Материал: part03

Внимание! Если размещение файла нарушает Ваши авторские права, то обязательно сообщите нам

DICOM PS3.3 2020a - Information Object Definitions​

Page 1301​

else if (x > c + w/2), then y = ymax​

else y = ((x - c) / w + 0.5) * (ymax- ymin) + ymin​

Window Width (0028,1051) shall always be greater than 0.​

Note​

1.​For example, given stored unsigned pixel values from 0 to 65535, a Rescale Intercept of 0 and a Rescale Slope of​ 1.0/65535, a Window Width of 1.0 and a Window Center of 0.5 would specify the entire range of values (the identity​ transformation for those rescale values).​

2.​Window Width (0028,1051) is required to be greater than zero to prevent division by zero (quite apart from being​ meaningless).​

C.11.3 LUT Identification Module​

This section has been retired. See PS3.3-2006.​

C.11.4 Presentation LUT Module​

Table C.11-4 specifies the Attributes that describe the Presentation LUT.​

Table C.11-4. Presentation LUT Module Attributes​

Attribute name​

Tag​

Description​

Presentation LUT Sequence​

(2050,0010)​ Defines a Sequence of Presentation LUTs.​

 

 

Only a single Item shall be included in this Sequence.​

>LUT Descriptor​

(0028,3002)​ Specifies the format of the LUT Data in this Sequence.​

 

 

Required if Presentation LUT Sequence (2050,0010) is present.​

 

 

See Section C.11.4.1 for further explanation.​

>LUT Explanation​

(0028,3003)​ Free form text explanation of the meaning of the LUT.​

>LUT Data​

(0028,3006)​ LUT Data in this Sequence.​

Presentation LUT Shape​

(2050,0020)​ Specifies pre-defined Presentation LUT shapes.​

 

 

Enumerated Values:​

IDENTITY​ input to the Presentation LUT is in P-Values, no further​ translation is necessary​

LIN OD​ input to Presentation LUT is in linear optical density over the​ rangeofMinDensity(2010,0120)andMaxDensity(2010,1030)​

Note​

LIN OD is only defined for hardcopy devices and is not applicable​ to softcopy devices.​

C.11.4.1 LUT Descriptor​

The three values of LUT Descriptor (0028,3002) describe the format of the data in LUT Data (0028,3006).​

The first value is the number of entries in the lookup table. When the number of table entries is equal to 216 then this value shall be​ 0. The number of entries shall be equal to the number of possible values in the input. (For 8 bit input will be 256 entries, for 12 bit input​ it will be 4096 entries)​

The second value is the first input value mapped, and shall always be 0. The Value Representation of the second value is always​ US. This input value is mapped to the first entry in the LUT. Subsequent input values are mapped to the subsequent entries in the​

- Standard -​

Page 1302​

DICOM PS3.3 2020a - Information Object Definitions​

LUT Data up to an input value equal to number of entries + first value mapped - 1 that is mapped to the last entry in the LUT Data.​ There are no input values greater than number of entries - 1.​

The third value specifies the number of bits for each entry in the LUT Data. It shall be between 10 and 16 inclusive. The LUT Data​ shall be stored in a format equivalent to 16 bits allocated where the high bit is equal to bits stored - 1, where bits stored is the third​ value.​

Note​

Since LUT Descriptor (0028,3002) is multi-valued, in an Explicit VR Transfer Syntax, only one value representation (US or​ SS) may be specified. Since all three values are always by definition interpreted as unsigned, the explicit VR actually used​ will always be US.​

LUT Data (0028,3006) contains the LUT entry values, which are P-Values.​

The output range is from 0 to 2n-1 where n is the third value of LUT Descriptor. This range is always unsigned.​

This range specifies the output range of the P-Values.​

C.11.5 Image Histogram Module​

Table C.11.5-1. Image Histogram Module Attributes​

Attribute name​

Tag​

Type​

Description​

Histogram Sequence​

(0060,3000)​

1​ Defines a Sequence of Histograms.​

 

