Материал: Прості ланки

Внимание! Если размещение файла нарушает Ваши авторские права, то обязательно сообщите нам


Частотні характеристики форсуючої ланки показані на мал.

Як видно із графіка, пряма амплітудно-фазова характеристика форсуючої ланки аналогічна інверсній характеристиці інерційної ланки, а інверсна його характеристика відповідає прямій характеристиці інерційної ланки.


Це відповідно відображається і на амплітудних і фазових характеристиках.

Передаточна функція форсуючої ланки


і може бути представлена у вигляді суми передаточних функцій пропорційної і диференціюючої ланок.

Перехідна і вагова функції форсуючої ланок мають вид суми відповідних функцій простіших ланок:

2.3 Інерційно-диференціююча ланка

Описується диференціальним рівнянням


і називається реальною диференціюючою ланкою.

Прикладом такої ланки являється механічна система з гнучким гідравлічним зв'язком і чотирьохполюсники, до яких входять відповідним чином включені активні і реактивні опори.

ланка індуктивність функція частотний


Пєреходячи від миттєвих значень до частотних спектрів, отримаємо


Частотні характеристики для цієї функції показні на мал.



Асимптотні характеристики складаються із двох пів прямих:


Передаточна функція інерційно-диференціюючої ланки відповідно


Проводячи зворотне перетворення Лапласа, отримаємо


Після диференціювання виразу маємо


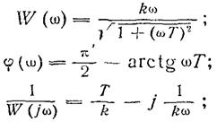
Якщо експериментально отримані частотні характеристики інерційної або інерційно-диференціюючої ланки, то по цим характеристикам безпосередньо можуть бути знайдені значення і

Із АЧХ інерційної та інерц.-форсуючої ланки видно, що фазовий здвиг, рівний куту -, між сигналами входу і виходу має місце при , коли.

Із цієї умови визначається

Коефіцієнтзнаходиться по діаметру кола частотної характеристики.

Значно частіше буває необхідним знайти параметри ланки по перехідній характеристиці, отриманої експериментально. В цьому випадку краще шляхом числового або графічного диференціювання найти  і построїти криву перехідного процесу в координатах h, ω.

Виходячи із рівняння ланок це буде пряма, яка проходить через початок координат для інерційно-диференціюючої ланки (1 на мал.) і через точку -для інерційної ланки (2 на мал.).


Тангенс кута нахилу прямих дає Т. Величина k для інерційної ланки знаходиться по значенню h при , а для інерційно-диференціюючої - по початковому значенню .

2.3 Інерційно-форсуюча ланка

Інерційно-форсуючою називається ланка що описується диференціальним рівнянням першого порядку в найбільш загальному вигляді


Суттєвим параметром інерційно-форсуючої ланки є коефіцієнт .

Якщо  , то ланка по своїм властивостям близька до інтегруючої та інерційної ланки. Якщо ж >1, то ланка - близька до диференціюючої і інерційно-диференціюючої ланкам.

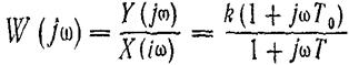
Комплексний коефіцієнт підсилення інерційно-форсуючої ланки


а передаточна функція


Приклад електричних схем інерційно-форсуючої ланки показаний на мал.


Приклад. Розглядаючи коефіцієнт підсилення схем, показаних на мал., як коефіцієнт передачі дільника напруги


отримаємо: для схеми (а)


де ,           і ;

для схеми (б)


Де , ,

І

Схема (а) інколи називається пружним інтегруючим зв’язком, а схема (б) - пружним диференційним.

На мал. 3.19 побудовані частотні характеристики при τ<1 (а, в, д, ж) і τ>1 (б, г, е, з). Характеристики побудовані для нормованих значень


в залежності від відносної безрозмірної частоти Ω=ωT.

Тут

;

;

.

Розв’язавши рівняння , знаходимо, що максимальний фазовий зсув


має місце при

.

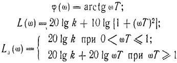
Логарифмічні характеристики виражаються рівнянням

.

Асимптотичні характеристики в залежності від величини τ виражаються по різному:

при τ<1


при τ>1


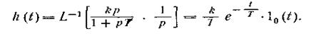
Перехідна функція визначається із рівняння ланки як


і, відповідає,

.

