Материал: Проектирование отпарной колонны

Внимание! Если размещение файла нарушает Ваши авторские права, то обязательно сообщите нам

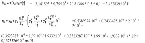
Прочность сварного шва, соединяющего корпус колонны с опорной обечайкой (сечение Г-Г):

(4.24)

Условие прочности выполнено

Фланцевое соединение

Расчёт на прочность и герметичность по РД 26-15-88

Исходные данные

Плоские

Тип фланцев:

приварные

Исполнение: Плоские

Теплоизоляция: Нет

Диаметр болтовой окружности, D6:0,8-103 мм

Болты:

Материал:35

Наружный диаметр, d:15 мм

Количество, п:12

Контроль затяжки: Нет

Прокладка Резина по ГОСТ 7338 с твёрдостью

Материал прокладки: по Шору А до 65 единиц

Толщина, hn:10 мм

Средний диаметр, Dcn:0,75-103 мм

Ширина, Ьп:30 мм

Данные первого фланца (кольца):

Материал фланца (кольца):СтЗ

Смежный элемент: Днище эллиптическое

Материал смежного элемента:12Х18Н1 ОТ

Внутренний диаметр фланца (кольца), D: 0,7-103 мм

Наружный диаметр фланца (кольца), DH:0,9-103 мм

Высота фланца (кольца), h:30 мм

Толщина стенки смежного элемента:5мм

Сумма прибавок, с 2,8 мм

Данные второго фланца (кольца):

Материал фланца (кольца):СтЗ

Обечайка

Смежный элемент: цилиндрическая

Материал смежного элемента:12X18Н1 ОТ

Внутренний диаметр фланца (кольца), D:0,7-103 мм

Наружный диаметр фланца (кольца), DH:0,9-103 мм

Высота фланца (кольца), h:30 мм

Толщина стенки смежного элемента:5 мм

Сумма прибавок, с 2,8 мм

Расчёт в рабочих условиях Условия нагружения:

Расчётное осевое сжимающее усилие, F:2,442048-104 Н

Расчётный изгибающий момент, М:1,525032-104 Н м

Расчётная температура, Т:80 °С

Расчётное внутреннее избыточное давление, р:0,1 МПа

Результаты расчёта:

Расчётная температура элементов соединения (по табл. 1 РД 26-15-88):

Температура фланца (кольца), Ц:76,8 °С

Температура болтов (шпилек), t6:68 °С

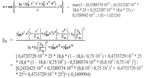
Допускаемые напряжения для болтов (шпилек)

Допускаемые напряжения для материала 35 при температуре 68 °С (рабочие условия): [б]б=127,5Мпа

Коэффициент линейного расширения для материала 35 при температуре 68С  

Допускаемые напряжения для материала 35 при температуре 20 °С :

=130Мпа

Допускаемые напряжения для смежного элемента фланца Днище эллиптическое

Допускаемые напряжения для материала 12Х18Н10Т при температуре 80 °С:


Допускаемые напряжения для материала 12Х18Н10Т при температуре 20 °С:


Допускаемые напряжения для смежного элемента фланца

Обечайка цилиндрическая

Допускаемые напряжения для фланца (кольца) 2

Допускаемые напряжения для материала СтЗ при температуре 76,8 °С:


Модуль продольной упругости для материала СтЗ при температуре 76,8 °С: Коэффициент линейного расширения материала СтЗ при температуре 76,8 °С

Допускаемые напряжения для материала СтЗ при температуре 20 °С:


Модуль продольной упругости для материала СтЗ при температуре 20 °С:

Расчётные параметры болтов (шпилек): Рабочая длина болта (шпильки):


Площадь сечения болта диаметром 15 мм (по внутреннему диаметру резьбы):

Эффективная длина болта


Податливость болтов (п. 3.4):


Расчётные параметры первого фланца (п.3.6): Эквивалентная толщина втулки (п.3.6.1):



Угловая податливость фланца (кольца) (п.3.6.3):


Угловая податливость фланца, нагруженного внешним изгибающим моментом (п.3.9):


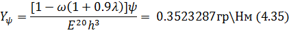
Плечи моментов (п.3.10): a=0

b=0.5(=25мм (4.37)

e=0.5(=18,6мм (4.38)

Параметры первого и второго фланцев полностью совпадают, расчёт второго фланца не проводится