 

 

One or more Items shall be included in this Sequence.​

>Histogram Number of Bins​

(0060,3002)​

1​ The number of "bins" (entries) in the histogram.​

>Histogram First Bin Value​

(0060,3004)​

1​ The stored pixel value corresponding to the lowest pixel value​

 

 

 

counted in the first bin. All image pixel values less than this value​

 

 

 

are not included in the histogram.​

 

 

 

Note​

 

 

 

The Value Representation of this Attribute is determined​

 

 

 

by the value of Pixel Representation (0028,0103).​

>Histogram Last Bin Value​

(0060,3006)​

1​ The stored pixel value corresponding to the highest pixel value​

 

 

 

counted in the last bin. All image pixel values greater than this value​

 

 

 

are not included in the histogram.​

 

 

 

Note​

 

 

 

The Value Representation of this Attribute is determined​

 

 

 

by the value of Pixel Representation (0028,0103).​

>Histogram Bin Width​

(0060,3008)​

1​ The number of consecutive stored pixel values included in a bin. All​

 

 

 

bins shall be of equal width.​

>Histogram Explanation​

(0060,3010)​

3​ Free form text explanation of the meaning of the LUT.​

>Histogram Data​

(0060,3020)​

1​ Histogram Data encoded as 32 bit unsigned counts of the number​

 

 

 

of pixel values in each bin.​

C.11.5.1 Image Histogram Attribute Descriptions​

The Image Histogram is a Sequence with multiple Items representing a sequential count of binned stored image pixel values in as-​ cending order.​

- Standard -​

DICOM PS3.3 2020a - Information Object Definitions​

Page 1303​

Note​

One reason to include a histogram with an image is as an aid to image processing applications. For applications that use​ them,computationsofhistogramsforverylargeimagescanbeasignificantburdenoncomputerresourcesandcanseriously​ degrade the response time to the user.​

The Image Histogram has multiple Items to support multiple histograms per image. One or more regions of interest or value ranges​ may be separately computed. A description of the region(s) of interest and value range may be included in Histogram Explanation​ (0060,3010). The Image Histogram may be related to parts or all of a specific image.​

The Attributes describing the parameters of the histogram are in image pixel value space, as stored in Pixel Data (7FE0,0010), before​ the application of any transformation such as Rescale Slope and Intercept or Modality LUT.​

The range of stored image pixel value instances is described by the Histogram First Bin Value (0060,3004) and Histogram Last Bin​ Value (0060,3006). All values outside of this range shall be ignored. The number of histogram bins shall be large enough to contain​ allofthepixelsintherangefromthesmallesttothelargeststoredimagepixelvalueinthatregionoftheimagefromwhichthehistogram​ has been derived (which may or may not be the whole image).​

The Histogram Bin Width (0060,3008) describes how many consecutive stored image pixel values are counted as one. All bins shall​ be of equal width.​

Note​

For example, a Histogram Bin Width (0060,3008) of 8 means that counts of pixel values in ascending groups of 8 are added​ together. If Histogram First Bin Value (0060,3004) were 0, then the first bin would contain the count of pixel values in the​ range of 0-7, the second bin the count of pixel values in the range of 8-15, etc. If Histogram Number of Bins (0060,3002)​ were 32, then the last bin would contain the count of pixel values in the range of 248-255 and Histogram Last Bin Value​ (0060,3006) would be 255 (not 248).​

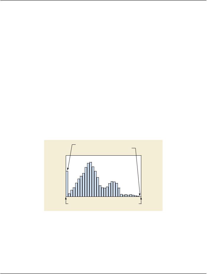
This example is illustrated in Figure C.11.5-1, in which the vertical axis represents the count within each bin and the horizontal axis​ represents each bin in ascending order.​

