экранирования λD
Поверхность в плазме оказывается окруженной слоем из положительных ионов двойного слоя. Толщина двойного слоя определяется дебаевским радиусом экранирования
[2]
(3.2)
где k – постоянная Больцмана, (k = 1,38·10-23 Дж/К);
Te – температура электронов (Te = 4 эВ);
е – заряд электрона, (е = 1,6*10-19 Кл);
ni - поток ионов металла.
Подставляя значения Te и ni получаем
![]()
точке на единицу площади в единицу времени ni, nг
Молекулы углерода, адсорбированные на поверхности конденсации, приводят к образованию соединений за счет диссоциативной хемосорбции путем возникновения двух ковалентных связей металл-углерод.
Потоки ионов металла и молекулярного газа в произвольной точке на единицу площади в единицу времени определяются соотношениями
,
[2] (3.3)
,
[2] (3.4)
где
– среднее зарядовое число ионов хрома
(
=1,44);
[2]
αк – коэффициент конденсации (αк=1 в нашем случае);
k – постоянная Больцмана,(k= 1,38·10-23 Дж/К);
Рг – давление газа, Па;
m – масса молекулы (для молекулярного газа) или атома
(для атомарного газа), кг;
Т – температура газа;
![]()
Давление газа составляет 266.6*10-4 Па. Атомная масса атома бора составляет 17,946*10-27 кг. Температура газа составляет 300 К. Тогда
![]()
единицу Δq
На поверхности конденсации за единицу времени выделится энергия, определяемая соотношением
,
[2] (3.5)
где Uп – отрицательное напряжение смещения на подложке относительно
плазмы, В;
– средняя
энергия
ионов, Дж (для
Сr
=122·10-19
Дж) ; [2]
Qк – энергия, выделяющаяся при конденсации одного иона, Дж.
,
(3.6)
где Qи – теплота испарения металла, кДж/моль;
(для Сr Qи = 342 кДж/моль );
Na – число Авогадро, 6,022·1023 моль-1;
Тогда энергия на поверхности конденсации за единицу времени
Количество газа, вступившего в реакцию с металлом, рассчитывается по формуле

,
[2] (3.7)
где Тст – температура стенок камеры, К;
εr – интегральный коэффициент излучения наносимого материала;
Qp – потенциальный барьер реакции;
Тп – температура подложки;
σ – постоянная Стефана-Больцмана, Дж/с·м2·К4.
,
(3.8)
где c – теплота образования, Дж (для CrB2 с=50241.6 Дж);
Na – число Авогадро.
Тогда количество газа, вступившего в реакцию с металлом

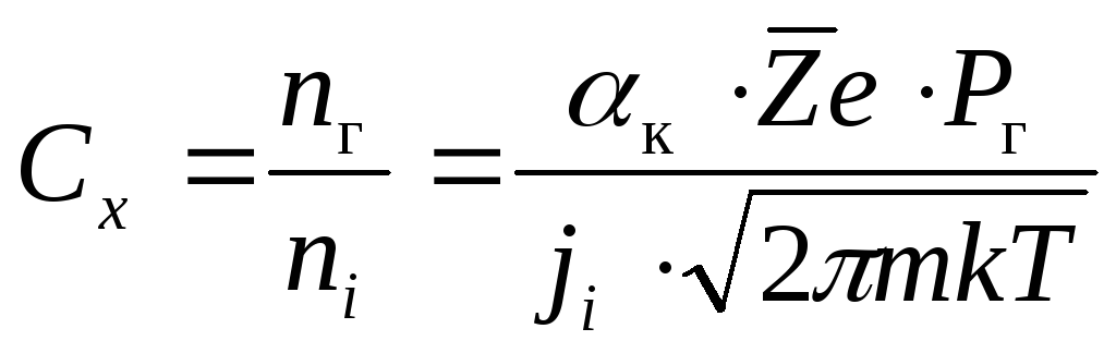
Если энергия Δq, подводимая к поверхности, достаточна для того, чтобы весь падающий на поверхность подложки поток газа образовал химическое соединение, то содержание неметалла Сx не зависит от энергии ионов и будет определяться только потоком nг, т.е давлением газа, тогда
[2]
. (3.9)
Подставляя числовые значения получим
![]()
или
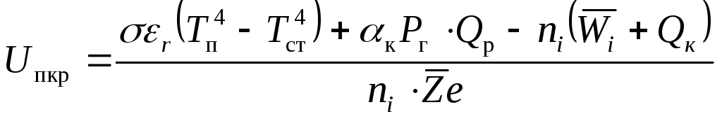
Пороговое значение потенциала подложки, при котором весь поток газа вступает в химическое соединение, однозначно связанное с давлением газа, можно найти из соотношения:
[2]
(3.10)
При подстановке числовых значений получаем:
Uпкр=(5,67*10-8*0,13*(7004-4004)+1*266,6*10-4*8,343*10-20- 63,35*1019*(122*10-19+5,6792*10-19))/(63,35*1019*1,6*10-19*1,44)=
= -43,7 В
Для
получения СrB2
стехиометрического состава необходимо
обеспечить условие:
![]()
Данное условие выполняется (см. п. 3.6). Вероятность поступления реактивного газа в молекулярном или атомарном состоянии на подложку будет определяться величиной давления.
