Материал: Расчет и моделирование работы волнового режекторного фильтра

Внимание! Если размещение файла нарушает Ваши авторские права, то обязательно сообщите нам

Рисунок 1. Классификация сред в зависимости от значений диэлектрической и магнитной проницаемостей

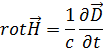
Чтобы понять электродинамические закономерности, присущие материалам в зависимости от знака ε и μ, следует обратиться к уравнениям Максвелла и материальным уравнениям, поскольку в них ε и μ выступают раздельно, а не в качестве произведения:


Для плоской монохроматической волны приведенные законы сводятся к выражениям:

 

из которых видно, что если ε>0 и μ>0, то вектора E, H и k образуют правую тройку и такая среда является обычной и называется «праворукой», а если ε<0 и μ<0, то тройка векторов E, H и k становится левой и такие среды «леворукие».

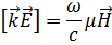
Поток энергии, которую переносит электромагнитная волна, характеризуется вектором Пойнтинга S, который всегда образует с векторами E и H правую тройку:


Соответственно, для правых веществ направления вектора Пойнтинга S и волнового вектора k совпадают, а для левых противоположны. Этот факт как раз и определяет параллельны или антипараллельны фазовая и групповая скорости, что влияет на распространение электромагнитной волны.

1.4     Фильтры СВЧ


В высокочастотной технике избирательные устройства, как правило, имеют в своей основе разнообразные отрезки линий передачи (коаксиальных кабелей, полосковых линий, металлических волноводов), являющихся по существу распределёнными колебательными системами. Исходя из этого, СВЧ фильтры могут быть разными по конструкции в зависимости от исполнения на микрополосковых, полосковых и волноводных линиях. В сантиметровом диапазоне частот обычно используют фильтры на металлических волноводах. Коаксиальные фильтры чаще всего применяются в дециметровом и метровом диапазонах. Полосковые фильтры применяются в сантиметровом и дециметровом диапазонах.

Волноводные фильтры широко применяются в системах передачи информации, средствах радиоэлектронной борьбы, радарах и измерительном оборудовании. Основным преимуществом фильтров волноводного исполнения является минимальный уровень потерь и, следовательно, наивысшая собственная добротность особенно в сантиметровом и миллиметровом диапазоне длин волн.

В физике СВЧ принято под фильтрами понимать пассивные четырехполюсники, которые действуют как избирательные устройства и при передаче электромагнитных волн в согласованную нагрузку пропускают волны с определенной частотой колебаний, а все остальные сильно подавляют. В зависимости от пропускаемой части частотного спектра фильтры делятся на фильтры низких частот (рис. 2а), верхних частот (рис. 2б), полосовые фильтры (рис. 2в) и режекторные (полосно-запирающие - рис. 2г).

Рисунок 2. Классификация СВЧ-фильтров: а) - фильтр нижних частот (ФНЧ), б) - фильтр верхних частот (ФВЧ), в) - полосовой фильтр (ППФ), г) - полосно-запирающий фильтр (ПЗФ)

Поскольку СВЧ фильтры рассматриваются как пассивные четырехполюсники, то при описании и анализе их работы удобнее всего пользоваться матричным аппаратом, в котором имеется три вида матриц: матрица проводимостей, матрица сопротивлений и матрица рассеяния. Каждая из этих матриц может быть получена из другой при помощи ряда простых преобразований.

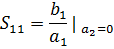
Наиболее полную картину процесса прохождения электромагнитной волны через СВЧ-устройство можно получить из матрицы рассеяния S, которая связывает линейной зависимостью комплексные амплитуды падающей и отражённой волн на входах (портах) эквивалентного многополюсника. Колебательный процесс представляется в виде суммы падающей и отражённой волн с нормированными амплитудами ai и bi соответственно для каждого входа.

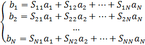
В многополюснике с N портами они связаны следующими линейными зависимостями:


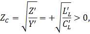
В частном случае для системы с двумя портами параметры рассеяния S определяются как:


Записав данные выражения в матричном виде, получим:


где матрица, содержащая S-параметры, называется матрицей рассеяния или S-матрицей. Эти параметры могут быть напрямую измерены на микроволновых частотах.

В работе для исследуемого волноводного режекторного фильтра рассматриваются количественные значения параметров матрицы рассеяния  и , характеризующих комплексный коэффициент отражения и передачи. Данных параметров достаточно для получения представления о частотной избирательности устройства.

