Материал: Проектирование и расчет редуктора давления газа

Внимание! Если размещение файла нарушает Ваши авторские права, то обязательно сообщите нам

где  (10)

отсюда находим подъем клапана при докритическом течении:

(11)

. При сверхкритическом течении

(12)

(13)

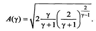
где А = μπА(γ). Здесь

(14)

Отсюда находим подъем клапана при сверхкритическом течении:

(15)

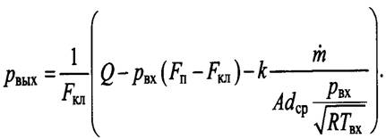
Таким образом, при любом режиме истечения газа через клапан (докритическом или сверхкритическом) перемещение клапана определяется формулой

(16)

При этом, однако, величина А(γ) для докритического течения газа определяется формулой (7); при сверхкритическом течении А(γ) - величина постоянная и определяется формулой (14).

Подставив полученное выражение (16), определяющее h, в уравнение (3), получим уравнение характеристики редуктора:

(17)

При расходе газа через редуктор, когда, получим уравнение предельной характеристики:

(18)

или

(19)

т.е. уравнение прямой. Протекание характеристики показано на рис. 8..

Рисунок 8 - Характеристики редуктора

Из анализа графика видно, что при  с уменьшением давления на входе давление на выходе несколько возрастает. Такой вид предельной характеристики типичен для редукторов обратного хода и, как мы увидим далее, очень часто имеет место и в редукторах прямого хода.

Очевидно, что предельная характеристика, получаемая из выражения (19), имеет смысл только до точки М (см. рис. 8), так как из равенства (19) следует, что левее точки М давление на выходе pвых становится больше давления на входе pвх, что невозможно.

Таким образом, в случае  (бесконечно малый расход) при pвх < pвых редуктор уже не является регулятором. Клапан редуктора открыт полностью до hmax, и через него происходит сброс давления газа из баллона. Так как при бесконечно малом расходе потери на сопротивление равны нулю, то pвых = pвх на участке ОМ, т. е. предельная характеристика пойдет в начало координат под углом 45°.

Рассмотрим, какой вид будет иметь характеристика редуктора при некотором конечном расходе газа. Как видно из уравнения (17), при расходе газа на протекание характеристики влияет еще третий член уравнения, причем влияние его на изменение pвых обратно влиянию второго члена. По мере уменьшения  влияние третьего члена увеличивается и характеристика все более отходит от предельной характеристики.

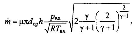
Так же, как и предельная характеристика, характеристика редуктора при расходе газа подчиняется уравнению (17) только до определенного давления на входе pвх, несколько большего, чем pвых. Как видно из уравнений (16) и (17), при значениях pвх, близких к pвых, в связи с резким уменьшением А для сохранения заданного расхода  необходимо увеличивать значение Fдрос, т. е. увеличивать h. Наибольший целесообразный подъем клапана h = hmax определяется тем условием, что площадь Fдрос не имеет смысла делать большей, чем площадь проходного сечения клапана Fкл. Следовательно, после открытия клапана до hmax редуктор перестает быть регулирующим органом (точка m на характеристике). При этом в случае дальнейшей подачи газа через редуктор клапан редуктора открыт полностью и с уменьшением pвх соответственно уменьшается pвых и расход газа . Характеристика редуктора от точки m является уже характеристикой с переменным расходом и идет в начало координат. Определим величину наибольшего целесообразного подъема клапана hmax для простейшей схемы, показанной на рис. 6, а.

 ,

(20)

Полагая  получим

(21)

Аналогично можно получить величину hmax и для других схем клапанов. Подставляя hmax в формулу (16), находим выражение для определения pвх min до значения которого справедливо уравнение (17):

(22)

Чем больше расход газа через редуктор, тем (при прочих равных условиях) больше влияние третьего члена в уравнении (17) на характеристику.

Характеристики редуктора при различных расходах  как бы вписываются в характеристику при . Таким образом, смысл характеристики при  состоит в том, что она является предельной характеристикой семейства характеристик редуктора при различных расходах.

