Продолжение таблицы 4
Общее число порций - 2220
Таблица 5 - Расчётное меню
|
№ ТК |
Наименование блюда |
Выход, г. |
Кол-во порций |
|||
|
1 |
2 |
3 |
4 |
|||
|
25 |
Салат «Летний» |
200 |
111 |
|||
|
47 |
Салат «Рыбный» |
150 |
67 |
|||
|
51 |
Салат «Мясной» |
150 |
66 |
|||
|
54 |
Салат «Столичный» |
150 |
89 |
|||
|
645 |
Кефир |
200 |
66 |
|||
|
645 |
Ряженка |
200 |
45 |
|||
|
113 |
Борщ сибирский |
250 |
222 |
|||
|
124 |
Щи по-уральски |
250 |
200 |
|||
|
132 |
Суп из овощей |
250 |
133 |
|||
|
215 |
Рагу из овощей |
260 |
88 |
|||
|
302 |
Рыба отварная |
125 |
45 |
|||
|
312 |
Рыба по-ленинградски |
125 |
88 |
|||
|
360 |
Котлеты натуральные паровые |
145 |
45 |
|||
|
381 |
Котлеты отбивные |
145 |
89 |
|||
|
401 |
Гуляш из свинины |
175 |
89 |
|||
|
255 |
Каша гречневая |
165 |
89 |
|||
|
257 |
Каша рисовая |
215 |
89 |
|||
|
257 |
Каша овсяная на молоке |
160 |
66 |
|||
|
273 |
Макароны отварные |
150 |
89 |
|||
|
603 |
Желе |
100 |
45 |
|||
|
623 |
Шарлотка с яблоками |
100 |
66 |
|||
|
628 |
Чай с сахаром |
200/15 |
45 |
|||
|
635 |
Кофе чёрный |
200 |
66 |
|||
|
588 |
Компот из смеси сухофруктов |
200 |
66 |
|||
|
592 |
Кисель из клюквы |
200 |
45 |
|||
|
680 |
Блинчики с повидлом |
140 |
45 |
|||
|
682 |
Оладьи |
165 |
22 |
|||
|
688 |
Пирожки с картофелем |
80 |
22 |
|||
|
705 |
Гренки с сыром |
50 |
22 |
|||
Таблица 6 - Определение количества напитков и хлеба
|
Холодные напитки и кулинарные изделия |
Норма на человека |
Общее кол-во на 780 человек |
|
Хлеб |
0.06 |
47 |
Реализация блюд в зале производится по формуле
(3)
где nд - количество блюд, реализуемых за весь день;
Кч - коэффициент пересчета для
данного часа

2.4 Расчёт площадей
складских помещений
Расчет площадей помещений по удельной нагрузке
на 1 м2 грузовой площади пола определяется по формуле
; (4)
где G - суточный запас продуктов данного вида, кг;
τ - срок годности в сутках;
q - коэффициент удельной нагрузки на 1 м2 грузовой площади пола, кг/м2
β
-коэффициент увеличения площади на проходы (до 10 м2 =2.2)
Таблица 8 - Расчёт площади охлаждаемой камеры
|
Продукт |
Суточный запас, кг |
Частота закупок, сут |
Уд. нагруз. на ед. площ. |
Площадь, м2 |
|||||||||||||||||||||||||||||||||||||||||||||||||||||||||||||||||||||||||||||||||||||||||||||||||||||||||||||||||||||||||||||||||||||||||||||||||||||||||||||||||||||||||||||||||||||||||||||||||||||||||||||||||||||||||||||||||||||||||||||||||||||||||||||||||||||||||||||||||||||||||||||||||||||||||||||||||||||||||||||||||||||||||||||||||||||||||||||||||||||||||||||||||||||||||||||||||||||||||||||||||||||||||||||||||||||||||||||||||||||||||||||||||||||||||||||||||||||||||||||||||||||||||||||||||||||||||||||||||||||||||||||||||||||||||||||||||||||||||||||||||||||||||||||||||||||||||||||||||||||||||||||||||||||||||||||||||||||||||||||||||||||||||||||||||||||||||||||||||||||||||||||||||||||||||||||||||||||||||||||||||||||||||||||||||||||||||||||||||||||||||||||||||||||||||||||||||||||||||||||||||||||||||||||||||||||||||||||||||||||||||||||||||||||||||||||||||||||||||||||||||||||||||||||||||||||||||||||||||||||||||||||||||||||||||||||||||||||||||||||||||||||||||||||||||||||||||||||||||||
|
Картофель |
23,2 |
3 |
300 |
0,51 |
|||||||||||||||||||||||||||||||||||||||||||||||||||||||||||||||||||||||||||||||||||||||||||||||||||||||||||||||||||||||||||||||||||||||||||||||||||||||||||||||||||||||||||||||||||||||||||||||||||||||||||||||||||||||||||||||||||||||||||||||||||||||||||||||||||||||||||||||||||||||||||||||||||||||||||||||||||||||||||||||||||||||||||||||||||||||||||||||||||||||||||||||||||||||||||||||||||||||||||||||||||||||||||||||||||||||||||||||||||||||||||||||||||||||||||||||||||||||||||||||||||||||||||||||||||||||||||||||||||||||||||||||||||||||||||||||||||||||||||||||||||||||||||||||||||||||||||||||||||||||||||||||||||||||||||||||||||||||||||||||||||||||||||||||||||||||||||||||||||||||||||||||||||||||||||||||||||||||||||||||||||||||||||||||||||||||||||||||||||||||||||||||||||||||||||||||||||||||||||||||||||||||||||||||||||||||||||||||||||||||||||||||||||||||||||||||||||||||||||||||||||||||||||||||||||||||||||||||||||||||||||||||||||||||||||||||||||||||||||||||||||||||||||||||||||||||||||||||||||
|
Огурцы свежие |
9 |
3 |
300 |
0,2 |
|||||||||||||||||||||||||||||||||||||||||||||||||||||||||||||||||||||||||||||||||||||||||||||||||||||||||||||||||||||||||||||||||||||||||||||||||||||||||||||||||||||||||||||||||||||||||||||||||||||||||||||||||||||||||||||||||||||||||||||||||||||||||||||||||||||||||||||||||||||||||||||||||||||||||||||||||||||||||||||||||||||||||||||||||||||||||||||||||||||||||||||||||||||||||||||||||||||||||||||||||||||||||||||||||||||||||||||||||||||||||||||||||||||||||||||||||||||||||||||||||||||||||||||||||||||||||||||||||||||||||||||||||||||||||||||||||||||||||||||||||||||||||||||||||||||||||||||||||||||||||||||||||||||||||||||||||||||||||||||||||||||||||||||||||||||||||||||||||||||||||||||||||||||||||||||||||||||||||||||||||||||||||||||||||||||||||||||||||||||||||||||||||||||||||||||||||||||||||||||||||||||||||||||||||||||||||||||||||||||||||||||||||||||||||||||||||||||||||||||||||||||||||||||||||||||||||||||||||||||||||||||||||||||||||||||||||||||||||||||||||||||||||||||||||||||||||||||||||||
|
Помидоры свежие |
7,9 |
3 |
300 |
0,17 |
|||||||||||||||||||||||||||||||||||||||||||||||||||||||||||||||||||||||||||||||||||||||||||||||||||||||||||||||||||||||||||||||||||||||||||||||||||||||||||||||||||||||||||||||||||||||||||||||||||||||||||||||||||||||||||||||||||||||||||||||||||||||||||||||||||||||||||||||||||||||||||||||||||||||||||||||||||||||||||||||||||||||||||||||||||||||||||||||||||||||||||||||||||||||||||||||||||||||||||||||||||||||||||||||||||||||||||||||||||||||||||||||||||||||||||||||||||||||||||||||||||||||||||||||||||||||||||||||||||||||||||||||||||||||||||||||||||||||||||||||||||||||||||||||||||||||||||||||||||||||||||||||||||||||||||||||||||||||||||||||||||||||||||||||||||||||||||||||||||||||||||||||||||||||||||||||||||||||||||||||||||||||||||||||||||||||||||||||||||||||||||||||||||||||||||||||||||||||||||||||||||||||||||||||||||||||||||||||||||||||||||||||||||||||||||||||||||||||||||||||||||||||||||||||||||||||||||||||||||||||||||||||||||||||||||||||||||||||||||||||||||||||||||||||||||||||||||||||||||
|
Лук зелёный |
2,7 |
2 |
200 |
0,06 |
|||||||||||||||||||||||||||||||||||||||||||||||||||||||||||||||||||||||||||||||||||||||||||||||||||||||||||||||||||||||||||||||||||||||||||||||||||||||||||||||||||||||||||||||||||||||||||||||||||||||||||||||||||||||||||||||||||||||||||||||||||||||||||||||||||||||||||||||||||||||||||||||||||||||||||||||||||||||||||||||||||||||||||||||||||||||||||||||||||||||||||||||||||||||||||||||||||||||||||||||||||||||||||||||||||||||||||||||||||||||||||||||||||||||||||||||||||||||||||||||||||||||||||||||||||||||||||||||||||||||||||||||||||||||||||||||||||||||||||||||||||||||||||||||||||||||||||||||||||||||||||||||||||||||||||||||||||||||||||||||||||||||||||||||||||||||||||||||||||||||||||||||||||||||||||||||||||||||||||||||||||||||||||||||||||||||||||||||||||||||||||||||||||||||||||||||||||||||||||||||||||||||||||||||||||||||||||||||||||||||||||||||||||||||||||||||||||||||||||||||||||||||||||||||||||||||||||||||||||||||||||||||||||||||||||||||||||||||||||||||||||||||||||||||||||||||||||||||||||
