где
– величина
тепла, выделяемого источником;
а – коэффициент температуропроводности материала детали;
с – удельная теплоёмкость;
-
плотность материала;
–
время, отсчитываемое от момента действия
источника;
R - расстояние от точки приложения источника до точки А, в которой рассчитывается температура :
[5,
стр. 81] (2.2)
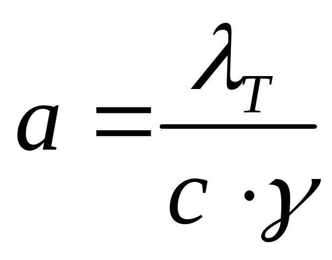
Коэффициент температуропроводности материала детали :
[5, стр. 81] (2.3)
где
–
коэффициент теплопроводности материала
детали
![]()
Зоны лазерного воздействия приведены на рис. 2.2.

Рис. 2.2. Зоны проплавления, закалки и отпуска в поперечном разрезе слоя детали:
R1 – зона проплавления.; R2 – зона закалки; R3–зона отпуска


Рис. 2.3. Кривые термического цикла при Wи = 10 Дж
R=0
|
t, с |
0 |
0.04 |
0.08 |
0.12 |
0.16 |
0.2 |
|
T, °C |
∞ |
1050 |
390 |
200 |
150 |
100 |
R=0,056см
|
t, с |
0,005 |
0.01 |
0.04 |
0.08 |
0.16 |
0.2 |
|
T, °C |
1200 |
1500 |
705 |
305 |
163 |
97 |
R=0,066 см
|
t, с |
0.005 |
0.019 |
0.04 |
0.08 |
0,14 |
0.2 |
|
T, °C |
756 |
860 |
590 |
290 |
170 |
95 |
R=0,08см
|
t, с |
0.005 |
0.024 |
0.06 |
0.1 |
0.16 |
0.2 |
|
T, °C |
87 |
500 |
320 |
197 |
159 |
90 |
Полученные данные из графиков сводим в таблицу 2.1
Таблица 2.1
|
R, cм |
0 |
0.056 |
0.066 |
0.08 |
|
Tm, °C |
∞ |
1500 |
860 |
500 |
|
tm, c |
0 |
0.018 |
0.021 |
0.032 |
|
wохл., °C/c |
19,2 |
28,1 |
10,9 |
|


Рис.2.4
Кривые термического цикла при Wи
= 20 Дж
R=0
|
t, с |
0 |
0.06 |
0.08 |
0.12 |
0.16 |
0.2 |
|
T, °C |
∞ |
1185 |
780 |
404 |
290 |
200 |
R=0,0707 см
|
t, с |
0.01 |
0.02 |
0.06 |
0.1 |
0.16 |
0.2 |
|
T, °C |
1300 |
1505 |
750 |
400 |
220 |
180 |
R=0,085 см
|
t, с |
0.02 |
0.03 |
0.06 |
0.1 |
0,16 |
0.2 |
|
T, °C |
800 |
855 |
600 |
370 |
210 |
170 |
R=0,102cм
|
t, с |
0.02 |
0.04 |
0.06 |
0.1 |
0.16 |
0.2 |
|
T, °C |
360 |
505 |
430 |
310 |
185 |
167 |
Полученные данные из графиков сводим в таблицу 2.2
Таблица 2.2
|
R, cм |
0 |
0.0707 |
0.085 |
0.102 |
|
Tm, °C |
∞ |
1505 |
855 |
505 |
|
tm, c |
0 |
0.04 |
0.06 |
0.058 |
|
wохл., °C/c |
22,7 |
17,1 |
7,1 |
- |


Рис. 2.5. Кривые термического цикла при Wи = 30 Дж
R=0
|
t, с |
0 |
0.08 |
0.12 |
0.14 |
0.16 |
0.2 |
|
T, °C |
∞ |
1130 |
608 |
505 |
400 |
300 |
R=0,081см
|
t, с |
0.01 |
0.022 |
0.06 |
0.1 |
0.16 |
0.2 |
|
T, °C |
800 |
1508 |
960 |
580 |
340 |
200 |
R=0,098 см
|
t, с |
0.02 |
0.037 |
0.06 |
0.1 |
0,16 |
0.2 |
|
T, °C |
630 |
850 |
720 |
495 |
300 |
198 |
R=0,117см
|
t, с |
0.02 |
0.048 |
0.1 |
0.14 |
0.16 |
0.2 |
|
T, °C |
200 |
504 |
395 |
290 |
275 |
195 |
Полученные данные из графиков сводим в таблицу 2.3
Таблица 2.3.
|
R, cм |
0 |
0.081 |
0.098 |
0.117 |
|
Tm, °C |
∞ |
1508 |
850 |
504 |
|
tm, c |
0 |
0,032 |
0,043 |
0,07 |
|
wохл., °C/c |
14,6 |
14,2 |
4,8 |
- |



Рис. 2.6. Кривые термического цикла при Wи = 40 Дж
R=0
|
t, с |
0 |
0.1 |
0.12 |
0.14 |
0.16 |
0.2 |
|
T, °C |
∞ |
1095 |
800 |
650 |
520 |
395 |