Материал: Проектирование и расчет редуктора давления газа

Внимание! Если размещение файла нарушает Ваши авторские права, то обязательно сообщите нам

.5 Влияние размеров клапана редуктора

Для редукторов, работающих по схеме, показанной на рис. 2, влиянием изменения Fм на величину Fм - Fкл в уравнении (30) можно пренебречь, так как для таких схем Fм >> Fкл. Влияние размеров клапана на Δpвых (или pвых) отражается через влияние Fкл на Δpвых 1 (32) и dср на Δpвых 2 (33).

Рисунок 12 - Влияние размеров клапана редуктора и жесткости пружин и мембран на Δpвых

С увеличением Fкл, зависимость Δpвых 1 = f (Fкл) пойдет более круто по прямой a'nb' ( pиc. 12). С увеличением dср изменение Δpвых 2 пойдет по кривой c'nd'.

Значения Δpвых = Δpвых 1 - Δpвых 2 с увеличением dкл (или dср) возросли, т. е. повысилось значение наибольшего отклонения давления на выходе от номинального значения pвых 0, точность работы редуктора ухудшилась. Следовательно, в редукторе обратного хода уменьшение размеров клапана повышает точность его работы.

Для редукторов, работающих по схеме, приведенной на рис. 5, влияние изменения размеров клапана отражается через множитель 1/Fкл в уравнении (35) и через влияние dср во втором члене уравнения (35). Изменение Fкл в первом члене уравнения (35) не влияет на Δpвх, так как с изменением Fкл для улучшения характеристики необходимо соответственно изменять и Fп. Главное влияние размеров клапана на Δpвх оказывает множитель 1/ Fкл: чем больше Fкл, тем меньше Δpвых. Следовательно, точность работы редукторов, работающих по схеме, показанной на рис. 5, растет с увеличением размеров клапана.

.6 Влияние жесткости пружин и мембраны

Влияние жесткости на Δpвых отражается вторым членом уравнения (30) или (35). С увеличением k изменение Δpвых 2 пойдет по кривой c"nd". При этом, как видно из рис. 12, величина наибольшего положительного отклонения Δpвых уменьшится.

4. Расчет редуктора

Исходные данные: pвх=47 кгс/см2; pвых=8 кгс/см2; =0,4 г/с; рабочее тело - воздух.

Главное требование, предъявляемое к редуктору, состоит в том, чтобы давление газа на выходе из редуктора оставалось в заданных пределах постоянным и не зависело от давления на входе. Поэтому расчет редуктора заключается в подборе таких размеров конструктивных элементов, при которых в наибольшей степени взаимно компенсировалось бы влияние второго и третьего членов уравнения характеристики редуктора. В некоторых пневмогидравлических системах к редуктору предъявляется еще требование герметичности закрытия дросселирующего сечения.

При проектировании редуктора необходимо определить или подобрать следующие величины:

а)размеры дросселирующего сечения и клапана редуктора;

б)необходимые усилия пружин и их жесткость;

в)размеры мембраны или сильфона, плунжера, поршня и их жесткость или приведенную поверхность.

Если клапан уравновешивается, то необходимо определить степень неуравновешенности как разность площадей Fп-Fкл или Fкл - Fм.д.

Расчет редуктора проводим в следующем порядке.

1.      Определяем размеры дросселирующего сечения и клапана.

.        Определяем силу затяжки пружин редуктора и размеры мембраны, сильфона или плунжера.

.        Зная усилия пружин и размеры мембран, определяем размеры пружин и жесткость пружин и мембран.

.        По уравнению характеристики проверяем, удовлетворяет ли редуктор заданным условиям работы.

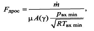
Определение размеров дросселирующего сечения и клапана Расчетным режимом для определения размеров дросселирующего сечения будет режим, при котором размер дросселирующего сечения, открываемого клапаном, должен быть наибольшим. Такой режим имеет место при окончании работы редуктора. В этот момент давление газа pвх min, поступающего в редуктор, будет наименьшим за весь период работы редуктора, а его удельный объем - наибольшим. Скорость протекания газа через дросселирующее сечение в этот период будет наименьшей, так как наименьшим будет перепад давлений. При этом давление газа на входе согласно выражению (27) определяется по формуле


Рвх min=8+3,2=11,2 кгс/см2

Определим величину Δpред, значение которой неизвестно:

при больших давлениях на выходе (например, при газобаллонной подаче)

ред=0,4*рвых=0,4*8=3,2 кгс/см2

при малых pвых (например, при наддуве баков)


Площадь дросселирующего сечения определяем по уравнению (4) (при hx =h):

Подставив в эту формулу h из уравнения (11), с учетом равенства (10) получим расчетную формулу:

 (36)

Определяем А(g) по формуле (7)

А(g)=0,47

Твх min=293 К

R=8,31*103 Дж/(кг*К)

m=0,7

Определяем Fдрос по формуле (36)

Fдрос=17,266 мм2

где А(γ) определяется в зависимости от величины отношения pвых/pвх по формуле (7) или (16) либо по графику, приведенному на рис. 7.