|
Фасоль стручковая |
1,8 |
2 |
200 |
0,04 |
|||||||||||||||||||||||||||||||||||||||||||||||||||||||||||||||||||||||||||||||||||||||||||||||||||||||||||||||||||||||||||||||||||||||||||||||||||||||||||||||||||||||||||||||||||||||||||||||||||||||||||||||||||||||||||||||||||||||||||||||||||||||||||||||||||||||||||||||||||||||||||||||||||||||||||||||||||||||||||||||||||||||||||||||||||||||||||||||||||||||||||||||||||||||||||||||||||||||||||||||||||||||||||||||||||||||||||||||||||||||||||||||||||||||||||||||||||||||||||||||||||||||||||||||||||||||||||||||||||||||||||||||||||||||||||||||||||||||||||||||||||||||||||||||||||||||||||||||||||||||||||||||||||||||||||||||||||||||||||||||||||||||||||||||||||||||||||||||||||||||||||||||||||||||||||||||||||||||||||||||||||||||||||||||||||||||||||||||||||||||||||||||||||||||||||||||||||||||||||||||||||||||||||||||||||||||||||||||||||||||||||||||||||||||||||||||||||||||||||||||||||||||||||||||||||||||||||||||||||||||||||||||||||||||||||||||||||||||||||||||||||||||||||||||||||||||||||||||||||
|
Салат |
1,6 |
2 |
80 |
0,09 |
|||||||||||||||||||||||||||||||||||||||||||||||||||||||||||||||||||||||||||||||||||||||||||||||||||||||||||||||||||||||||||||||||||||||||||||||||||||||||||||||||||||||||||||||||||||||||||||||||||||||||||||||||||||||||||||||||||||||||||||||||||||||||||||||||||||||||||||||||||||||||||||||||||||||||||||||||||||||||||||||||||||||||||||||||||||||||||||||||||||||||||||||||||||||||||||||||||||||||||||||||||||||||||||||||||||||||||||||||||||||||||||||||||||||||||||||||||||||||||||||||||||||||||||||||||||||||||||||||||||||||||||||||||||||||||||||||||||||||||||||||||||||||||||||||||||||||||||||||||||||||||||||||||||||||||||||||||||||||||||||||||||||||||||||||||||||||||||||||||||||||||||||||||||||||||||||||||||||||||||||||||||||||||||||||||||||||||||||||||||||||||||||||||||||||||||||||||||||||||||||||||||||||||||||||||||||||||||||||||||||||||||||||||||||||||||||||||||||||||||||||||||||||||||||||||||||||||||||||||||||||||||||||||||||||||||||||||||||||||||||||||||||||||||||||||||||||||||||||||
|
Свекла |
8,9 |
3 |
300 |
0,13 |
|||||||||||||||||||||||||||||||||||||||||||||||||||||||||||||||||||||||||||||||||||||||||||||||||||||||||||||||||||||||||||||||||||||||||||||||||||||||||||||||||||||||||||||||||||||||||||||||||||||||||||||||||||||||||||||||||||||||||||||||||||||||||||||||||||||||||||||||||||||||||||||||||||||||||||||||||||||||||||||||||||||||||||||||||||||||||||||||||||||||||||||||||||||||||||||||||||||||||||||||||||||||||||||||||||||||||||||||||||||||||||||||||||||||||||||||||||||||||||||||||||||||||||||||||||||||||||||||||||||||||||||||||||||||||||||||||||||||||||||||||||||||||||||||||||||||||||||||||||||||||||||||||||||||||||||||||||||||||||||||||||||||||||||||||||||||||||||||||||||||||||||||||||||||||||||||||||||||||||||||||||||||||||||||||||||||||||||||||||||||||||||||||||||||||||||||||||||||||||||||||||||||||||||||||||||||||||||||||||||||||||||||||||||||||||||||||||||||||||||||||||||||||||||||||||||||||||||||||||||||||||||||||||||||||||||||||||||||||||||||||||||||||||||||||||||||||||||||||||
|
Капуста свежая |
7,1 |
3 |
300 |
0,16 |
|||||||||||||||||||||||||||||||||||||||||||||||||||||||||||||||||||||||||||||||||||||||||||||||||||||||||||||||||||||||||||||||||||||||||||||||||||||||||||||||||||||||||||||||||||||||||||||||||||||||||||||||||||||||||||||||||||||||||||||||||||||||||||||||||||||||||||||||||||||||||||||||||||||||||||||||||||||||||||||||||||||||||||||||||||||||||||||||||||||||||||||||||||||||||||||||||||||||||||||||||||||||||||||||||||||||||||||||||||||||||||||||||||||||||||||||||||||||||||||||||||||||||||||||||||||||||||||||||||||||||||||||||||||||||||||||||||||||||||||||||||||||||||||||||||||||||||||||||||||||||||||||||||||||||||||||||||||||||||||||||||||||||||||||||||||||||||||||||||||||||||||||||||||||||||||||||||||||||||||||||||||||||||||||||||||||||||||||||||||||||||||||||||||||||||||||||||||||||||||||||||||||||||||||||||||||||||||||||||||||||||||||||||||||||||||||||||||||||||||||||||||||||||||||||||||||||||||||||||||||||||||||||||||||||||||||||||||||||||||||||||||||||||||||||||||||||||||||||||
|
Морковь |
9,0 |
3 |
300 |
0,2 |
|||||||||||||||||||||||||||||||||||||||||||||||||||||||||||||||||||||||||||||||||||||||||||||||||||||||||||||||||||||||||||||||||||||||||||||||||||||||||||||||||||||||||||||||||||||||||||||||||||||||||||||||||||||||||||||||||||||||||||||||||||||||||||||||||||||||||||||||||||||||||||||||||||||||||||||||||||||||||||||||||||||||||||||||||||||||||||||||||||||||||||||||||||||||||||||||||||||||||||||||||||||||||||||||||||||||||||||||||||||||||||||||||||||||||||||||||||||||||||||||||||||||||||||||||||||||||||||||||||||||||||||||||||||||||||||||||||||||||||||||||||||||||||||||||||||||||||||||||||||||||||||||||||||||||||||||||||||||||||||||||||||||||||||||||||||||||||||||||||||||||||||||||||||||||||||||||||||||||||||||||||||||||||||||||||||||||||||||||||||||||||||||||||||||||||||||||||||||||||||||||||||||||||||||||||||||||||||||||||||||||||||||||||||||||||||||||||||||||||||||||||||||||||||||||||||||||||||||||||||||||||||||||||||||||||||||||||||||||||||||||||||||||||||||||||||||||||||||||||
|
Лук репчатый |
7,8 |
3 |
300 |
0,17 |
|||||||||||||||||||||||||||||||||||||||||||||||||||||||||||||||||||||||||||||||||||||||||||||||||||||||||||||||||||||||||||||||||||||||||||||||||||||||||||||||||||||||||||||||||||||||||||||||||||||||||||||||||||||||||||||||||||||||||||||||||||||||||||||||||||||||||||||||||||||||||||||||||||||||||||||||||||||||||||||||||||||||||||||||||||||||||||||||||||||||||||||||||||||||||||||||||||||||||||||||||||||||||||||||||||||||||||||||||||||||||||||||||||||||||||||||||||||||||||||||||||||||||||||||||||||||||||||||||||||||||||||||||||||||||||||||||||||||||||||||||||||||||||||||||||||||||||||||||||||||||||||||||||||||||||||||||||||||||||||||||||||||||||||||||||||||||||||||||||||||||||||||||||||||||||||||||||||||||||||||||||||||||||||||||||||||||||||||||||||||||||||||||||||||||||||||||||||||||||||||||||||||||||||||||||||||||||||||||||||||||||||||||||||||||||||||||||||||||||||||||||||||||||||||||||||||||||||||||||||||||||||||||||||||||||||||||||||||||||||||||||||||||||||||||||||||||||||||||||
|
Чеснок |
0,2 |
3 |
300 |
0,004 |