.2 Характеристики редуктора прямого хода

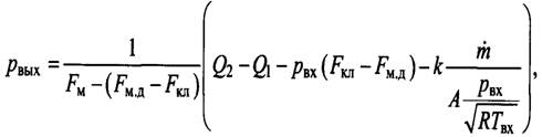
Уравнение равновесия подвижных частей редуктора (см. рис. 5, б) составляется аналогично уравнению (9.22) и имеет вид

(23)

где Fп - площадь поверхности поршня (плунжера). (Аналогичное уравнение получилось бы и для редуктора, работающего по схеме, представленной на рис. 5,а.)

После несложных преобразований с учетом уравнения (16) получим уравнение характеристики

(24)

Из сопоставления полученного уравнения с уравнением (17) видно, что структура одинакова, однако при втором члене уравнения появился множитель (Fп - Fкл). Варьируя значение разности площадей поршня и клапана Fп - Fкл, можно обеспечить получение характеристики, наиболее приближающейся к потребной.

Рассмотрим поведение предельной характеристики (рис. 9).

Рисунок 9 - Влияние разности площадей Fп - Fкл на характеристику

Уравнение предельной характеристики получаем из выражения (24) при :

 (25)

В зависимости от величины Fп - Fкл предельная характеристика будет иметь различный наклон. При Fп > Fкл предельная характеристика будет иметь вид ОMN1.

При Fп = Fкл второй член равен нулю и предельная характеристика на участке MNII пройдет параллельно оси абсцисс. При Fп < Fкл изменится знак воздействия второго члена, и предельная характеристика пройдет по ломаной OMNIII. При предельных характеристиках OMNIII и OMNII характеристика при каком-либо расходе  будет убывающей по кривым OmIIINIII или OmIINII (т. е. с уменьшением pвх давление рвых также уменьшается). Большую возможность использования газа в баллоне высокого давления даёт характеристика вида OmINI, т. е. нам выгодно иметь некоторую положительную разность площадей Fп - Fкл

Характеристика редуктора (24) так же, как и характеристика, соответствующая уравнению (17), следует уравнению только до определенного значения рвх min, соответствующего полному открытию дросселирующего сечения. При дальнейшей подаче газа мы получим характеристику с переменным расходом (участки OmI, OmII, OmIII).

.3 Уравновешивание редукторов

В рассмотренном выше примере наличие поршня, жестко связанного с клапаном, как бы разгружало клапан от воздействия сил давления на входе. Такие редукторы называют уравновешенными.

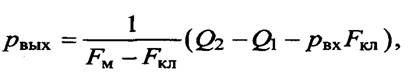
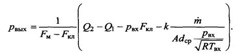
Анализ редуктора прямого хода, работающего по схеме, представленной на рис. 5, б, показывает, что уравновешивание улучшает характеристику редуктора. При Fп = Fкл мы имеем полное уравновешивание, однако для получения лучшей характеристики нам выгодно оставлять некоторую неуравновешенность клапана. Уравновешивание применяется и в редукторах обратного хода. Пример уравновешенного редуктора обратного хода, работающего по схеме, приведенной на рис. 2,в, показан на рис. 4. Уравновешивание клапана достигается постановкой дополнительной мембраны 11 площадью Fм. д. и сообщением с помощью канала 12 полости низкого давления с полостью 13. Уравнение характеристики такого редуктора имеет вид

 (26)

где Q2 и Q1 - затяжки основной пружины 5 и пружины клапана 7; k - суммарная жесткость пружин и мембран.

Варьируя разность площадей Fкл - Fм. д. можно обеспечить желательное изменение предельной и основной характеристик аналогично характеристике, приведенной на рис. 9.

Использование запаса газа в баллоне

Как бы удачно ни был спроектирован редуктор, получить такую, характеристику его работы, по которой давление на выходе оставалось бы неизменным (в пределах точности работы редуктора) вплоть до равенства давлений на входе и на выходе, невозможно.

Всегда при каком-то рвх. min > рвых давление рвых начинает уменьшаться.

Таким образом, мы не можем использовать весь запас газа в баллоне. Количество недоиспользованного запаса газа определяется величиной

Рисунок 10 - К определению Δpред

(27)

Величину Δpред можно определить из графика характеристики редуктора (рис. 10).

Чем меньше величина Δpред тем лучше использование запаса газа из баллона.