Перехідні і вагові функції для інерційно-форсуючих зв’язків показані на мал. [при τ<1(а і в); при τ>1(б і г)].


3. ЛАНКИ ІІ-ГО ПОРЯДКУ

3.1 Коливна ланка

Коливаючий зв'язок описується рівнянням другого порядку


При степені затухання ζ<1, що відповідає комплексним кореням характеристичного рівняння

.

Постійна часу Т коливаючого зв’язку пов’язана з його резонансною частотою  співвідношенням


і в 2π разів менше періода резонансних коливань

 .

Інколи рівняння записують у вигляді

,

де                                                    .

Приклад. Прикладами коливаючого зв’язку може служити пружна механічна система з суттєвим впливом маси чи електричний коливальний контур.


Дійсно, для пружної механічної системи показаної на мал (а), рівняння сил, діючих на тіло з масою М, має вид

,

Де а і б - коефіцієнти пружини і заспокоювача. Для коливаючого контура, зображеного на мал. (б).

.

Рівняння механічної системи при <1

відповідає коливальному зв’язку з параметрами k =1, ,  ;

рівняння електричного контуру при <1

відповідає коливальному зв’язку з параметрами

, , k =1.

Переходячи до гармонічних сигналів, дістанемо комплексний коефіцієнт підсилення коливального зв’язку

.

Вводячи безрозмірну частоту Ω=ωT, можна W  виразити слідуючим виразом:

.

На мал а, б, в, г показані частотні характеристики коливаючого зв’язку.


Як бачимо з мал.(а), годограф частотної характеристики проходить через два квадранта IV i III і пересікає уявну вісь при Ω=1, коли . При цьому .

Зі зменшенням ζ петля, охоплена годографом, збільшується (див. пунктир), і при ζ=0 характеристика перетворюється в дві півпрямі: 1-від W(jΩ)=k до W(jΩ)→∞ при 0<Ω<1 і II- від W(jΩ)=−∞ до W(jΩ)=0 при 1<Ω<∞. Інверсна характеристика  проходить через два квадрата І і ІІ і відходить в ∞ паралельно дійсній осі при Ω→∞.

Якщо експериментально одержаний частотний годограф реального зв’язку, близького до коливаючого, параметри відповідного коливаючого зв’язку можуть бути знайдені за точками характеристики, прилеглим на дійсній і уявних осях (точки 1 і 2 на мал.,а). На точці 1 знаходиться k, а на точці 2 знаходиться  і .

Амплітудно-частотна і фазочастотна характеристики виражаються рівняннями:

;

;

При ці характеристики відповідно проходять через точки  і . При  крива W(Ω) має максимум


при


Логарифмічна амплітудно-частотна характеристика коливного зв’язку

.

Поблизу точки резонанса  ця характеристика сильно залежить від степені затухання ζ, однак на відстані від резонансної частоти характеристики практично не залежать від ζ.

Для коливаючих зв’язків користуються асимптотичними характеристиками

  

Передаточна функція коливаючого зв’язку

.

Коренями характеристичного рівняння будуть

,

де

- коефіцієнт затухання;

- власна частота коливання зв’язка.

Перехідна функція

.

Вагова функція

Графіки перехідної і вагової функцій коливаючих зв’язків зображені на мал., д і е. по експериментальним перехідним характеристикам реального зв’язку можна знайти параметри відповідного коливаючого зв’язку. По графіку h (t) (див. мал. д) визначають і вираховуються всі параметри зв’язку:

;

;

;

.


Ті ж величини можна знайти по зображенню перехідного процесу на фазовій площині , для якого .

4. ОСОБЛИВІ ЛАНКИ ЛІНІЙНИХ СИСТЕМ АВТОМАТИЧНОГО КЕРУВАННЯ

.1 ОСОБЛИВОСТІ ХАРАКТЕРИСТИК ДЕЯКИХ ЛІНІЙНИХ ЗВ’ЯЗКІВ

Крім розглянутих в попередньому розділі типових лінійних зв’язків, в системах автоматичного керування зустрічаються зв’язки, які по характеристикам суттєво відрізняються від типових.

До числа таких відносяться:

-           не мінімально-фазові зв’язки, передаточні функції яких дробово-раціональні і мають нулі в правій півплощині

-        нестійкі зв’язки, мають полюси в правій півплощині,

Зв’язки з розділеними параметрами, які можуть бути розділені на