|||||||||||||||||||||||||||||||||||||||||||||||||||||||||||||||||||||||||||||||||||||||||||||||||||||||||||||||||||||||||||||||||||||||||||||||||||||||||||||||||||||||||||||||||||||||||||||||||||||||||||||||||||||||||||||||||||||||||||||||||||||||||||||||||||||||||||||||||||||||||||||||||||||||||||||||||||||||||||||||||||||||||||||||||||||||||||||||||||||||||||||||||||||||||||||||||||||||||||||||||||||||||||||||||||||||||||||||||||||||||||||||||||||||||||||||||||||||||||||||||||||||||||||||||||||||||||||||||||||||||||||||||||||||||||||||||||||||||||||||||||||||||||||||||||||||||||||||||||||||||||||||||||||||||||||||||||||||||||||||||||||||||||||||||||||||||||||||||||||||||||||||||||||||||||||||||||||||||||||||||||||||||||||||||||||||||||||||||||||||||||||||||||||||||||||||||||||||||||||||||||||||||||||||||||||||||||||||||||||||||||||||||||||||||||||||||||||||||||||||||||||||||||||||||||||||||||||||||||||||||||||||||||||||||||||||||||||||||||||||||||||||||||||||||||||||||||||||||||
|
Капуста квашеная |
10 |
3 |
160 |
0,4 |
|||||||||||||||||||||||||||||||||||||||||||||||||||||||||||||||||||||||||||||||||||||||||||||||||||||||||||||||||||||||||||||||||||||||||||||||||||||||||||||||||||||||||||||||||||||||||||||||||||||||||||||||||||||||||||||||||||||||||||||||||||||||||||||||||||||||||||||||||||||||||||||||||||||||||||||||||||||||||||||||||||||||||||||||||||||||||||||||||||||||||||||||||||||||||||||||||||||||||||||||||||||||||||||||||||||||||||||||||||||||||||||||||||||||||||||||||||||||||||||||||||||||||||||||||||||||||||||||||||||||||||||||||||||||||||||||||||||||||||||||||||||||||||||||||||||||||||||||||||||||||||||||||||||||||||||||||||||||||||||||||||||||||||||||||||||||||||||||||||||||||||||||||||||||||||||||||||||||||||||||||||||||||||||||||||||||||||||||||||||||||||||||||||||||||||||||||||||||||||||||||||||||||||||||||||||||||||||||||||||||||||||||||||||||||||||||||||||||||||||||||||||||||||||||||||||||||||||||||||||||||||||||||||||||||||||||||||||||||||||||||||||||||||||||||||||||||||||||||||
|
Петрушка (корень) |
1,8 |
2 |
80 |
0,1 |
|||||||||||||||||||||||||||||||||||||||||||||||||||||||||||||||||||||||||||||||||||||||||||||||||||||||||||||||||||||||||||||||||||||||||||||||||||||||||||||||||||||||||||||||||||||||||||||||||||||||||||||||||||||||||||||||||||||||||||||||||||||||||||||||||||||||||||||||||||||||||||||||||||||||||||||||||||||||||||||||||||||||||||||||||||||||||||||||||||||||||||||||||||||||||||||||||||||||||||||||||||||||||||||||||||||||||||||||||||||||||||||||||||||||||||||||||||||||||||||||||||||||||||||||||||||||||||||||||||||||||||||||||||||||||||||||||||||||||||||||||||||||||||||||||||||||||||||||||||||||||||||||||||||||||||||||||||||||||||||||||||||||||||||||||||||||||||||||||||||||||||||||||||||||||||||||||||||||||||||||||||||||||||||||||||||||||||||||||||||||||||||||||||||||||||||||||||||||||||||||||||||||||||||||||||||||||||||||||||||||||||||||||||||||||||||||||||||||||||||||||||||||||||||||||||||||||||||||||||||||||||||||||||||||||||||||||||||||||||||||||||||||||||||||||||||||||||||||||||
|
Лук порей |
0,7 |
2 |
200 |
0,01 |
|||||||||||||||||||||||||||||||||||||||||||||||||||||||||||||||||||||||||||||||||||||||||||||||||||||||||||||||||||||||||||||||||||||||||||||||||||||||||||||||||||||||||||||||||||||||||||||||||||||||||||||||||||||||||||||||||||||||||||||||||||||||||||||||||||||||||||||||||||||||||||||||||||||||||||||||||||||||||||||||||||||||||||||||||||||||||||||||||||||||||||||||||||||||||||||||||||||||||||||||||||||||||||||||||||||||||||||||||||||||||||||||||||||||||||||||||||||||||||||||||||||||||||||||||||||||||||||||||||||||||||||||||||||||||||||||||||||||||||||||||||||||||||||||||||||||||||||||||||||||||||||||||||||||||||||||||||||||||||||||||||||||||||||||||||||||||||||||||||||||||||||||||||||||||||||||||||||||||||||||||||||||||||||||||||||||||||||||||||||||||||||||||||||||||||||||||||||||||||||||||||||||||||||||||||||||||||||||||||||||||||||||||||||||||||||||||||||||||||||||||||||||||||||||||||||||||||||||||||||||||||||||||||||||||||||||||||||||||||||||||||||||||||||||||||||||||||||||||||
|
Капуста цветная |
2,8 |
3 |
300 |
0,06 |
|||||||||||||||||||||||||||||||||||||||||||||||||||||||||||||||||||||||||||||||||||||||||||||||||||||||||||||||||||||||||||||||||||||||||||||||||||||||||||||||||||||||||||||||||||||||||||||||||||||||||||||||||||||||||||||||||||||||||||||||||||||||||||||||||||||||||||||||||||||||||||||||||||||||||||||||||||||||||||||||||||||||||||||||||||||||||||||||||||||||||||||||||||||||||||||||||||||||||||||||||||||||||||||||||||||||||||||||||||||||||||||||||||||||||||||||||||||||||||||||||||||||||||||||||||||||||||||||||||||||||||||||||||||||||||||||||||||||||||||||||||||||||||||||||||||||||||||||||||||||||||||||||||||||||||||||||||||||||||||||||||||||||||||||||||||||||||||||||||||||||||||||||||||||||||||||||||||||||||||||||||||||||||||||||||||||||||||||||||||||||||||||||||||||||||||||||||||||||||||||||||||||||||||||||||||||||||||||||||||||||||||||||||||||||||||||||||||||||||||||||||||||||||||||||||||||||||||||||||||||||||||||||||||||||||||||||||||||||||||||||||||||||||||||||||||||||||||||||||
|
Яблоки |
2,3 |
2 |
80 |
0,12 |
|||||||||||||||||||||||||||||||||||||||||||||||||||||||||||||||||||||||||||||||||||||||||||||||||||||||||||||||||||||||||||||||||||||||||||||||||||||||||||||||||||||||||||||||||||||||||||||||||||||||||||||||||||||||||||||||||||||||||||||||||||||||||||||||||||||||||||||||||||||||||||||||||||||||||||||||||||||||||||||||||||||||||||||||||||||||||||||||||||||||||||||||||||||||||||||||||||||||||||||||||||||||||||||||||||||||||||||||||||||||||||||||||||||||||||||||||||||||||||||||||||||||||||||||||||||||||||||||||||||||||||||||||||||||||||||||||||||||||||||||||||||||||||||||||||||||||||||||||||||||||||||||||||||||||||||||||||||||||||||||||||||||||||||||||||||||||||||||||||||||||||||||||||||||||||||||||||||||||||||||||||||||||||||||||||||||||||||||||||||||||||||||||||||||||||||||||||||||||||||||||||||||||||||||||||||||||||||||||||||||||||||||||||||||||||||||||||||||||||||||||||||||||||||||||||||||||||||||||||||||||||||||||||||||||||||||||||||||||||||||||||||||||||||||||||||||||||||||||||
|
Клюква |
0,9 |
2 |
80 |
0,05 Таблица 9 - Расчёт площади неохлаждаемой камеры
Итого: 2 м2
Таблица 10 - Расчёт площади молочно-жировой камеры
Итого: 2,2 м2
Таблица 11 - Расчёт площади мясо-рыбной камеры
Итого: 4 м2 Так как расчётные площади складских помещений малы, ввиду узкого ассортимента продукции и его малого количества, принимаем единое складское помещение с холодильными камерами и стеллажами. На основании вышеприведённых таблиц составляем
сводную продуктовую ведомость.
Таблица 12 - Сводная продуктовая ведомость
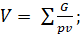
Определение полезного объёма холодильника
вычисляют по формуле
где G - масса продукта, кг p - объёмная плотность продукта, кг/м3 v - коэффициент,
учитывающий массу тары (v
= 0,7…0,8)
Таблица 13 - Определение объёма сырья, подлежащего хранению
Итого: 0,792 м3 Расчётный объём холодильника равен 0,792 м3 Визуально расставляем гастроёмкости по полкам холодильника, добавляем пространство между полками. Принимаем холодильник POLAIR
KXH - 4.41 с
габаритами 1360×1960×2200
мм. и внутренним объёмом 4,41 м2 для хранения плодов и овощей.