Идеальной характеристикой любого редуктора являлась бы характеристика, по которой при заданном постоянном расходе т независимо от изменения давления на входе pвх обеспечивалось бы неизменное давление на выходе pвых. На протекание характеристики влияют второй и третий члены уравнения характеристики (17) или (24). Поскольку с изменением pвх эти члены изменяются по разным законам, очевидно, получить характеристику с неизменным pвых (идеальную характеристику) нельзя, поэтому задача состоит в том, чтобы получить характеристику, возможно более близкую к идеальной. Для этого конструктивные элементы редуктора (мембрана, пружина, поршень и т. д.) и размеры клапанов должны быть подобраны так, чтобы изменение упругих сил действия пружин и мембраны (последний член уравнения) наилучшим образом компенсировало воздействие сил давления.

Рассмотрим, как влияют различные параметры работы редуктора на его характеристику.

Влияние изменения давления на входе pвх на изменение pвых

Рассмотрим, во-первых, как влияет изменение давления на входе pвх на величину отклонения pвых от заданного номинального значения pвых 0, т. е. на величину

 (28)

Величина Δpвых определяет качество нашей характеристики. Наиболее желательной является характеристика, для которой Δpвых равно или близко к нулю.

Для этого составим уравнение характеристики для какого-либо фиксированного значения давления на входе pвх 0, при котором давление на выходе равно pвых 0 (в дальнейшем, для конкретности, будем рассматривать уравнение характеристики (17) как более общее, хотя весь анализ, разумеется, справедлив для характеристики любого редуктора):

 (29)

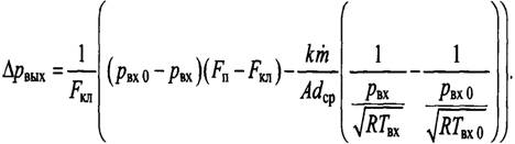
Для определения Δpвых вычтем почленно уравнение (29) из уравнения (17); тогда получим

 (30)

 (31)

 (32)

(33)

Рассмотрим изменение Δpвых при изменении pвх.

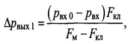
.        Влияние изменения pвх на Δpвых 1. Уравнение (32) является уравнением прямой. При pвх = pвх 0 имеем

при pвх = pвх min имеем


Зависимость Δpвых = f(pвх) показана на рис. 11 прямой аnb.

Рисунок 11 - Влияние изменения pвх на Δpвых

.        Влияние изменения Δpвых на Δpвых 2. При pвх = pвх 0 имеем

при  имеем


при

Зависимость Δpвых 2 = f (pвх) показана на рис. 11 кривой cnd. Так как в уравнении (31) знаки воздействия Δpвых1 и Δpвых 2 на величину Δpвых противоположны, то очевидно, что заштрихованная область между линиями cnd и and является в соответствующем масштабе эпюрой изменения Δpвых = Δpвых1 - Δpвых 2.

Давление на выходе из редуктора рвых задается с определенным допуском Δpвых 0 на отклонение от заданного:

 (34)

Величина Δpвых 0 определяется требованиями к работе редуктора. Заданная величина допуска на отклонение pвых от р вых 0 для данного редуктора определяет наибольшее pвх2 и наименьшее pвх 1 давления на входе, при которых работа редуктора удовлетворяет предъявляемым требованиям. Для редуктора прямого хода, работающего по схеме, показанной на рис. 5, имеем

 (35)

Анализ этого уравнения, аналогичный приведенному выше анализу уравнения (32), показывает, что и в этом случае влияние рвх на Δpвых выражается графиком, представленным на рис. 11, только в другом масштабе.

3.4 Влияние площади поверхности чувствительного элемента (мембраны, сильфона, плунжера)

Для редуктора, работающего по схеме, показанной на рис. 2, это влияние очевидно: чем больше величина Fм, тем при прочих равных условиях меньше значения величины Δpвых (30). Таким образом, увеличение Fм повышает точность работы редуктора или при заданной точности увеличивает допустимый диапазон давлений газа pвх2 - pвх1 при котором редуктор обеспечивает заданное давление на выходе, т. е. улучшает использование запаса газа в баллоне. Для редукторов, работающих по схеме, приведенной на рис. 5, влияние площади поршня или плунжера сказывается через разность Fп - Fкл уравнении (35).