Основные обозначения
ЖАД - жидкостный аккумулятор давления
КА - космический аппарат
ПГС - пневмогидравлическая система
РКН - ракета космического назначения
РКК - ракетно-космический комплекс
РКН - ракета космического назначения
ТТЗ - тактико-техническое задание
РБ - разгонный блок
СК - стартовый комплекс
СО - стартовое оборудование
ССЗ - стационарная система заправки
СОСГ - система обеспечения сжатыми газами
ТК - технический комплекс
ТТТ
- тактико-технические требования
Введение
Большинство технологических операций в системах и агрегатах СК (ТК), а также управление запорными элементами и силовыми приводами проводятся с использованием энергии сжатых газов. С этой целью применяются сжатый азот, воздух и гелий. При этом азот используется как инертный газ; воздух - как наиболее дешёвое рабочее тело, а гелий - как практически не растворяющийся газ, имеющий очень низкую температуру сжижения, небольшую вязкость и т.д.
Сжатые газы в баллонах или ёмкостях хранятся при давлении 40 МПа (400 кг/см2), 20 МПА (200 кг/см2), 0,6 МПА (60 кг/см2).
Для управления сжатые газы используются с давлениями от 2,5 МПА до 0,05 МПА. Подача сжатых газов различных потребителям осуществляется с расходом от 0,01 МПА до 10 МПА.
Понижение давления газа, поступающего из
баллонов высокого давления, осуществляют редукторы давления.
1. Назначение и классификация редукторов
Редукторы давления служат для понижения давления газа, поступающего из баллонов высокого давления. В жидкостных ракетных двигательных установках редукторы давления используются в магистралях подачи топлива и наддува топливных баков.
Редукторы подачи служат для обеспечения подачи компонентов либо непосредственно в камеру сгорания (при газобаллонной системе подачи), либо в газогенератор или ЖАД, которые, в свою очередь, обеспечивают подачу компонентов в камеру сгорания. В этом случае редуктор является одним из основных элементов системы подачи. От точности его работы зависит постоянство расхода компонентов в камеру двигателя, а следовательно, и постоянство режима работы камеры двигателя. Поэтому к точности работы этих редукторов предъявляют очень жесткие требования.
Редукторы наддува служат для обеспечения наддува различных элементов двигательной установки, а также для питания агрегатов системы управления двигательной установки. Точность работы этих редукторов непосредственно не влияет на режим работы камеры двигателя, и поэтому к точности работы этих редукторов предъявляют менее жесткие требования. Понижение давления газа в редукторе происходит вследствие дросселирования газа, при протекании его из полости высокого давления в полость низкого давления через проходное сечение малой площади, образованное клапаном и его седлом. Сущность дросселирования состоит в том, что в сечении между клапаном и седлом за счет снижения давления газ приобретает большую скорость и энергию давления превращается в кинетическую энергию газа. Попадая в полость низкого давления, газ тормозится; при этом кинетическая энергия его теряется из-за трения в многочисленных завихрениях, сопровождающих торможение газа. Поэтому при таком торможении газа давление его не восстанавливается. Для идеального газа температура торможения по всему потоку остаётся неизменной, следовательно, и температура газа в полости низкого давления после торможения газа должна быть равна температуре газа до начала дросселирования. Но так как реальный газ (особенно при низких температурах) не подчиняется законам идеального газа, то при дросселировании происходит изменение температуры. Для большинства газов, в том числе для воздуха азота, температура газа понижается, для водорода и гелия - повышается.
Величина понижения давления при дросселировании определяется размером дросселирующего отверстия между клапаном и седлом.
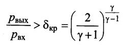
При работе редуктора в зависимости от величины
отношения давления на выходе pвых
к давлению на входе pвх
имеют место два режима течения газа через дросселирующее сечение. При
имеет место докритическое истечение газа. При pвых/pвх ≤ δ - истечение закритическое.
Основными элементами редуктора давления являются:
а) клапан, обеспечивающий изменение дроселирующего сечения (клапан 2 на рисунках 1 и 2);
б) чувствительный элемент, нагруженный, с одной
стороны, давлением редуцируемого газа, а с другой - силой давления пружины или
управляющего газа.

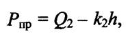
а - редуктор прямого хода;
б - редуктор обратного хода;
Рисунок 1 - Схема редукторов прямого и обратного
хода 1 - запорная пружина; 2 - клапан; 3 - толкатель; 4 - мембрана; 5 - диск; 6
- основная пружина
Рисунок 2 - Различные схемы редукторов обратного
хода а - сильфонных; б, в, г - мембранных;
- полость высокого давления; 2 - клапан; 3 - седло клапана; 4 - регулирующий винт; 5 - основная пружина; 6 - шток; 7 - пружина; 8 - дросселирующее сечение; 9 - полость низкого давления; 10 - сильфон; 11 - мембрана; 12 - отверстие (канал); 13 - полость низкого давления над клапаном; 14 - полость газа пневматического привода.