Таблица 14 - Определение объёма сырья, подлежащего хранению
Итого: 0,167 м3 Vп = 0,167/0,7 = 0,24 м3 - Расчётный объём холодильника. Визуально расставляем продукты по полкам холодильника, добавляем пространство между полками. Принимаем Шкаф холодильный POLAIR ШХ-0,5 ДС с
габаритами 697×710×2028
мм и внутренним объёмом 0,5 м2 для хранения молочно-жирового сырья.
Таблица 15 - Определение объёма сырья, подлежащего хранению
Итого: 0,3 м3 Vп = 0,3/0,7 = 0,43 м3 - Расчётный объём холодильника. Визуально расставляем продукты по полкам холодильника, добавляем пространство между полками. Принимаем шкаф морозильный POLAIR ШН-0,7 с
габаритами 735×930×2064 мм. Для
хранения мясо-рыбного сырья.
Таблица 16 - Определение объёма сырья, подлежащего хранению
Принимаем три стеллажа с габаритами 1500×600×2400
мм. Для хранения сырья, не требующего охлаждения.
Таблица 17 - Перечень складского оборудования
Площадь занимаемая оборудованием равна 6,7 м2. Умножаем на коэффициент увеличения площади на проходы (2,2). Итого получаем 6,7 × 2,2 = 14,74. Округляем до 15 м2 Площадь склада равна 15 м2
2.5 Расчет численности
работников производства
Численность производственных работников,
непосредственно занятых в процессе производства, определяют по нормам времени в
соответствии с формулой:
где n - количество изделий каждого наименования, изготовляемых за день, шт., кг; t - норма времени на изготовление количества изделий, с; t=K×100; здесь K - коэффициент трудоемкости, значения которого приведены в приложении; 100 - норма времени, необходимого для приготовления изделия, коэффициент трудоемкости которого равен 1, сек.; Т - продолжительность рабочего дня каждого работающего, ч; λ - коэффициент, учитывающий рост производительности труда, применяют только при механизации процесса. Общая численность производственных работников с
учетом выходных и праздничных дней, отпусков и дней по болезни рассчитывается
по формуле:
где K1 - коэффициент, учитывающий выходные и праздничные дни. Равен 1,6 Таблица 18 - Расчёт численности производственных работников холодного цеха
1 = 64600 / 9,5 × 3600 × 1,14 = 1,66 N1 = 1,66 N2 = 1,66 × 1,6 = 2,7 N2 =
2,7
Таблица 19 - Расчёт численности работников горячего цеха
1 = 87030 / 9,5 × 3600 × 1,14 = 2,23 N1 = 2,23 N2 = 2,23 × 1,6 = 3,6 N2 =
3,6
Таблица 20 - Расчёт численности работников мучного отделения
N1 = 16200 / 9,5 × 3600 × 1,14 = 0,42 N1 = 0,42 N2 = 0,42 × 1,6 = 0,7 N2 = 0,7 Проектируемая столовая будет обслуживать
предприятие работающее круглосуточно, следовательно обеспечивать горячим
питанием нужно и дневную и ночную смены. С учётом цеховой структуры принимаем в
дневную смену одного повара в холодный цех, двух поваров в горячий цех и одного
в мучной. В ночную смену принимаем по одному повару в каждый цех. Меньшее
количество поваров в ночной смене обуславливается меньшим объёмом работы. Также
принимаем одну посудомойщицу для столовой и кухонной посуды в каждую смену. С
учётом графика работы два через два принимаем в штат восемнадцать человек.
Рисунок 1 - График выхода на работу
производственных работников
2.6 Технологические
расчеты и подбор оборудования
Технологический расчет оборудования сводится к выбору типов и определению необходимого числа единиц оборудования для выполнения тех или иных операций, времени его работы и коэффициент использования. Механическое оборудование. Требуемая производительность машины (кг/ч; шт/ч)
определяется по формуле:
где G - масса сырья, полуфабриката, продуктов или количества изделий, обрабатываемых за определенный период времени (сутки, смену, час), кг (шт); ty
- условное время работы машины, ч.
где T - продолжительность работы цеха, смены, ч; ηу - условный коэффициент использования машины (0,5). На основании проведенного расчета по действующим
справочникам и каталогам выбирают машину, имеющую производительность, близкую к
требуемой, после чего определяют фактическую продолжительность работы машины
(ч):
где Q
- производительность принятой к установке машине, кг/ч (шт/ч), и коэффициент ее
использования
где Т - продолжительность работы цеха, смены, ч. Для технологического расчёта овощерезки и
мясорубки необходимо указать перечень блюд и массу обрабатываемого сырья для
данных типов оборудования.
Таблица 21 - Сводная продуктовая ведомость для оборудования
Таблица 22 - Технологический расчёт оборудования
На основании расчёта принимаем мясорубку ERGO
TJ-12H с габаритами 410×220×410
мм и овощерезку ROBOT COUPE CL20 с габаритами 325×300×550
мм.
Таблица 23 - Расчёт времени работы тестомесильной машины
блюдо меню складской оборудование На основании расчёта принимаем тестомесильную машину PIZZA GROUP IFM15 с объёмом дежи 15 литров и габаритами 320×590×570 мм. Таблица 24 - Расчёт посудомоечной машины
На основании расчёта принимаем машину посудомоечную, фронтальную АВАТ МПК-500Ф с габаритами 590×640×864 мм. Ванны моечные Принимаем ванну моечную двухсекционную с бортом ТЕХНО-ТТ ВМП 2/5 с габаритами 950×600×870 мм. для цехов и ванну моечную трехсекционную ВМ 3/6 оц. с габаритами 1850×650×870 мм. для моечной кухонной и моечной столовой посуды. Холодильное оборудование для заготовок Определение полезного объёма холодильника
вычисляют по формуле (5).
Таблица 25 - Определение объёма сырья, подлежащего хранению
Итого: 0,308 м3 Vп = 0,308/0,7 = 0,44м3 - Расчётный объём холодильника. Плиты
F=nf/m
(13)
n - количество наплитной посуды для приготовления блюда за расчётный час f - площадь, занимаемая единицей наплитной посуды на жарочной поверхности m - оборачиваемость
площади жарочной поверхности
Площадь занимаемая наплитной посудой равна 0,468 м2 Общая площадь жарочной поверхности равна 1,3 × 0,468 = 0,6084 м2 Принимаем одну плиту электрическую ПЭ-0.72М шестиконфорочную с жарочным шкафом. Габариты: 1380×840×850 мм. Выбор плиты с жарочным шкафом обусловлен наличием блюд требующих соответствующую тепловую обработку. Для приготовления блюда «Котлеты натуральные паровые»
требуется пароварка. Произведём расчёт оборудования.
Таблица 27 - Технологический расчёт оборудования
Принимаем пароварку настольную HURAKAN HKN-DS1. С габаритами 750×660×1145 мм. Для производства котлет натуральных паровых. Столы Число производственных столов рассчитывают по формуле: = Nl
(14)
Где N - число одновременно работающих человек в цехе. l - длинна рабочего места на одного работника, м Число столов: =L/Lст ст - длина принятого производственного стола. L = 6 × 1,25 = 7,5 N = 7,5 / 1,2 = 6,25 Принимаем два производственных стола ТЕХНО-ТТ СПС-934/1200 нерж. с габаритами 1200х600х850 мм. для производственных работ. Настольное оборудование имеет следующие габариты: Машина тестомесильная - 320х590 Мясорубка - 410х590 Пароварка - 750×660 Овощерезка - 325х300 Принимаем три стола ТЕХНО-ТТ СПС-934/1200 нерж. с габаритами 1200×600×850 мм. для настольного оборудования и два стола для установки в моечных помещениях. Так же принимаем два стола с охлаждаемой камерой POLAIR TM2-G с габаритами 1200×604×850 мм. для временного хранения полуфабрикатов. Раздаточное оборудование Раздаточные линии комплектуются модульным оборудованием. На рынке общественного питания пользуется популярностью раздаточная линия фирмы «Премьер», ввиду своей невысокой стоимости и простоты обслуживания. Принимаем прилавок для столовых приборов с хлебницей ABAT «Премьер» ПСПХ-70Т. Предназначен для раздачи и хранения столовых приборов, хлеба и подносов. Лоток для приборов вмещает три гастроемкости для ложек, ножей и вилок, а также отдельный закрытый лоток для нарезанного хлеба. Снизу имеется закрытый отсек для дополнительных подносов или инвентаря. Прилавок оборудован лампой подсветки мощностью 12 Вт. Ножки прилавка снабжены регуляторами высоты, что позволяет устранять неровности пола. Габаритные размеры: 630×770×1625 мм. Принимаем прилавок-витрину холодильный ABAT «Премьер» ПВВ-70Т-01. Предназначен для демонстрации, хранения и раздачи холодных закусок и охлажденных напитков потребителю. Открытая охлаждаемая витрина имеет большую полезную площадь для выкладки блюд и напитков. Трехъярусная полка над прилавком, каждый уровень которой оборудован лампой подсветки, служит для выкладки неохлаждаемых блюд и напитков. Габаритные размеры: 1500×1025×1625 мм. Принимаем прилавок-мармит первых блюд ABAT «Премьер» ПМЭС-70Т-01. Предназначен для кратковременного сохранения в горячем состоянии первых блюд в наплитной посуде и раздачи их потребителям. Трехъярусная полка над прилавком обеспечивает большую полезную площадь для выкладки порционных блюд. Габаритные размеры: 1500×1025×1625 мм. Принимаем мармит вторых блюд ABAT «Премьер» ЭМК-70Т-01. Предназначен для кратковременного сохранения в горячем состоянии первых и вторых блюд в гастроемкостях и раздачи их потребителям. Трехъярусная полка над мармитом обеспечивает большую полезную площадь для выкладки блюд. Гастроемкости отделены от посетителей перегородкой из закаленного стекла. Внизу расположен шкаф с дверями-купе для хранения кухонного инвентаря. Габаритные размеры: 1500×1025×1625 мм. Принимаем прилавок горячих напитков ABAT «Премьер» ПГН-70Т-01. Предназначен для кратковременного хранения и раздачи потребителю хлебобулочных и кондитерских изделий, а также для установки на его столе термостатов с напитками. На прилавке установлены две розетки 220 В для подключения термостата или кипятильника. Внизу нейтральный шкаф с дверями-купе для хранения кухонного инвентаря. Направляющие для подносов входят в комплект поставки. Габаритные размеры: 1500×1025×1625 мм. Принимаем прилавок-витрину тепловой ABAT «Премьер» ПВТ-70Т. Предназначен для хранения в тепловом состоянии мелкоштучных хлебобулочных и кондитерских изделий, различных пищевых продуктов и раздачи их потребителю. Внутренний объем витрины обогревается теплым воздушным потоком или паром. Для равномерного распределения температуры и влажности воздуха в витрине прилавка установлен вентилятор. Габаритные размеры: 1120×1025×1700 мм. Принимаем кассовую кабину ABAT «Премьер» КК-70Т.