1.5     Цели и задачи исследования


Современные приемо-передающие системы требуют оптимальной мощности, низкой стоимости, высокой избирательной способности и производительности. При этом не стоит забывать об одной из важнейших задач - миниатюризации, занимающей центральное место в производстве средств радиосвязи. Важность создания качественных и малогабаритных фильтров и антенн тесно связана с проблемой увеличения пропускной способности канала, повышения качества приема сигналов и снижения шума в системах связи. В этом отношении изучение частотно-селективных поверхностей на метаматериалах и проектирование на их основе фильтров становится определяющим фактором для реализации новых решений в данной области. В свете вышесказанного основная цель выпускной квалификационной работы заключается в исследовании волноводного режекторного фильтра со стенкой из грибовидного метаматериала и выявления перспектив для дальнейшего применения данных устройств в микроволновой технике. Для достижения поставленной цели в ходе предлагаемого исследования решены следующие задачи:

·        анализ современного состояния научных работ о свойствах метаматериалов и их практическом применении в устройствах СВЧ-диапазона;

·        изучение принципов построения искусственных композитных структур с частотной селективностью;

·        разработка конструкции прямоугольного волновода со стенкой из метаматериала;

·        создание компьютерной модели объекта;

·        получение количественных характеристик влияния метаматериала на распространение электромагнитных волн в волноводе;

·        анализ и сравнение полученных результатов.

2. Разработка модели волноводного режекторного фильтра с магнитной стенкой на метаматериале

.1 Методика расчетов в HFSS

волноводный фильтр диэлектрический магнитный

При решении задачи компьютерного моделирования волноводного режекторного фильтра со стенкой из метаматериала использовалось программное обеспечение High Frequency System Simulator (HFSS) компании AnSoft. Данная программа предназначена для моделирования всевозможных антенн, делителей мощности, схем коммутации, волноводных элементов, фильтров СВЧ и различных неоднородностей и расчета этих сложных трехмерных СВЧ структур. HFSS позволяет решать граничные задачи в частотной области, с высокой точностью вычисляя электрические и магнитные поля внутри и вне рассматриваемой конструкции, матрицы рассеяния и импедансы.

Процесс проектирования в программе HFSS можно разбить на несколько операций:

)        создание модели исследуемого устройства, включая ее трехмерный чертеж и задание материалов, из которых оно выполнено;

)        установка электродинамических параметров структуры:

определение и калибровка портов;

введение параметров решения;

)        параметрический анализ рассматриваемого объекта и анализ в полосе частот, параметрическая оптимизация;

)        визуализация результатов расчета с помощью:

графиков;

3D-диаграмм;

анимаций.

В основе электродинамического моделирования в HFSS лежит метод конечных элементов (Finite Element Method, FEM), что гарантирует универсальность численных алгоритмов, применяющихся при анализе самых разнообразных устройств. Метод основывается на разбиении пространства на множество простейших элементов, форма которых представляет собой тетраэдр (рис. 3). Размеры тетраэдра малы настолько, что в его пределах электромагнитное поле можно описать с помощью простой функции или системы из нескольких функций с неизвестными коэффициентами. Нахождение неизвестных коэффициентов осуществляется из уравнений Максвелла с учетом граничных условий. В конечном итоге исходная задача электродинамики сводится к решению обычной системы линейных алгебраических уравнений (СЛАУ), с которой ЭВМ достаточно легко справляется.

Рисунок 3. Дискретизация пространства внутри прямоугольного волновода на систему тетраэдров в программе HFSS

Поскольку рассматриваемые модели могут иметь искривленную поверхность, то при разбиении на тэтраэдры необходима высокая точность аппроксимации, чтобы исходная структура и ее свойства существенно не искажались. Для получения оптимальной ячейки для дискретизации пространства в HFSS применяется итерационный процесс, каждый шаг которого нацелен на уменьшение размеров ячеек и увеличение их количества в критических областях. На первом этапе программа получает приближенное решение для грубого начального разбиения и на его основе выделяет те области, в которых электромагнитное поле претерпевает значительные и резкие изменения, после чего в выделенных местах происходит дальнейшее уплотнение сетки. Шаг между простейшими элементами учащается до тех пор, пока не будут выполнены заданные критерии погрешности, то есть сходимость данного итерационного процесса определяется разницей между значениями параметров поля, вычисленными на данном и предыдущем циклах расчета. Очевидно, что чем меньше размеры элементарных тетраэдров, составляющих исследуемую конструкцию, и выше их число, тем в большей степени поле, рассчитанное с помощью МКЭ, соответствует истинному полю в структуре.

