Прогнозирование развития с помощью
моделей кривых роста
1. Применение моделей кривых роста в бизнес-прогнозировании
Удобным средством описания одномерных временных рядов является их выравнивание с помощью тех или иных функций времени (кривых роста). Кривая роста позволяет получить выровненные или теоретические значения уровней динамического ряда. Это те уровни, которые наблюдались бы в случае полного совпадения динамики явления с кривой.
Процедура разработки прогноза с использованием кривых роста включает в себя следующие этапы:
1) выбор одной или нескольких кривых, форма которых соответствует характеру изменения временного ряда;
2) оценка параметров выбранных кривых;
3) проверка адекватности выбранных кривых прогнозируемому процессу и окончательный выбор кривой роста;
4) расчет точечного и интервального прогнозов.
В настоящее время в литературе описано несколько десятков кривых роста, многие из которых широко применяются для выравнивания экономических временных рядов.
Кривые роста условно могут быть разделены на три класса в зависимости от того, какой тип динамики развития они хорошо описывают.
К I типу относятся функции, используемые для описания процессов с монотонным характером развития и отсутствием пределов роста. Эти условия справедливы для многих экономических показателей, например, для большинства натуральных показателей промышленного производства.
Ко II классу относятся кривые, описывающие процесс, который имеет предел роста в исследуемом периоде. С такими процессами часто сталкиваются в демографии, при изучении потребностей в товарах и услугах (в расчете на душу населения), при исследовании эффективности использования ресурсов и т.д. Примерами показателей, для которых могут быть указаны пределы роста, являются среднедушевое потребление определенных продуктов питания, расход удобрений на единицу площади и т.п.
Функции, относящиеся ко II классу, называются кривыми насыщения. Если кривые насыщения имеют точки перегиба, то они относятся к III типу кривых роста - S-образным кривым.
Эти кривые описывают как бы два последовательных лавинообразных процесса (когда прирост зависит от уже достигнутого уровня): один с ускорением развития, другой - с замедлением.
S-образные кривые находят применение в демографических исследованиях, в страховых расчетах, при решении задач прогнозирования научно-технического прогресса, при определении спроса на новый вид продукции.
Вопрос о выборе кривой является основным при выравнивании ряда.
Существует несколько подходов к решению этой задачи, однако, все они предполагают знакомство с основными свойствами используемых кривых роста. Поэтому остановимся на характеристике отдельных типов кривых, наиболее часто применяемых на практике.
Среди кривых роста I
типа, прежде всего следует выделить класс полиномов:
, (1)
где
-
параметры многочлена,
t- независимая переменная (время).
Коэффициенты полиномов невысоких степеней могут иметь конкретную интерпретацию в зависимости от содержания динамического ряда. Например, их можно трактовать как скорость роста (a1), ускорение роста (a2), изменение ускорения (a3), начальный уровень ряда при t=0 (a0). Обычно в экономических исследованиях применяются полиномы не выше третьего порядка. Использовать для определения тренда полиномы высоких степеней нецелесообразно, поскольку полученные таким образом аппроксимирующие функции будут отражать случайные отклонения (что противоречит смыслу тенденции).
Полином первой степени
на
графике изображается прямой и используется для описания процессов,
развивающихся во времени равномерно.
Полином второй степени
применим
в тех случаях, когда процесс развивается равноускоренно (т.е. имеется
равноускоренный рост или равноускоренное снижение уровней).
Как известно, если параметр, a2>0, то ветви параболы направлены вверх, если же a2>0, то вниз. Параметры a0 и a1 не влияют на форму параболы, а лишь определяют ее положение.
Полином третьей степени имеет
вид
У этого полинома знак прироста ординат может изменяться один или два раза (рисунок 1).
Отличительная черта полиномов - отсутствие в явном виде зависимости приростов от значений ординат (yt).
Оценки параметров в модели (1)
определяются методом наименьших квадратов. Как известно, суть его состоит в
"отыскании" таких параметров, при которых сумма квадратов отклонений
расчетных значений уровней от фактических значений была бы минимальной. Таким
образом, эти оценки находятся в результате минимизации выражения:
, (2)
где yt - фактическое значение временного ряда;
- расчетное
значение;
n - длина временного ряда.
Не будем останавливаться на математическом аппарате метода наименьших квадратов, подробно описанного в литературе по математической статистике.
Приведем систему нормальных
уравнений, полученную в результате минимизации выражения (2):
(3)
.
Система (3) состоит из (р+1) уравнений, содержащих в качестве неизвестных величин (р+1) коэффициентов a0,a1…ap. Решение этой системы позволяет вычислить оценки искомых коэффициентов.
Системы для оценивания
полиномов невысоких степеней выглядят намного проще. Например, нормальные
уравнения для оценивания параметров прямой:
. (4)
Решение этой системы
относительно искомых параметров дает следующие выражения:
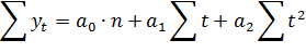
Для параболы 2-го порядка
получим аналогичную систему нормальных уравнений:
. (5)
Эта система содержит три уравнения,
позволяющих найти оценки трех неизвестных коэффициентов
.
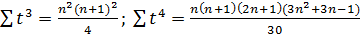
Составление нормальных уравнений
можно упростить, воспользовавшись тем, что величины
не зависят
от конкретных уровней динамического ряда.
Эти суммы являются функциями только
числа членов в динамическом ряду. Для них получены следующие формулы:
.
(Суммирование по
).