Предназначена для установки на нем кассового аппарата, а также для расчета с
потребителями. Внизу имеется дополнительная полка и розетка 220 В для
подключения кассового аппарата. Все детали прилавка изготовлены из
высококачественной нержавеющей стали. Габаритные размеры: 1120×1040×850
мм.
Таблица 28 - Перечень раздаточного оборудования
Итого: 8,9 м2
2.7 Расчет площадей
производственных, служебных, бытовых и технических помещений
Расчёт площади помещений производят по формуле: F = Fоб/n
(15)
где F -площадь занимаемая оборудованием n - коэффициент
использования площади.
Таблица 29 - Расчёт площади холодного цеха
Итого: 4,2 м2 Площадь холодного цеха равна 4,2/0,3 = 14 м2
Таблица 30 - Расчёт площади горячего цеха
Итого: 3,2 м2 Ввиду малого количества мучных блюд, проектируем
мучное отделение при горячем цехе.
Таблица 31 - Расчёт площади мучного отделения.
Итого: 1,44 м2 Площадь горячего цеха равна 4,64/0,3 = 15,5 м2
Таблица 32 - Расчёт площади моечной столовой посуды
Итого: 2,3 м2 Площадь моечной равна 2,3/0,4= 5,8 м2
Таблица 33 - Расчёт площади моечной кухонной посуды
Итого: 2,3 м2 Площадь моечной равна 2,3/0,4 = 5,8 м2 Площадь помещения для обслуживания потребителей: = P
×
d; (16)
где Р - число мест в зале d - норма площади на одно место (d = 1,8 для столовых) F = 100 × 1,8 = 180 м2 Площадь торгового зала равна 180 м2 Принимаем комнату для хранения посуды равной 5 м2 Минимальная площадь бельевой для предприятий общественного питания составляет 5 м2. Принимаем площадь бельевой для проектируемой столовой равную 6 м2. Уборные проектирует раздельными для мужчин и женщин из расчёта 1 унитаз на 60 мужчин и 1 унитаз на 40 женщин. При входе предусматривают умывальник. Принимаем площадь уборной для посетителей равной 6 м2. Административные помещения принимают из расчёта 6 м2 на одного человека с увеличением на 2 м2 на каждого последующего. Принимаем помещение директора равным 6 м2. Принимаем помещение завпроизводством и бухгалтера равным 8 м2. Гардероб для персонала принимают из расчёта 0,575 м2 на одного работника. Получаем 30 × 0,5 = 15 м2. Душевые проектирует из расчёта 15 человек на одну душевную сетку, равную 0,96 м2. Разделяем душевную перегородкой для мужчин и женщин. Добавляем помещение для обитания. Принимаем душевную с площадью равной 6 м2. Помещения для инвентаря принимаем площадью 6 м2. Водомерный узел принимаем площадью 10 м2. Электрощитовую принимаем площадью 5 м2. Вентиляционное оборудование располагаем на
крыше, так как проектируемое здание будет отдельностоящим.
Таблица 34 - Сводная таблица площадей помещений
Расчётная площадь помещений: 361 м2 Площадь здания рассчитывается по формуле:
Fстр.к. = 0,15 Fстр.к. = 54,15 Fз = 361 + 54,15 = 415,15 м2 , что составляет 11,5 строительных квадратов. Округляем до 12. Получаем площадь здания равную
432 м2.
1 3. АРХИТЕКТУРНО-СТРОИТЕЛЬНЫЙ
РАЗДЕЛ
Генеральный план проектируемой столовой выполнен в масштабе 1:500. На чертеже генерального плана графически изображено здание проектируемого ресторана и прилегающая к ней территория ОП «Новотитаровское». Контуры проектируемых объектов обведены линиями 0.8 мм, а контуры существующих проездов, расположенных в пределах участка застройки, - линиями толщиной 0.4 мм. К территории столовой предусмотрены два подхода: главный и служебный. Со стороны служебного входа расположены мусорные баки. Главный вход в ресторан располагается со стороны подхода основных людских потоков. Площадь застройки равна 432 м². По своему градостроительному положению проектируемая столовая = это отдельно строящееся одноэтажное здание без подвала. Предприятия, расположенные в одноэтажных зданиях, имеют ряд преимуществ перед предприятиями, которые находятся в многоэтажных зданиях: в них проще решается вопрос взаимосвязи отдельных групп помещений, нет необходимости в устройстве лестницы и подъемников, что значительно снижает затраты на строительство. Недостатком является тот факт, что для одноэтажных зданий требуется большая площадь застройки. Поэтому в одноэтажных зданиях размещаются отдельно строящиеся предприятия общественного питания с числом мест до 200. Конфигурация здания простая - в виде прямоугольника. Отсутствие пристроек вызывает уменьшение площади участка, отводимого под строительство, упрощает подвод коммуникаций, удешевляет благоустройство участка. При выполнении планировочных решений важную роль играет взаимосвязь основных групп помещений - для посетителей с производственными, а точнее торгового зала с горячим и холодным цехами. В ходе проектирования была выбрана фронтальная архитектурно-планировочная схема. Со стороны главного фасада здания размещена группа помещений для потребителей: торговый зал, гардероб и уборная. В противоположной половине здания расположены производственные, складские, служебные и административные помещения. Характерная особенность фронтальной планировочной схемы - вытянутая прямоугольная форма залов. Торговый зал имеет прямую связь с цехами (через раздачу) и моечной столовой посуды. Потоки людей, движущиеся от раздачи с едой и с грязной посудой разделены. Помещение склада имеет связь с цехами и имеет собственный вход, куда производится загрузка новых продуктов. Рядом со складом располагается кабинет заведующего складом. Здание для столовой запроектировано одноэтажным. Пролеты здания - 6 м, шаг колонн - 6 м, высота - 4 м. Ширина здания 18 м, длина - 24 м. Каркас здания состоит из колонн, балок перекрытий и несущих конструкций покрытия. Колонны железобетонные сборные сечением 400 мм. Несущими конструкциями служат короткие поперечные балки - ригели. Настил из железобетонных плит. Стены здания панельные. Перегородки выполнены из сборных элементов с последующей штукатуркой. Кровля скатная из металлочерепицы. Вентиляция в торговых помещениях - приточная, в производственных - вытяжная, в административных - естественная. Залы имеют естественное боковое освещение. Освещение помещений предусматривается через оконные проемы. В помещениях для потребителей ширина окон составляет 1,4 м, высота 3,8 м, расстояние от пола до подоконника 0,1 м, от верха окна до перекрытия 0,1 м. Оконные переплеты приняты металлическими, с двойным остеклением. Двери в торговой группе помещений двойные распашные, металлические, ширина дверей - 1,2 м, ширина парадного входа - 1,2 м. Двери в административной и служебно-бытовой группах - одинарные, распашные, деревянные, шириной - 1 м. С целью безопасности людей при срочной эвакуации двери открываются наружу. В проектируемом здании имеется два эвакуационных выхода. Внутренняя отделка производственных помещений осуществляется путем облицовки стен глазурованными плитками, в подсобно-производственных и складских помещениях стены окрашены водно-эмульсионными составами. Покрытия полов: в производственных помещениях - плитка (полы гладкие, нескользкие, влагонепроницаемые), в складском помещении - цементные, в административных помещениях - ксилолитовые полы с покрытием линолеума, в помещениях для посетителей - плитка. Обосновав размерные параметры проектируемого здания были выбраны основные строительные элементы и материалы здания с учетом функциональных, технических, экономических и архитектурно-художественных требований. Согласно СНиП 23-01-99 «Строительная климатология», глубина заложения фундамента зависит от глубины промерзания грунта. Проектируемое предприятие располагается в ст. Новотитаровская, с промерзанием грунта 0,8 м и менее, поэтому глубину заложения фундамента выбираем равную 0,8 м. Стены принимаются самонесущие, служащие в качестве ограждающих конструкций. Нагрузка передается на каркас. Каркас состоит из железобетонных колонн и ригелей. Несущие внешние стены будут использоваться наряду с самонесущими стенами при строительстве. Они рассчитаны на нагрузку от собственной массы и массы перекрытия. В качестве строительного материала для столовой принят кирпич. Толщина внешних стен 0,5 м. Внутренние перегородки шлакобетонные, толщиной 0,2 м. Отделка стен - известково-цементным раствором и побелкой известью. После выбора размеров проектируемого здания, основных строительных элементов и материалов приступаем к компоновке помещений. Компоновка помещений отражена на плане предприятия на отметке 0,000, выполненном в масштабе 1:100, с указанием экспликации помещений и спецификации оборудования. Правильное расположение всех помещений способствует организации производства, обеспечивает противопожарные и санитарно-гигиенические требования и нормы, предусматривает возможность реконструкции предприятия, отвечает требованиям технической эстетики и обеспечивает максимальную экономию капитальных вложений. При расстановке модульного оборудования использован комбинированный метод группировки оборудования, он включает в себя островной и линейный методы, он наиболее эффективен, так как он позволяет экономно использовать площадь и удобно размещать рабочие места. Расстановка оборудования комбинированным методом
представлена на плане монтажной привязки оборудования горячего цеха,
выполненном в масштабе 1:50, с указанием спецификации оборудования.