В общем случае решение всех задач электродинамики методом конечных элементов базируется на единым образом установленных свойствах и состоит из следующих этапов:

)        Формулируется основное уравнение, решение которого будет находится методом конечных элементов, и устанавливаются необходимые граничные условия.

)        Производится деление расчетной области на непересекающиеся подобласти - конечные элементы (КЭ), вершины которых являются узлами тетраэдральной сетки и предназначены для задания неизвестных компонент решения.

)        Выбирается набор базисных функций для описания неизвестной функции в каждом КЭ. Как правило, в качестве базисных функций выступают полиномы различного порядка. Например, линейные, квадратичные, кубические и т.д.

)        Осуществляется переход от функциональных уравнений с бесконечно большим числом неизвестных к СЛАУ конечной размерности с помощью метода Ритца или метода Галеркина.

)        Полученная система уравнений решается одним из методов численного расчета относительно параметров аппроксимации, что в конечном итоге дает приближенное решение задачи.

)        Используя решение СЛАУ, получаем интересующие параметры рассматриваемой структуры.

.2 Выбор типа элементов частотно-селективной поверхности

При проектировании полосно-пропускающих или полосно-заграждающих фильтров важную роль играет правильный выбор макроэлементов, составляющих конструкцию метаматериала. Некоторые из типов элементарных включений по своей природе широкополосные, другие, наоборот, обеспечивают более узкую полосу пропускания частот, в то время как параметры остальных могут значительно варьироваться в зависимости от структуры. Также существенное влияние на полосу пропускания или заграждения оказывает пространство между отдельными ячейками метаматериала, наличие диэлектрика, размеры элементов и другие конструктивные особенности.

В основном все типы элементов частотно-избирательных поверхностей делятся на 4 больших группы (рис. 4):

)        Центрально-связанные элементы или N-полюсники. К таким конструкциям относятся, например, элементы якорного типа, простой прямой диполь, а также треногий элемент, квадратная спираль или иерусалимский крест.

)        «Петли» (замкнутые элементы) такие, как: типичные круглые, квадратные, гексагональные петли или нагруженные элементы с тремя или четырьмя ножками.

)        Сплошные и планарные элементы различных форм.

)        Комбинированные, сочетающие в себе формы элементов разных групп.

Рисунок 4. Группы частотно-селективных элементов

В результате анализа различного типа макроэлементов для поверхностей с частотной селекцией в качестве метаматериала была выбрана искусственная периодическая структура, составные элементы которой имеют форму иерусалимского креста, центр которого опирается на цилиндрическую ножку. Такая структура называется грибовидным метаматериалом и представлена условно на ниже (рис. 5). Геометрические размеры элементов выражены в миллиметрах.

Рисунок 5. Конструкция «гриба» в основе метаматериала

Выбор формы периодических включений мотивирован тем, что описание объекта легко свести к простой физической модели в виде обычного LC-контура. Индуктивность заключена в «ножке» гриба, а емкость появляется за счет расстояния между «шляпками» (рис. 6).

Рисунок 6. Эквивалентная модель грибовидного метаматериала в виде линии передачи

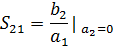
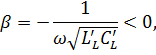
Такая линия передачи обладает отрицательной фазовой скоростью и положительной групповой скоростью и характерной для этого случая отрицательной дисперсией. Постоянная распространения электромагнитной волны γ, постоянная распространения , характеристический импеданс , фазовая скорость  и групповая скорость  в данном случае определяются по формулам:

Последние два уравнения сразу и однозначно показывают, что фазовая и групповая скорости в такой линии передачи антипараллельны. Величина фазовой скорости , связанная с направлением распространения фазы , отрицательна, тогда как групповая скорость , описывающая направление распространения энергии или вектора Пойнтинга S, положительна. Таким образом, структура грибовидного метаматериала, представленного в виде простейшей модели (рис. 6), при условии, что средний размер элементарной ячейки будет намного меньше, чем длина волны, является «леворукой» средой в соответствии с определением, данным В.Г. Веселаго.