Заключение
В результате выполнения данной курсовой работы были рассмотрены физико-химические процессы на поверхности твердого тела при электрохимической обработке, при вакуумной ионно-плазменной обработке, при лазерной обработке.
Электрохимический метод позволяет обрабатывать заготовки из токопроводящих материалов с высокими механическими свойствами, которые трудно или практически невозможно обрабатывать другими методами. Также, этот метод дает возможность получать самые сложные поверхности.
В зависимости от параметров плазменного потока в процессе синтеза покрытий методом вакуумной ионно-плазменной обработки рассчитаны характер и эффективность плазмохимических реакций. Было обеспечено условие получения соединения CrB2 стехиометрического состава.
По полученным графикам при закалке импульсно-периодическим лазерным излучением видно, что с увеличением энергии теплового источника, увеличивается время пребывания выше температуры закалки. С увеличением энергии теплового источника, также увеличивается глубина зоны проплавления, закалки, отпуска. Это происходит, поскольку при увеличении энергии теплового источника увеличивается мощность излучения источника нагрева, что способствует повышению температур и увеличению глубины закалки, отпуска и проплавления соответственно.
1. Филимошин В.Г., Шулепов А.П. Проектирование технологических процессов электрохимического и комбинированных методов обработки поверхностей деталей двигателей летательных аппаратов. Учебное пособие. Куйбышев, 1985 г.
2. В.В. Будилов. Технология вакуумного ионно-плазменного нанесения покрытий. Учебное пособие: УГАТУ, Уфа. 1993 г. - 74 с.
3. В.В. Будилов, Р.М. Киреев, С.Р. Шехтман. Технология вакуумной ионно-плазменной обработки. Учебное пособие. Москва.2007 г.
4. Самсонов Г.В., Марковский Л.Я., Жигач А.Ф., Валяшко М.Г. Бор, его соединения и сплавы. Киев: Изд-во АН УССР, 1960. 470 с.
5. Григорьянц А.Г. Основы лазерной обработки материалов. М.: Машиностроение, 1989 г. – 304 с.
6. В.В. Будилов. Физические основы вакуумно-плазменной технологии нанесения покрытий: Учебное пособие. УГАТУ, Уфа, 1993 г.
7. Амирханова Н.А., Зайцев А.Н., Зарипов Р.А. Электрохимическая размерная обработка материалов в машиностроении: Учебное пособие /Н.А. Амирханова, А.Н. Зайцев, Р.А. Зарипов; Уфимск. Гос. Авиац. Ун-т. – Уфа, 2004.- 258 с.
8.
Артамонов Б.А., Волков Ю.С., Дрожалова
В.И. Электрофизические и электрохимические
методы обработки материалов. Учебное
пособие (в
2-х
томах). Обработка материалов с применением
инструмента / под ред. В.П. Смоленцева.-М.:
Высш.шк., 1983 г.
9. Попилов Д.Я. Электрофизическая и электрохимическая обработка материалов: Справочник — 2-е изд., перераб. и доп. — М.: Машиностроение, 1982. — 400 с., ил. (Серия справочников для рабочих)