4. ОРГАНИЗАЦИОННЫЙ
РАЗДЕЛ
4.1
Организационно-правовая форма и структура управления предприятием
Служебная столовая при ОП «Новотитаровская» является независимым предприятием общественного питания. Организационно правовая форма - ИП. Выбор данной организационно правовой формы обуславливается тем, что владельцем предприятия будет один человек - индивидуальный предприниматель. В дальнейшей перспективе создавать сеть предприятий нет, поэтому открывать ООО нецелесообразно. Имущественное право на помещение принадлежит ООО «ТД-холдинг» Принимаем в штат следующее количество человек:
Таблица 35 - Общее количество человек в штате предприятия
Штатное расписание:
Таблица 36 - График работы сотрудников
График выхода сотрудников на работу обусловлен режимом работы предприятия при котором осуществляет свою деятельность столовая. Заработная плата работников предприятия зависит
от занимаемой должности и количества часов проведённых за работой.
Таблица 37 - Ежемесячная заработная плата работников столовой
Рисунок 2 - Структура управления предприятием
.2 Производственная столовая при ОП «Новотитаровское» работает ежедневно с 8:00 до 3:00, кроме праздничных дней согласно календарю и ежемесячного санитарного дня (15 число каждого месяца). Снабжение предприятия осуществляется согласно графику закупок сырья. Поставщиком является АО «Тандер». Снабжение посудой и инвентарём осуществляется вне графика, по мере необходимости. Поставщик - ТД «Фокус». Поставщик торгового и производственного оборудования - ООО «Секрет Фирмы». Складское хозяйство представлено в виде помещения с рядом холодильных, морозильных камер и неохлаждаемых стеллажей. Все продукты хранятся в соответствии с товарным соседством. Управление складским хозяйством осуществляется кладовщиком. Основная форма организации труда на производстве - коллективная. Группа работников (бригада) объединяется для совместного и наиболее эффективного выполнения комплекса разнородных и группы однородных трудовых операций: бригада горячего цеха, бригада холодного цеха, бригада мучного цеха. На предприятии применяется сменный тип бригад. Рабочие места размещены соответственно направлению производственного процесса на оптимальной по размерам площади, не допуская возвратных и петлеобразных перемещений. Обеспечена оптимальная площадь в зоне рабочего места для достаточного удобства и безопасного маневрирования средствами труда. Инструменты, приспособления, контрольно-измерительные приборы и обрабатываемые продукты размещены таким образом, что ими можно пользоваться с минимальными затратами времени и движений, не прерывая процесса труда. Контроль технологии приготовления продукции на каждом этапе осуществляется зав.производством.[7] Расчётно-учётные операции осуществляются
административным аппаратом предприятия: бухгалтер, кладовщик, завпроизводством.
4.3 Дизайн интерьера
Интерьер создан в современном стиле с использованием декоративных элементов. В интерьере столовой преобладают тёплые тона - жёлтый, коричневый, золотистый. Стены украшены репродукциями картин художников (пейзажи, натюрморты), что настраивает на определённый позитивный лад, возбуждает аппетит, поднимает настроение. Потолок белый. На полу выложен кафель, так как он долговечные и практичнее. На подоконниках расположены цветочные горшки с растениями. Мебель - стандартные столы с металлическими ножками и пластиковыми столешницами прямоугольной формы на 4 посадочных места с гигиеническим полиэтиленовым покрытием. Стулья белые со спинками отвечающие интерьеру зала. Освещение - светильники в виде шаров с энергосберегающими лампами и естественное освещение, на окнах жалюзи. Зал связан с мойкой через окно, в которую попадает грязная посуда. Используют фаянсовую, металлическую посуду, и
посуду из штампованного стекла, столовые приборы из нержавеющей стали или
алюминия. На столы выставляют бумажные салфетки и специи.
4.4 Организация
обслуживания посетителей
Согласно общероссийскому классификатору услуг населению ОК 002-94 столовая при ОП «Новотитаровское» предоставляет работникам на производстве следующие услуги: Услуги общественного питания Услуги питания Услуги по организации потребления и обслуживания Для того, чтобы ускорить поток посетителей в обеденное время в столовой посетителям будут предложены скомплектованные обеды из блюд имеющихся в меню. Так как рабочий график на ОП имеет вид «четыре через четыре», то и комплектов обедов тоже будет четыре: ) «Борщ сибирский», «Каша гречневая», «Рыба отварная», «Салат столичный», «Чай с сахаром» ) «Щи по-уральски», «Каша рисовая», «Рыба по-ленинградски», «Салат мясной», «Кофе чёрный» ) «Суп из овощей», «Каша овсяная», «Котлеты натуральные паровые», «Салат рыбный», «Компот из смеси сухофруктов» ) «Рагу из овощей», «Макароны отварные», «Гуляш из свинины», «Салат Летний», «Кисель из клюквы» Расчёт с потребителями осуществляется после
выбора блюд, перед приёмом пищи. Кассовый аппарат и обслуживающий посетителей
кассир находятся в конце линии раздачи. Форма оплаты - наличная или безналичная.
Оплата скомплектованных обедов предварительная, ежемесячная.
5. ЭКОНОМИЧЕСКИЙ
РАЗДЕЛ
Экономический раздел выпускной квалификационной
работы содержит расчеты основных финансово-экономических показателей
деятельности проектируемой столовой.
5.1 Расчет сырья
Расчет затрат на закупку сырья выполняется исходя из стоимости сырья, установленной поставщиками, на основе предыдущих технологических расчетов с использованием данных сводной сырьевой ведомости о суточной потребности предприятия в сырье. Производим расчет затрат на покупные товары и
сырье по продукции собственного производства. Расчет представлен в таблице 5.1
Таблица 38 - Расчет годовых затрат на сырье, покупные товары
5.2 Расчет
товарооборота
Одним из основных показателей деятельности предприятий общественного питания является товарооборот, который отражает объем производственной деятельности в стоимостном выражении. В состав товарооборота включается оборот по покупным товаром и по товаром собственного производства. Величина товарооборота непосредственно зависит установленной торговой наценки. Для ресторана данного предприятия установлена
наценка 100%. Для расчета товарооборота принят период 1 год. Расчет представлен
в таблице 5.2.
Таблица 39 - Расчет товарооборота
Определим величину наценки по всем группам
товаров: наценка на продукцию собственного производства составит - 26860,578
тыс. руб., на покупку товаров - 1015,2 тыс. руб. Товарооборот составит 46459,63
тыс. руб.
5.3 Расчет годового фонда оплаты труда
Численность работников определена исходя из
производственной программы предприятия и технологического расчета на ее основе.
Производим расчет месячного и годового фонда оплаты труда (ФОТ). Сводим расчеты
в таблице 5.3
Таблица 40 - Расчет месячного и годового фонда оплаты труда
Начисление на фонд оплаты труда, в соответствии с действующим законодательством в 2017 году составляет 30,2%. Таким образом, годовой фонд оплаты труда
предприятия составил 10440 тыс. руб., начисления на фонд оплаты труда - 3152,88
тыс. руб.