Зададим величину коэффициента расхода

Если через редуктор проходит газ для вытеснения компонентов из баков и известны освобождаемый за секунду объем баков Qс, давление и температура в баках pб и Tб то, очевидно,

 (37)

 (38)

Зная величину Fдрос, определяем dкл и h. В соответствии с влиянием площади клапана на Δpвых, рассмотренным выше, для редукторов, работающих по схеме, представленной на рис. 2, диаметр dкл берем возможно меньшим (3…8 мм); для редукторов схемы, приведенной на рис. 4, величину dкл берем большей (15.. .40 мм). Ширина седла клапана составляет δ = 0,3.. .0,5 мм.

Fдрос=pd2дрос/4

dкл= dдрос+(15…40)мм=30 мм

Fкл=pd2кл/4=706,5 мм2=706,5*10-2 см2

dср= dкл+d=30+(0,3…0,5)мм=30,05 мм

h=Fдрос/(p*dср)=0,18 мм

Определение затяжки пружин редуктора, размеров и жесткости пружин и чувствительных элементов

Силой затяжки пружины клапана (если по схеме редуктора такая пружина имеется) либо задаемся в пределах 20... 150 Н, либо рассчитываем ее из условия обеспечения герметичности клапана. При этом клапан необходимо прижать к седлу с силой, при которой удельное давление клапана на поверхность седла будет выше или равно удельному давлению герметичности qгерм, гарантирующему требующуюся плотность закрытия клапана. Величина qгерм определяется материалом клапана и уплотняющего пояска, а также разностью давлений над и под клапаном, при которой необходимо обеспечить герметичность.

Для того, чтобы найти qгерм, необходимо найти разность входного и выходного давления.

рвх - рвых=47-8=39 кгс/см2=3,8259 МПа

и по графику следует, что qгерм=14,8*10-6 Н/м2=14,8 Н/см2

На рисунке 13 приведены необходимые удельные давления герметичности для разных материалов клапана и уплотняющего пояска. По выбранному для заданных материалов необходимому значению qгерм можно подсчитать силу пружины Q1.

Рисунок 13 - Наименьшие удельные давления герметичности для некоторых материалов: 1- фибра твердая; 2 - фибра; 3 - эбонит

Давление герметичности определим по формуле


где - площадь поверхности соприкосновения седла клапана с клапаном (м2): (40)


Fсед=3,14*30,5*0,5=47,885 мм2 =47,885*10-6 м2

Qгерм=14,8*47,885*10-6=7,1*10-5 кгс

Силу пружины Q1 находим из уравнения, откуда с учетом соотношений (27) и (39) получим

 (40)

Q1= 7,1*10-5-706,5*10-2*3,2=22,6 кгс

Зададим величину Fм площади поверхности основной мембраны или сильфона. Чем выше Fм, тем больше точность редуктора. Однако кроме точности редуктора при выборе Fм руководствуются еще допустимыми габаритами и массой редуктора. При определении размеров поршня Fп или вспомогательной мембраны Fм для редукторов с уравновешиванием, чтобы улучшить характеристику, берут dп (или dм) соответственно больше или меньше dкл на 0,2... 1,5%.

dп= dкл+1%=30,3 ммFп=pd2п/4=720,7 мм2

dм= dкл-1%=29,7 ммFм=pd2м/4=692,44 мм2

Сила затяжки Q1 основной пружины редуктора определяется из уравнения равновесия сил (1) или (23) в момент открытия клапана, т. е. когда перемещение клапана h = 0.

Из уравнения (1) определяем Q2

Q2=(рвыхвх)FклвыхFм+Q1=(8-47)*706,5*10-2+8*692,44*10-2+22,6= 353,53 кгс.

Поскольку характеристика редуктора всегда проходит ниже предельной, то иногда после ее расчета бывает необходимо скорректировать силу затяжки основной пружины, увеличив ее на 50... 100 Н. Поэтому при расчете пружины значение расчетного усилия на пружину берется несколько больше, чем затяжка пружины, полученная из формул (1) или (23).

Размеры пружин и их жесткость определяем, исходя из конструктивных соображений и используя обычные формулы, применяемые в расчетах деталей машин.

Жесткость металлических мембран рассчитывают или определяют по экспериментальным графикам, построенным для каждого данного типа и материала мембраны. Жесткость «мягких», резиновых или пластиковых, мембран учитывается введением вместо Fм приведенной площади

 (42)

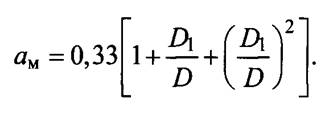
Величина ам для мембран с защитными дисками или без них определяется по формуле

 (43)

D1= dд=dм-50%=14,85 мм

D=dм=dкл-1%=29,7 мм

Определяем ам по формуле (43)

ам=0,5775

Определяем Fм прив по формуле (42)

Fм прив=Fм* ам=399,9 мм2

Для сильфонов можно принимать ам = 1.

