, используя (13) и считая q<<1, получаем

.

Эффективность поэлементного резервирования по сравнению с общим  составит nk. С увеличением глубины п и кратности k резервирования его эффективность растет. Использование поэлементного резервирования сопряжено с введением дополнительных подключающих элементов, имеющих ограниченную надежность. В связи с этим имеется оптимальная глубина резервирования попт, при n>попт эффективность резервирования снижается.

Список литературы

1. Ястребенецкий М.А. Надежность автоматизированных систем управления технологическими процессами [Текст]: учеб. пособие для вузов/ М.А. Ястребенецкий, Г.М. Иванова. - М.: Энергоатомиздат, 1989. - 264 с.: ил.; 21 см. - Библиогр.: с. 259-260. - 8700 экз. - ISBN 5-283-01549-1.

. ГОСТ 27.301-95. Надежность в технике. Расчет надежности. Основные положения. М.: Издательство стандартов, 1997. - 15 с.

. ГОСТ 24.701-86. Единая система стандартов автоматизированных систем управления. Надежность автоматизированных систем управления. Основные положения. М.: Издательство стандартов, 1987. - 17 с.

. РД 03-418-01. Методические указания по проведению анализа риска опасных производственных объектов. Госгортехнадзор России, 2001.// Безопасность труда в промышленности. - 2001. - № 10. С. 40-50.

. Черкесов Г.Н. Надежность аппаратно-программных комплексов [Текст]: учеб. пособие/ Г.Н. Черкесов. - СПб.: Питер, 2005. - 479 с.: ил.; 24 см. - Библиогр.: с. 473. - 4000 экз. - ISBN 5-469-00102-4.