5.4 Расчет издержек производства и обращения
Основными статьями расходов являются затраты на
строительство и ремонт здания, приобретение оборудования, оплата труда, расходы
на электроэнергию, водоснабжение и водоотведение, на закупку сырья, столовой
посуды и мебели. Все расчёты вводим в таблицы.
Таблица 41 - Расчёт стоимости строительства здания
В таблице приведены среднерыночные стоимости материалов и работ. Общая стоимость строительства здания равна 5825853 рублей. [19] Отдельно необходимо рассчитать стоимость
капитального ремонта здания. Расчёты приведены в таблице.
Таблица 42 - Расчёт стоимости отделки здания
Стоимость материалов и работ рассчитана в соответствии с площадью здания. Общая стоимость отделки помещения равна 2980200 рублей. [20] Рассчитаем стоимость столовой посуды и приборов.
Расчёты приведены в таблице.
Таблица 43 -Стоимость столовой посуды
Стоимость столовой посуды равна 72600 рублей. Рассчитаем стоимость мебели в зале. Расчёты
приведены в таблице.
Таблица 44 - Стоимость мебели
Стоимость мебели в зале равна 290 475 рублей. Средний коммунальный платёж в месяц для
предприятия общественного питания данного типа составляет сто тысяч рублей.
Таблица 45 - Расчёт затрат по основным статьям
Таким образом, общие затраты предприятия
составляет 37103,316 тыс. руб.
5.5 Расчет
экономической эффективности проекта
Валовый доход включает доходы от реализации
товаров, готовой продукции, работ и услуг; доходы по операциям с тарой и другие
доходы. Основную часть валового дохода составляют доходы от реализации товаров.
Валовый доход представляет собой разницу между покупкой и продажной стоимостью
товаров и зависит от величины установленной наценки. Расчет валового дохода
сводим в таблицу 5.5. [8]
Таблица 46 - Расчет валового дохода и прибыли предприятия
Прибыль от реализации зависит от изменения объема товарооборота и затрат предприятия. Прибыль от реализации продукции - эта разница между валовым доходом и суммой издержек производства. [8] Прибыль от реализации продукции (до
налогообложения)
Ппр=Врп-Срп, (19)
где Врп - выручка от реализациии продукции, руб.; Срп - полная себестоимость реализуемой продукции, руб. Ппр= 24440,6 - 15021,38 = 9419,22 тыс. руб. Прибыль чистая:
Пч=Пб-Нв, (20)
где Пч - чистая прибыль, руб.; Пб - прибыль без учёта налога, руб.; Нв - налог на прибыль, руб. Пч= 9419,22 - 2844,6 = 6574,62 тыс. руб. Рентабельность продаж (реализация):
Рпродаж=Пч/ТО×100%,
(21)
где ТО - товарооборот. Рпродаж= 6574,62 / 36660,9 × 100 = 17,9 % Срок окупаемости (PP
- Payback Period)
- это продолжительность времени, необходимого для возмещения начальных
инвестиционных затрат из чистых денежных поступлений.
Ток=Зкоп/Пч, (22)
где Ток - срок окупаемости, лет; Зкоп - капитальные затраты, тыс. руб.; Пч - чистая прибыль, тыс. руб. Ток= 9861,636 / 6574,62 = 1,5 г. Представим обобщенные результаты расчета
экономической эффективности проекта в таблице 47
Таблица 47 - Основные финансово-экономические показатели проекта
На основе представленных данных можно заключить, что проект является экономически эффективным, планируемые показатели прибыли и рентабельности составляют положительное значение, в том числе чистая прибыль 6574,62 тыс. руб., рентабельность продаж - 17,9%. Срок окупаемости при первоначальных затратах предприятия около полутора лет. В целом, расчеты показывают, что предложенный
проект служебной столовой ОП «Новотитаровское» на сто мест в станице
Новотитаровская является экономически эффективным.
ЗАКЛЮЧЕНИЕ
В ходе работы над выпускной квалификационно работой были выполнены следующие задачи: В ходе выполнения проекта был создан проект служебной столовой при ОП «Новотитаровское» на 100 посадочных мест. Используемая форма обслуживания посетителей - самообслуживание. В качестве поставщиков сырья была выбрана оптовая база «Снегурочка». Предприятие имеет площадь торгового зала - 180 м2, площадь помещений для приёма и хранения продуктов - 15 м2, площадь производственных помещений - 35,2 м2, площадь служебно-бытовых помещений - 130 м2. Производственной программой проектируемого предприятия является расчётное меню, состоящее из холодных блюд и закусок (6 наименований), первых блюд (4 наименования), вторых блюд и гарниров (9 наименований), сладких блюд (2 наименования), горячих напитков (2 наименования), холодных напитков (2 наименования), мучных изделий (4 наименования). Для составления меню было определено число потребителей, составившее 780 человек в сутки. Общее количество блюд - 2220. По итогам расчёта сырья была составлена сводная ведомость среднесуточного расхода сырья. При организации производства для рабочих был определён посменный график работы (2 через 2). Время работы дневной смены поваров составляет с 8:00 до 19:00. Ночной смены - с 19:00 до 3:00. В дневную смену работают 4 повара. В ночную - 3. Для каждого цеха были посчитаны площади и подобрано соответствующее оборудование. На основании расчётов выполнены следующие чертежи: генеральный план предприятия, общий план здания и монтажная привязка оборудования. Так же были разработаны технологические карты на следующие блюда: Салат «Столичный», Рагу из овощей и Блинчики с повидлом. Представленная служебная столовая на сто мест предназначена для приготовления и реализации с потреблением на месте разнообразных завтраков, обедов, ужинов как в дневную, так и в ночную смену. В данной столовой применяются классические методы и современные формы обслуживания потребителей. Самообслуживание - это получение потребителем блюд с раздаточного оборудования, зарекомендовал себя, как самый удобный способ для столовых при производственных предприятиях с меню со свободным выбором блюд. Также посетителям будут предложены скомплектованные обеды с предварительной ежемесячной оплатой. Совмещённая наличная и безналичная форма расчета потребителей эргономична, так как это увеличивает скорость обслуживания, которая так необходима в часы интенсивной загрузки торгового зала. Столовая имеет торговый зал, производственные, складские, административно-бытовые и санитарно-технические помещения, состав и площади которых определены по действующим нормам. Дизайн и интерьер торгового зала столовой создают обстановку, способствующую спокойному приёму пищи. Зал столовой оборудован столами с гигиеническим покрытием. Столовая обеспечена качественной посудой и столовыми приборами, согласно действующим нормам оснащения. По характеру производства столовая работает на полуфабрикатах, приготавливаемых в этом же предприятии в заготовочных цехах, где выполняются процессы по первичной обработке сырья. [17] В хозяйственном отношении проектируемая столовая является самостоятельным предприятием общественного питания с организационно правовой формой - ИП Данное предприятие является в высокой степени конкурентоспособным на рынке региона. Это доказывает оснащение программным обеспечением не только по бухгалтерскому учету, но и на производстве. Заведующий производством, работая на компьютере, ведет расчет сырья и готовых изделий данного производства. Оснащение предприятий общественного питания современным многофункциональным оборудованием позволяет применять наиболее эффективные приёмы и методы труда. Оптимальное размещение модульного оборудования с включением в состав технологических линий столов для установки средств малой механизации, а также различных модульных секций-вставок создает условия не только для значительного уменьшения количества переходов в процессе приготовления блюд, но и для выбора рациональных траекторий рабочих движений при выполнении работ. Цель данной выпускной квалификационной работы
заключалась в создании проекта служебной столовой ОП «Новотитаровское» на 100
мест в ст. Новотитаровская - была достигнута, посредством решения всех
поставленных задач. [18]
СПИСОК ИСПОЛЬЗОВАННЫХ ИСТОЧНИКОВ
1. ГОСТ 31984-2012. Услуги общественного питания. Общие требования. / Госстандарт РФ. -М.: ИПК издательство стандартов. 2012. - 26 с. . ГОСТ 31985-2013. Услуги общественного питания. Термины и определения. / Госстандарт РФ. -М.: ИПК издательство стандартов. 2013. - 27 с. . ГОСТ 31987-2012. Услуги общественного питания. Технологические документы на продукцию общественного питания.Общие требования к оформлению, построению и содержанию. / Госстандарт РФ. -М.: ИПК издательство стандартов. 2012. - 22 с. . Пособие к СНиП 2.08.02-89 Проектирование предприятий общественного питания. / Государственный научно-проектный институт учебно-воспитательных, торгово-бытовых и досуговых зданий (Институт общественных зданий) Минстрой России. 1990. - 31 с. . СП 118.13330.2012 Общественные здания и сооружения. Актуализированная редакция СНиП 31-06-2009 (с Изменениями N 1, 2) / Федеральное агентство по техническому регулированию и метрологии. 2014. - 23 с. . Никуленкова Т.Т., Ястина Г.М., Проектирование предприятий общественного питания: «КолосС», 2008. - 244 с. . Зайко Г.М., Джум Т.А., Организация производства и обслуживания на предприятиях общественного питания: МАГИСТР ИНФРА-М. 2013. - 560 с. . Добрынин А.И., Тарасевич Л.С., Экономическая теория: Учебник для вузов: Питер. 2004. - 744 с. . Котлер Ф., Маркетинг-менеджмент. Экспресс-курс.: Питер. 2006. - 696 с. . Сорокина М.В., Менеджмент в торговле.: Питер. 2016 - 540 с. . Елисеева О.Н., Проектирование предприятий общественного питания. Методические указания к выполнению курсового и дипломного проекта.: Кубан. гос. ун-т, 2011. - 28 с. . Воробьёва Г.А. Методические указания по выполнению дипломного проекта.: Кубан. гос. ун-т, 2017. - 142 с. . Миненкова В.В. Выполнение курсовых, выпускных квалификационных (дипломных) работ, магистерских и кандидатских диссертаций. Учебно-методические указания.: Кубан. гос. ун-т, 2015. - 89 с. 14. Стандарты общественного питания. Помощник предпринимателя в сфере стандартизации, метрологии и сертификации // URL: http://www.pompred.ru/nd_op.php (22.03.2017 <http://www.pompred.ru/nd_op.php%20(22.03.2017> 19:30) . Организация работы столовой. Рефераты, курсовые, диссертации, дипломы // URL: http://baza-referat.ru/Организация_работы_столовой (22.03.2017 <http://baza-referat.ru/Организация_работы_столовой%20(22.03.2017> 19:49) . 16.