Характеристики прокладки (по табл. 4 РД 26-15-88):

Тип и материал прокладки

Коэф. m

Удельное давление обжатия Яобжэ МПа

Допускаемое удельное давление [q], МПа

Коэффициент обжатия К

Условный модуль сжатия Е„, МПа

Резина по ГОСТ 7338 с твёрдостью по Шору А до 65 единиц

0,5

2

18

0,04

7,5


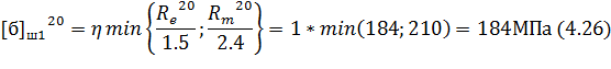
Эффективная ширина прокладки (п. 3.1): bо = 20,81346 мм

Податливость прокладки (п. 3.3):


Расчёт нагрузок (п. 5): Равнодействующая давления (п. 5.1):


Реакция прокладки в рабочих условиях (п. 5.2): Нагрузка от температурных деформаций (п. 5.3):








Коэффициенты жёсткости для фланцевого соединения, нагруженного внутренним давлением и внешней осевой силой (п. 4.1 с учётом изм. 1):


Коэффициенты жёсткости для фланцевого соединения, нагруженного внешним изгибающим моментом (п.4.2):


Болтовая нагрузка Рб в условиях монтажа (п. 5.4):


где F<0, если усилие сжимающее; Qt учитывается только при Qt<0; Приращение нагрузки в болтах (шпильках) в рабочих условиях (п. 5.5):


Расчёт болтов(шпилек) (п. 6):


Условие прочности выполнено

Расчёт прокладки (п. 7):

Условие прочности мягких прокладок:


Условие работоспособности выполнено

Расчёт первого фланца (п. 8):

Т = 1,841648, определяется по черт. 8 Изгибающий момент при затяжке:



Осевые напряжения при затяжке в обечайке (втулке) на наружной и внутренней поверхностях (п. 8.3):


Окружные напряжения в обечайке (втулке) (п. 8.5):



Условие прочности в сечении s0: При затяжке:

Приращения осевых напряжений (п. 8.4):


Приращения окружных напряжений (п. 8.6):







В рабочих условиях:

Условие прочности выполнено

Жёсткость фланца (п. 11):

Угол поворота фланца (кольца) при затяжке (п.8.1):


Приращение угла поворота фланца (п.8.2):





Допускаемый угол поворота для фланцев в рабочих условиях: N=0.013 рад Условие выполнения жесткости фланцев:


Условие жёсткости выполнено

Расчёт второго фланца (п. 8):

Параметры первого и второго фланцев полностью совпадают, расчёт второго фланца не проводится Условие прочности выполнено

Жёсткость фланца (п. 11):

Параметры первого и второго фланцев полностью совпадают, расчёт второго фланца не проводится



Вывод

отпаривание колонна коррозия конструкционный

При выполнении курсовой работы был проведён расчёт на прочность основных конструкционных элементов Опорной колонны по ГОСТ 14249-89. Полученные параметры удовлетворяют требованиям надежности, эксплуатации и прочности. В пояснительной записке приводятся правила Госгортехнадзора на испытания аппаратов колонного типа и на проверку сварных швов керосином.

Было рассмотрено три вида БРУ: прямого, косвенного и полу - прямого действия. Приведены несколько видов исполнения насадочных устройств и выбран оптимальный вариант исполнения с учётом уменьшения металлоёмкости конструкции за счёт выбора тарелок с большим кпд.

Список литературы

1.Нефтепромысловое оборудование Справочник./Под ред. Е.И. Бухаленко. -2-е издание переработанное.-М. Недра, 1990,559с.

.ГОСТ 14289-80. Сосуды и аппараты. Нормы и методы расчёта на г прочность. -М.; Изд. стандартов, 1980.

.Расчёт и конструирование машин и аппаратов химических производств: Примеры и задачи: Уч. Пособие для студентов втузов / Под общей редакцией М.Ф. Михалёва. Л.: Машиностроение, 1984-16-34 с.

. Вихман Г.Л., Круглов С.А. Основы конструирования аппаратов и машин нефтеперерабатывающих заводов. Учебник для студентов втузов. Изд. 2-е, перераб. и доп. - М.: Машиностроение. 1981 .-382 с.

.Баграмов Р. А. Буровые машины и комплексы. Учебник для вузов.М. .Недра, 1988.-501с.