Свойства редуктора в значительной мере определяются тем, в каком направлении открывается клапан редуктора. По этому признаку редукторы разделяются на редукторы прямого и обратного хода.
В редукторе прямого хода (рис. 1, а) клапан открывается в направлении усилия, возникающего за счет действия газа высокого давления (по потоку газа). В редукторе обратного хода (рис. 1, б) клапан открывается против усилия возникающего за счет действия газа высокого давления (против потока газа),
По типу чувствительного элемента редукторы можно разделить на:
сильфонные (рисунок 2, а);
мембранные (рисунок 1, 2, б-г);
плунжерные или поршневые (рисунок 3, а, б).
2. Устройство и работа редукторов
На рисунках 2-5 показаны схемы и сечения
различных типов редукторов.
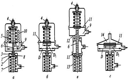
Рисунок 3 - Редукторы обратного хода
(обозначения см. рисунок 2)
Редуктор обратного хода. Когда редуктор не работает, пружина 5 (см. рисунок 2, а; 3) находится в свободном состоянии. Газ высокого давления поступает в полость высокого давления 1; сила давления газа и сила действия пружины 7 прижимают клапан 2 к седлу 3, не допуская прохода газа через клапан. При сжатии основной пружины 5 редуктора, регулирующим вин том 4 возникает усилие, которое через шток 6 передается на клапан 2.
Пружина поджимается до того момента, пока сила давления ее станет больше суммарной силы пружины 7, давления газа в полости высокого давления, прижимающего клапан 2 к седлу 3, и давления газа в полости низкого давления на рабочую поверхность Fм (сильфона или мембраны). При этом клапан 2 открывается, газ проходит через дросселирующее сечение 5, давление его падает и газ поступает в полость низкого давления 9, откуда через выходное отверстие направляется к месту назначения. Чем больше затяжка пружины 5, тем больше открывается клапан редуктора, тем меньше дросселируется газ, т. е. тем больше будет его давление после редуктора.
В редукторе, показанном на рис. 2, в и 4, полость низкого давления 9 каналом 12 в штоке 6 сообщена с полостью 13, отделенной от полости высокого давления мембраной 11. Таким образом, уравновешиваются силы давления газа на клапан 2, т. е. клапан 2 данного редуктора полностью или частично разгружен от сил давления газа (полностью при равенстве площади поверхностей мембраны 11 и площади клапана 2).
Редуктор не только уменьшает давление газа до
необходимой величины, но и является регулятором, сохраняющим давление на выходе
постоянным, несмотря на то, что давление на входе в редуктор, т. е. давление в
баллоне, всё время работы двигательной установки падает.
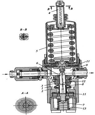
Рисунок 4 - Редуктор (обозначения см. рисунок 2)
Если, например, давление в полости низкого
давления 9 возрастет выше заданного, определяемого затяжкой пружины 5, то сила,
действующая на поверхность Fм,
становится настолько большой, что она преодолевает силу пружины 5. Тогда шток 6
вместе с клапаном 2 перемещается вверх и проходное сечение уменьшается.
Поступление газа в полость 9 при этом уменьшается до тех пор, пока давление в
ней не станет опять равным заданному. Если давление в полости 9 станет ниже
заданного, то уменьшится сила давления на поверхность Fм,
действующая против пружины 5, и пружина вместе со штоком 6 переместится вниз, а
вместе с ней переместится и клапан 2. Вследствие этого проходное сечение
увеличится, степень дросселирования газа уменьшится и давление газа в полости 9
снова поднимется до заданного. В редукторах, работающих по схеме,
представленной на рис. 4, б, усилие, действующее на клапан 5 со стороны пружины
2 и давления газа в полости 3, компенсируется за счет давления на поршень 6,
который штоком 9 жестко связан с клапаном 5.

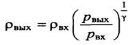
а - с сообщающимися полостями высокого и низкого давлений; б - без сообщающихся полостей;
Рисунок 5 - Схемы редукторов прямого хода
- регулировочный винт; 2 - основная пружина; 3 - полость высокого давления; 4 седло клапана; 5 клапан; 6 поршень (плунжер); 7 канал низкого давления; 8 - полость низкого давления; 9 - шток; 10 - канал высокого давления; 11 - дросселирующее отверстие Отличие редуктора, изображенного на рисунке 5, а, от редуктора, показанного на рисунке 5, б, заключается в том, что в первом полости высокого и низкого давления 3 и 8 состоят из двух частей, соединенных соответственно каналами 10 и 7; во втором редукторе этого соединения нет. Редуктор прямого хода. Газ высокого давления входит в полость 3 (рисунок 5). Дросселирование газа происходит в дросселирующем отверстии 11 между клапаном 5 и седлом клапана 4. Газ пониженного давления поступает в полость низкого давления 8 и оттуда к потребителю. В редукторе, работающем по схеме, приведенной на рисунке 4, а, клапан 5 разгружен от усилия, действующего на него со стороны пружины 2 и высокого давления в полости 3, путем установки двух поршней 6. В полости 3 и 8 над поршнями по каналам 10 и 7 поступает газ, давлением которого поршни 6 разгружаются. В редукторах, работающих по схеме, представленной на рисунке 4, б, усилие, действующее на клапан 5 со стороны пружины 2 и давления газа в полости 3, компенсируется за счет давления на поршень 6, который штоком 9 жестко связан с клапаном 5.