Организация работы столовой при промышленном предприятии на 150 мест. Allbest
-
выбери лучшее! // URL:
<http://otherreferats.allbest.ru/manufacture/00166478_0.html
(11.04.2017 15:10)16.>17. Организация работы столовой. Корпоративное
питание, питание в Москве // URL:
<http://www.cantina-city.ru/organizaciya-stolovoi-na-predpriyatii.html
(11.04.2017 16:02)17.>18. Организация работы столовой при производстве на
100 мест. Учебные материалы // URL:
http://works.doklad.ru/view/V2jzyffiX2c.html (18.04.2017 18:23)19. <http://works.doklad.ru/view/V2jzyffiX2c.html (18.04.2017 18:23)18.> Калькулятор. Строительство коттеджей. Отделка частных домов под ключ // URL: http://www.oooprojekt.ru/otdelka/calculator (18.04.2017 <http://www.oooprojekt.ru/otdelka/calculator%20(18.04.2017> 19:00) . Калькулятор
расчёта строительства дома. Проектирование и строительство загородных домов и коттеджей
//: <http://www.hauset.ru/constructing/calculator/> (1.05.2017 17:37)
ПРИЛОЖЕНИЕ А
Технологические карты Утверждаю Студент КубГУ Катаев Д.Ю. .05.2017 Технологическая карта №1
Борщ сибирский. №113 «Сборник рецептур блюд и кулинарных изделий для предприятий общественного питания». Издательство «Хлебпродинформ» Москва 1996.
Технология приготовления. В кипящую воду положить картофель, нарезанный брусочками, и варить 10 -15 мин. Добавить тушеную свеклу, пассерованные овощи. За 5 - 10 мин. до окончания варки положить консервированную фасоль, сахар, специи, чеснок, растертый с солью. Правила подачи Подают в глубокой столовой тарелке, поставленной
на мелкую столовую тарелку, покрытую бумажной салфеткой. Перед подачей в
тарелку кладут 50 г. варёных фрикаделек. Норма выхода - 300 г. Температура
подачи 75°С.
Составитель: Катаев Д.Ю. Утверждаю Студент КубГУ Катаев Д.Ю. .05.2017
Технологическая карта №2 Салат «Столичный». №54 «Сборник рецептур блюд и кулинарных изделий для предприятий общественного питания». Издательство «Хлебпродинформ» Москва 1996.
Технология приготовления. Куриное филе и маринованные огурцы нарежьте мелкими кусочками и посолите. Картофель очистите от кожуры и также нарежьте небольшими кубиками. Яйца сварите, почистите и нарежьте. Заправьте майонезом, добавьте крабовое мясо, нарезанное кубиком и тщательно перемешайте. Правила подачи Блюдо подают в закупочной тарелке. Украшают
мелко нарезанный зеленью. Норма выхода - 150 г. Температура подачи 14°С.
Составитель: Катаев Д.Ю. Утверждаю Студент КубГУ Катаев Д.Ю. .05.2017
Технологическая карта №3 Блинчики с поводом. №680 «Сборник рецептур блюд и кулинарных изделий для предприятий общественного питания». Издательство «Хлебпродинформ» Москва 1996.
Технология приготовления. Яйца разбить и немного взбить. К яйцам добавляем половину от общего объёма молока. Добавляем соль и сахар. Перемешиваем. Добавляем в молоко с яйцами просеянную муку. К полученной смеси постепенно добавляем оставшееся молоко и перемешиваем до однородного состояния. К тесту добавляем несколько столовых ложек растительного масла. И перемешиваем тесто. Выпекаем тесто на раскаленной сковороде. На поджаренную сторону блинчики кладём фарш, заворачиваем в виде прямоугольных плоских пирожков. Обжариваем с обеих сторон на разогретой с жиром сковороде до образования румяной корочки. Правила подачи Подают на пирожковой тарелке. Отпускают по 2 шт.
на порцию. При отпуске посылают рафинадной пудрой. Норма выхода - 140 г.
Температура подачи 75°С.
Составитель: Катаев Д.Ю
Рисунок Б.3 - Технология приготовления десерта
Рисунок Б.1 - Технологическая схема
приготовления первого блюда
Рисунок Б.2 - Технологическая схема
приготовления салата
Утверждаю Студент КубГУ Катаев Д.Ю. .05.2017
Калькуляционная карта №1 Борщ «Сибирский»
Стоимость сырьевого набора на 1 порцию - 8 Стоимость сырьевого набора на 222 порций - 1776 Наценка - 100% Цена продажи блюда - 16 р. Выход одного блюда, грамм - 300 г. Составитель: Катаев Д.Ю. Утверждаю Студент КубГУ Катаев Д.Ю. .05.2017
Калькуляционная карта №2 Салат «Столичный»
Стоимость сырьевого набора на 1 порцию - 23 Стоимость сырьевого набора на 89 порций - 2047 Наценка - 100% Цена продажи блюда - 46 р. Выход одного блюда, грамм - 150 г. Составитель: Катаев Д.Ю. Утверждаю Студент КубГУ Катаев Д.Ю. .05.2017
Калькуляционная карта №3 Каша гречневая
Стоимость сырьевого набора на 1 порцию - 3 Стоимость сырьевого набора на 89 порций - 267 Наценка - 100% Цена продажи блюда - 6 р. Выход одного блюда, грамм - 165 г. Составитель: Катаев Д.Ю. Утверждаю Студент КубГУ Катаев Д.Ю. .05.2017
Калькуляционная карта №4 Рыба отварная
Стоимость сырьевого набора на 1 порцию - 22 Стоимость сырьевого набора на 45 порций - 990 Наценка - 100% Цена продажи блюда - 44 р. Выход одного блюда, грамм - 125 г. Составитель: Катаев Д.Ю. Утверждаю Студент КубГУ Катаев Д.Ю. .05.2017
Калькуляционная карта №5 Чай с сахаром
Стоимость сырьевого набора на 1 порцию - 4 Наценка - 100% Цена продажи блюда - 8 р. Выход одного блюда, грамм - 215 г. Составитель: Катаев Д.Ю. |
|||||||||||||||||||||||||||||||||||||||||||||||||||||||||||||||||||||||||||||||||||||||||||||||||||||||||||||||||||||||||||||||||||||||||||||||||||||||||||||||||||||||||||||||||||||||||||||||||||||||||||||||||||||||||||||||||||||||||||||||||||||||||||||||||||||||||||||||||||||||||||||||||||||||||||||||||||||||||||||||||||||||||||||||||||||||||||||||||||||||||||||||||||||||||||||||||||||||||||||||||||||||||||||||||||||||||||||||||||||||||||||||||||||||||||||||||||||||||||||||||||||||||||||||||||||||||||||||||||||||||||||||||||||||||||||||||||||||||||||||||||||||||||||||||||||||||||||||||||||||||||||||||||||||||||||||||||||||||||||||||||||||||||||||||||||||||||||||||||||||||||||||||||||||||||||||||||||||||||||||||||||||||||||||||||||||||||||||||||||||||||||||||||||||||||||||||||||||||||||||||||||||||||||||||||||||||||||||||||||||||||||||||||||||||||||||||||||||||||||||||||||||||||||||||||||||||||||||||||||||||||||||||||||||||||||||||||||||||||||||||||||||||||||||||||||||||||||||||||