Другой подход к упрощению расчетов заключается в переносе начала координат в середину ряда динамики. Это позволяет упростить сами нормальные уравнения, а также уменьшить абсолютные значения величин, участвующих в расчете. Если до переноса начала координат t было равно 1,2,3,..., то после переноса для четного числа членов ряда t=...,-5;-3;-l;l;3;5;...;
для нечетного числа членов ряда t=...,-3;-2;-l;0;l;2;3;....
Таким образом,
, где k - нечетное
число, равна 0.
В этом случае оценки параметров
соответствующих полиномов имеют вид:
Прямой
(6)
параболы
. (7)
класса экспоненциальных кривых, в отличие от полиномов, характерной является зависимость приростов от величины самой функции. Эти кривые хорошо описывают процессы, имеющие "лавинообразный" характер, когда прирост зависит от достигнутого уровня функции.
Простая экспоненциальная
(показательная) кривая имеет вид:
(8)
Если b>1, то кривая растет вместе с ростом t, и падает, если b<1.
Параметр a характеризует начальные условия развития, а параметр b-постоянный темп роста.
Действительно, темп роста равен
.
В данном случае

Можно показать, что логарифм
ординаты этой функции линейно зависит от t,
для этого прологарифмируем выражение (8):
Пусть loga=A;
logb=B.
Тогда
.
Теперь для оценивания неизвестных параметров можем использовать систему нормальных уравнений для прямой (4).
Иначе говоря, нормальные
уравнения строятся исходя из минимизации:
.
Соответственно в нормальных
уравнениях вместо фактических уровней выступают их логарифмы:
;
. (9)
Найдем неизвестные параметры А и В. Зная значения A=logA и B=logB, определим значения а и b, и с помощью потенцирования получим показательную функцию, служащую для выравнивания ряда.
Такой подход к оцениванию неизвестных параметров привлекает своей универсальностью. Однако, следует иметь в виду, что полученные оценки параметров оказываются смещенными, т. к. при расчете участвуют не исходные уровни, а их логарифмы. Смещение будет тем значительнее, чем больше разность между последовательными уровнями динамического ряда. Не приводит к смещению в подобных случаях нелинейный метод наименьших квадратов.
Более сложным вариантом
экспоненциальной кривой является логарифмическая парабола:
. (10)
Прологарифмировав выражение
(10), получим параболу
.
Таким образом, оценку параметров логарифмической параболы можно опять осуществить с помощью метода наименьших квадратов, используя систему нормальных уравнений для параболы (5). При этом остаются в силе сделанные выше замечания о смещении полученных оценок.
Все рассмотренные типы кривых используются для описания монотонно возрастающих или убывающих процессов без "насыщения".
Когда процесс характеризуется
"насыщением", его следует описывать при помощи кривой, имеющей
отличную от нуля асимптоту. Примером такой кривой может служить
модифицированная экспонента:
(11)
где у = k является горизонтальной асимптотой.
Если параметр a отрицателен, то асимптота находится выше кривой, если a положителен, то ниже. При решении экономических задач чаще всего приходится иметь дело с кривой, у которой a<0, b<1. В этом случае рост уровней происходит с замедлением и стремится к некоторому пределу.
При решении экономических задач
часто можно определить значение асимптоты исходя из свойств прогнозируемого
процесса (например, коэффициент использования оборудования не может превышать
1). Иногда значение асимптоты задается экспертным путем. В этих случаях другие
параметры кривой могут быть определены с помощью метода наименьших квадратов
после приведения уравнения к линейному виду:
(12)
где
- заданное значение асимптоты.
Прологарифмируем (12):
.
Теперь оценить параметры loga и logb можно, использовав систему нормальных уравнений (9).
Для оценивания параметров модифицированной экспоненты возможно применение как нелинейного метода наименьших квадратов, так и ряда других методов, в которых вычисления проще, но оценки менее эффективные.
Таким образом, модифицированная экспонента хорошо описывает процесс, на развитие которого воздействует ограничивающий фактор, причем влияние этого воздействия растет вместе с ростом достигнутого уровня.
Если воздействие ограничивающего фактора начинает сказываться только после определенного момента (точки перегиба), до которого процесс развивался по некоторому экспоненциальному закону, то для выравнивания используют S-образные кривые.
Наиболее известными из них являются кривая Гомперца и логистическая кривая, или кривая Перла-Рида.
Кривая Гомперца имеет вид:
Кривая несимметрична.
Если loga<0, кривая имеет S-образный вид, при этом асимптота, равная k, проходит выше кривой.
Если loga>0, асимптота, равная k, лежит ниже кривой, а сама кривая изменяется монотонно: при b<1 - монотонно убывает; при b>1 - монотонно возрастает.
Для решения экономических задач наибольший интерес представляет вариант этой кривой, когда log а <0 и b<1 (рисунок З.1.).
Уравнение логистической кривой
получается путем замены в модифицированной экспоненте yt
обратной величиной
:
.
Используется и другая форма записи
уравнения логистической кривой:
.
При t
ордината стремится к нулю, а при t
- к асимптоте, равной значению параметра k.
Кривая симметрична относительно точки перегиба с координатами: t
=lnb:a;
yt=k:2.
Как видно из графика,
логистическая функция возрастает сначала ускоренным темпом, затем темп роста
замедляется и, наконец, рост почти полностью прекращается, о чем
свидетельствует тот факт, что кривая асимптотически приближается к некоторой
прямой, параллельной оси абсцисс.
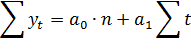
) полином первого порядка
;
полином второго порядка
;