Отличие редуктора, изображенного на рисунке 4, а, от редуктора, показанного на рисунке 4, б, заключается в том, что в первом полости высокого и низкого давления 3 и 8 состоят из двух частей, соединенных соответственно каналами 10 и 7; во втором редукторе этого соединения нет.
Редуктор прямого хода работает следующим
образом. В случае превышения давления в полости 8 сверх заданного и
установленного путем соответствующей затяжки пружины 2 сила на клапан 5,
действующая вверх, возрастает, при этом клапан 5 поднимется и дросселирующее
отверстие уменьшится, что вызовет понижение давления на выходе до заданной
величины. В случае понижения давления в полости 8 клапан 5 будет опускаться,
дросселирующее отверстие 11 увеличиваться и давление снова повысится до
заданного.
3. Характеристики редукторов
Редуктор давления газа при правильном его устройстве является регулятором давления газа на выходе. Но, как большинство регуляторов, он работает с некоторой неравномерностью, т. е. при изменении давления на входе в редуктор меняется давление и на выходе из него.
Зависимость давления на выходе pвых
от давления на входе в редуктор pвх
называется характеристикой редуктора. Зависимость давления на выходе из
редуктора от давления на входе при отсутствии расхода газа будем называть
предельной характеристикой.
.1 Характеристики редуктора обратного хода
Для того чтобы определить характеристики редуктора, т. е. найти зависимость pвых от pвх, составим уравнение равновесия подвижных частей редуктора при открытом клапане (см. рис. 2 и 3). Силы, действующие вниз, будем считать положительными, вверх - отрицательными.
При работе редуктора вниз действует только сила
пружины 5:
где Q2 - сила давления пружины 5 при закрытом клапане редуктора (Н); k2 - жесткость пружины 5 (Н/м); h - подъем клапана (м).
Вверх действуют следующие силы.
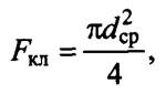
где Fкл
- площадь поверхности клапана, на которую действует сила разности давления газа
высокого давления и редуцированного газа. Для схемы, показанной на рис. 6, а,
имеем
где dср
= dкл
+ δ;
для схемы, показанной на рис. 6, б, имеем
Рис. 6. К определению Fкл
и Fдрос
.Cила
давления на клапан 2 пружины 7 (см. рис. 2)
где Q1 - сила давления пружины 7 при закрытом клапане (сила предварительной затяжки); k1 - жесткость пружины 7.
.Сила давления газа в полости низкого давления на мембрану или сильфон
редуктор пружина мембрана дросселирующий
где Fм - площадь поверхности мембраны или сильфона.
.Сила, действующая вверх, вследствие жесткости
мембраны:
где kм
- жесткость мембраны. Эта сила учитывается при установке жестких металлических
мембран. В случае установки «мягких», резиновых или пластиковых, мембран
жесткость их удобнее учитывать введением вместо Fм
приведенной площади мембраны:
где ам - коэффициент, учитывающий жесткость мембраны.
При равновесии редуктора сумма всех этих сил
равна нулю, т. е. уравнение равновесия подвижных частей редуктора будет иметь
вид
(1)
Обозначив
(2)
(3)
Величина подъема клапана h связана с расходом газа, протекающего через дросселирующее сечение редуктора.
Площадь дросселирующего сечения вычисляется по
формуле
(4)
где hx
определяется в зависимости от конструкции клапана. При схеме клапана,
показанной на рис. 6, a,
hx = h;
при схеме, приведенной на рис. 6, б,
Для простоты анализа будем рассматривать клапан схемы, показанной на рис. 6, а. В случае клапана, выполненного по схеме 6, б, порядок изложения не меняется.
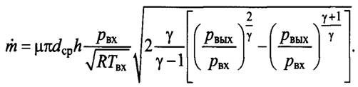
Расход газа через редуктор определяется по
формуле
(5)
где ωвых и рвых - соответственно скорость истечения и плотность газа на выходе из дросселирующего сечения; μ - коэффициент расхода.
Подставив в выражение (5) известные из
газодинамики значения ωвых
,
после простых преобразований получим следующие уравнения, определяющие расход газа.
. При докритическом течении
(6)
По уравнению состояния удельный объем
вычисляется по формуле
Подставив в уравнение (6) выражение для
удельного объема, получим
(6)
Введя обозначение
(7)
Рисунок 7 - Зависимость А(γ)
= f(pвых/pвх)
при γ
=
1,4
Получим
(8)
Выражение (8) можно переписать в виде
(9)