Histogram Bin Width (0060,3008) = 8, so the first bin includes values between 0 and 7

Count of zero in the last bin indicates no values in the image between 248 and 255

Histogram Number of Bins (0060,3002) defines 32 bins

Histogram First Bin Value

Histogram Last Bin Value

(0060,3004) = 0

(0060,3006) = 255

Figure C.11.5-1. Image Histogram Example​

C.11.6 Softcopy Presentation LUT Module​

Table C.11.6-1 specifies the Attributes that describe the Softcopy Presentation LUT.​

- Standard -​

Page 1304​ DICOM PS3.3 2020a - Information Object Definitions​

Table C.11.6-1. Softcopy Presentation LUT Module Attributes​

Attribute name​

Tag​

Type​

Description​

PresentationLUTSequence​

(2050,0010)​

1C​

Defines a Sequence of Presentation LUTs.​

 

 

 

Only a single Item shall be included in this Sequence.​

 

 

 

Required if Presentation LUT Shape (2050,0020) is absent.​

>LUT Descriptor​

(0028,3002)​

1​

Specifies the format of the LUT Data in this Sequence.​

 

 

 

See Section C.11.6.1.1 for further explanation.​

>LUT Explanation​

(0028,3003)​

3​

Free form text explanation of the meaning of the LUT.​

>LUT Data​

(0028,3006)​

1​

LUT Data in this Sequence.​

Presentation LUT Shape​

(2050,0020)​

1C​

Specifies predefined Presentation LUT transformation. Required if​

 

 

 

Presentation LUT Sequence (2050,0010) is absent.​

Enumerated Values:​

IDENTITY​ no further translation necessary, input values are​

P-Values​

INVERSE​ output values after inversion are P-Values​

See Section C.11.6.1.2.​

Note​

This Module differs from the Presentation LUT Module used in the hardcopy (print) related SOP Classes in that Optical​ Density is not supported for Presentation LUT Shape (since Optical Density has no meaning for softcopy display devices).​

C.11.6.1 Softcopy Presentation LUT Attributes​

When the Presentation LUT is specified as a Presentation LUT Sequence, then the input range of values is specified by the LUT​ Descriptor as the first value mapped and the number of entries (values mapped). However, there is an implicit linear scaling of the​ output range of the preceding transformation (such as the VOI LUT transformation) so that it is always mapped to the specified input​ range of the Presentation LUT.​

When the Presentation LUT is specified as Presentation LUT Shape, then the input range is implicitly specified to be the output range​ of the preceding transformation (VOI LUT, or if the VOI LUT is identity or absent, the Modality LUT, or if the Modality LUT and VOI​ LUT are identity or absent, the stored pixel values). In this case, the full range of the output of the preceding transformation will be​ mapped to the full input range of the display device that receives the output of the Presentation LUT.​

Note​

The output of the preceding transformation may be signed. This does not mean that signed P-Values actually need to be​ generated, only that the output of the preceding transformation is to be interpreted by the display device as perceptually​ linear over the range from the minimum to the maximum values output by the preceding step, and that the minimum value​ be mapped to the lowest JND Index (and hence luminance) that the display can generate, and the maximum value be​ mapped to the highest JND Index (and hence luminance) that the display can generate.​

In other words, in both cases, the Presentation LUT Module is always implicitly specified to apply over the full range of output of the​ preceding transformation, and it never selects a subset or superset of the that range (unlike the VOI LUT).​

The output bit precision of the VOI LUT Sequence is not required to match the input range of the Presentation LUT Sequence.​

Note​

1.​For example, if the VOI LUT is specified as a Window Center of 0 and a Window Width of 100, then the range from -50​ to +49 is selected to be mapped to the full range of the display or print device (the full range of P-Values) if the​ Presentation LUT Shape is specified as IDENTITY or INVERSE. This example demonstrates the conventional under-​