После определения всех конструктивных параметров редуктора по уравнению характеристики проверяем, удовлетворяет ли редуктор заданным условиям работы. Для этого, задаваясь рядом значений рвх (обычно с интервалом 2…5 МПа), подсчитываем рвых. Если значения рвых не выходят из заданных пределов, расчет считается законченным. Если же характеристика редуктора вышла из заданных пределов, то с учетом влияния параметров на характеристику, описанным выше, корректируем конструктивные параметры редуктора и проводим расчет заново.

Действительная точность работы редуктора

Точность работы редуктора определяется величиной ± Δрвых. При работе редуктора действительная величина отклонения давления на выходе Δрвых.д будет больше теоретической величины Δ рвых, полученной из расчета. Причина отклонения заключается в невозможности абсолютно точного изготовления деталей редуктора и точной его настройки.

В зависимости от класса точности изготовления редуктора действительное отклонение можно оценить величиной

(44)

По формуле (29) определяется рвых0

рвых0=8,01 кгс/см2

По формуле (28) определяется Dрвых

вых=-0,01 кгс/см2

По формуле (44) определяем Dрвых д

вых д=-0,01+(0,05…0,15)=-0,01+0,05=0,04 кгс/см2

Следует также иметь в виду, что на величину выходного давления рвых влияет и температура редуктора, так как при изменении температуры изменяются механические свойства упругих элементов редуктора и их размеры.

Меняем значение рвх на ±2 кгс/см2вх1=45 и рвх2=49)кгс/см2 и производим аналогичные вычисления

Fдрос1=17,66 мм2Fдрос2=16,92 мм2

Fдрос=pd2дрос/4

dдрос1=4,74 ммdдрос2=4,64 мм

dкл1= dдрос1+(15…40)мм=dкл2= dдрос2+(15…40)мм=

=30,04 мм=29,94 мм

Fкл1=pd2кл1/4=708,385 мм2=Fкл2=pd2кл2/4=703,677 мм2=708,385*10-2 см2=703,677*10-2 см2

dср1= dкл1+d=dср2= dкл2+d=30,04+(0,3…0,5)мм=29,94+(0,3…0,5)мм=30,54 мм=30,44 мм

h1=Fдрос1/(p*dср1)=0,184 ммh2=Fдрос2/(p*dср2)=0,177 мм

рвх1 - рвых=45-8=37 кгс/см2вх2 - рвых=49-8=41 кгс/см2=3,63 МПа=4,02 МПа

qгерм1=14,6*10-6 Н/м2=14,6 Н/см2qгерм2=15*10-6 Н/м2=15 Н/см2

Fсед1=3,14*30,54*0,5=Fсед2=3,14*30,44*0,5=47,95 мм2=47,95*10-6 м2=47,79 мм2=47,79*10-6 м2

Qгерм1=14,6*47,95*10-6=Qгерм1=15*47,79*10-6=7*10-5 кгс=7,17*10-5 кгс

Q11= 7*10-5-708,385*10-2*3,2=Q12= 7,17*10-5-703,677*10-2*3,2=22,67 кгс=22,52 кгс

dп1= dкл1+1%=30,34 ммdп2= dкл2+1%=30,24 мм

Fп1=pd2п1/4=722,6 мм2Fп2=pd2п2/4=717,8 мм2

dм1= dкл1-1%=29,74 ммdм2= dкл2-1%=29,64 мм

Fм1=pd2м1/4=694,3 мм2Fм2=pd2м2/4=689,7 мм2

Из уравнения (1) определяем Q2

Q21=h(k1+k2+kм)+(рвыхвх)Fкл1выхFм1+Q11=0,0184*(5+5+0,5)+(8-45)* 708,385*10-2+8*694,3*10-2+22,67=340,51 кгс

Q22=h(k1+k2+kм)+(рвыхвх)Fкл2выхFм2+Q12=0,0177*(5+5+0,5)+(8-49)* 703,677*10-2+8*689,7*10-2+22,52=366,39 кгс

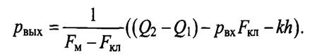
По формуле (3) определяем рвых


рвых1=-7,1*(317,84-318,77325-0,1932)=7,99 кгс

рвых2=-7,15*(343,87-344,80173-0,18585)=7,99 кгс

Заключение

В данной курсовой работе были закреплены знания лекционного материала по устройству и работе систем КСНО при подготовке и проведению пуска РКН, были получены навыки проведения расчёта элементов запорной арматуры, применяемой в системах и агрегатах КСНО. После определения всех конструктивных параметров редуктора, по уравнению характеристики проверили и удостоверились в том, что редуктор удовлетворяет заданным условиям работы.

Список использованных источников

1.      Добровольский М.В. Жидкостные ракетные двигатели. Основы проектирования. - М.: Машиностроение, 1968.

.        Алемасов В.Е.,Дрегалин А.Ф., Тишин А.П.. Гончар А.Г., Ковалев А.П., Поляков А.П. Ракетно-космический комплекс как объект эксплуатации. Учебное пособие. - СПб.: ВИККИ им. А.Ф. Можайского, 1977. - 98с.: ил.