- Standard -​

DICOM PS3.3 2020a - Information Object Definitions​

Page 1305​

standing of the meaning of Window Center and Width to select "values of interest" that are to be displayed across the​ full range of the output device, without explicitly having to map each choice to P-Values.​

2.​For example, if the VOI LUT is specified as a Window Center of 0 and a Window Width of 100, and the Presentation​ LUT Sequence is present with a LUT Descriptor first value of 256 and second value of 0, then the range from -50 to​ +49isimplicitlylinearlyscaledfrom0to255beforeselectingvaluesfromtheLUTDatainthePresentationLUTSequence.​ This example demonstrates that it is not necessary to send a different Presentation LUT for different Window Center​ and Width values.​

3.​For example, if the VOI LUT is specified as VOI LUT Sequence with a LUT Descriptor with a 3rd Value of 16, then the​ range from 0 to 216-1 is selected to be mapped to the full range of the display or print device (the full range of P-Values)​ if the Presentation LUT Shape is specified as IDENTITY or INVERSE. This example demonstrates that a VOI LUT may​ be specified with the desired precision, without having to explicitly send a Presentation LUT to rescale that precision to​ whatever range of P-Values is preferred by the display application.​

4.​For example, if the VOI LUT is specified as VOI LUT Sequence with a LUT Descriptor with a 3rd Value of 16, and the​ Presentation LUT Sequence is present with a LUT Descriptor first value of 4096 and second value of 0, then the range​ from 0 to 216-1 is implicitly linearly scaled to the range 0 to 4095 before selecting values from the LUT Data in the​ PresentationLUTSequence.Thisexampledemonstratesthecasewhere,tosavespace,thePresentationLUTisencoded​ in a compact form that a display application may choose to interpolate more precisely, yet the VOI LUT output may be​ encoded with 16 bit precision.​

C.11.6.1.1 LUT Descriptor​

The three values of LUT Descriptor (0028,3002) describe the format of the LUT Data in the corresponding LUT Data (0028,3006)​ Attribute.​

The first value is the number of entries in the lookup table. When the number of table entries is equal to 216 then this value shall be​ 0.​

The second value is the first implicitly scaled input value mapped, and shall always be 0. The Value Representation of the second​ value is always US. This implicitly scaled input value is mapped to the first entry in the LUT. There are no implicitly scaled input values​ less than the first value mapped. An implicitly scaled input value one greater than the first value mapped is mapped to the second​ entry in the LUT Data. Subsequent implicitly scaled input values are mapped to the subsequent entries in the LUT Data up to an im-​ plicitly scaled input value equal to number of entries + first value mapped - 1 that is mapped to the last entry in the LUT Data. There​ are no implicitly scaled input values greater than number of entries + first value mapped.​

The third value specifies the number of bits for each entry in the LUT Data. The third value of LUT Descriptor (0028,3002) shall be​ between 8 and 16 inclusive. The LUT Data shall be stored in a format equivalent to 8 bits allocated when the number of bits for each​ entry is 8, and 16 bits allocated when the number of bits for each entry is 16, where the high bit is equal to bits stored - 1, and where​ bits stored is the third value.​

Note​

1.​Since LUT Descriptor (0028,3002) is multi-valued, in an Explicit VR Transfer Syntax, only one value representation (US​ or SS) may be specified. Since all three values are always by definition interpreted as unsigned, the explicit VR actually​ used will always be US.​

2.​Some implementations have encoded 8 bit entries with 16 bits allocated, padding the high bits; this can be detected by​ comparing the number of entries specified in the LUT Descriptor with the actual value length of the LUT Data entry. The​ value length in bytes should equal the number of entries if bits allocated is 8, and be twice as long if bits allocated is​ 16.​

The LUT Data contains the LUT entry values, which are P-Values.​

The output range is from 0 to 2n-1 where n is the third value of LUT Descriptor. This range is always unsigned.​

This range specifies the output range of the P-Values.​

- Standard -​