Материал: Основы динамики космического полета

Внимание! Если размещение файла нарушает Ваши авторские права, то обязательно сообщите нам

Основы динамики космического полета

Введение

орбита планета спутник

Космос (греч. kosmos - строй, порядок, мир, Вселенная) первоначально у древних греков (начиная с Пифагора 6 в до н.э.) - Вселенная как стройная организованная система в противоположность хаосу беспорядочному нагромождению материи.

Космос изучают с помощью разных приборов и инструментов. Среди них телескопы, сложнейшее оптическое оборудование, астрографы, астролябии. Ученые используют их для определения состава планет, их температуры, величины и других данных.

октября 1957 г. с территории нашей страны был запущен первый в мире искусственный спутник Земли. Проводились координированные исследования верхних слоев атмосферы. Советский научный эксперимент, осуществленный на такой большой высоте, имел тогда громадное значение для познания свойств космического пространства и изучения Земли как планеты Солнечной системы.

Первый спутник имел форму шара диаметром 58 см с четырьмя прикрепленными стержневыми антеннами. Весил 83,6 кг. Два его радиопередатчика, непрерывно излучали радиосигналы, которые мог уверенно принимать широкий круг радиолюбителей. С его помощью была измерена плотность верхних слоев атмосферы, исследованы особенности распространения радиосигналов в ионосфере, проведены теоретические расчеты и проверены основные технические решения, связанные с выведением искусственных летательных аппаратов на орбиту. За 92 дня «Спутник-1» совершил 1440 оборотов вокруг Земли и прекратил свое существование 4 января 1958 г., войдя в плотные слои атмосферы.

Простейший спутник был только первым элементом в серии космических аппаратов, предполагавшей создание орбитальных пилотируемых станций и межпланетных кораблей.

Особо следует отметить спутники связи. Они расширяют возможности теле- и радиообщения между людьми на Земле. Современные организации характеризуются большим объемом различной информации, в основном электронной и телекоммуникационной, которая проходит через них каждый день. Поэтому важно иметь высококачественный выход на коммутационные узлы, которые обеспечивают выход на все важные коммуникационные линии. В России, где расстояния между населенными пунктами огромное, а качество наземных линий оставляет желать лучшего, оптимальным решением этого вопроса является применение систем спутниковой связи.

Передача информации в цифровой форме обладает рядом преимуществ по сравнению с другими методами передачи. К ним относятся:

. простота и эффективность объединения многих независимых сигналов и преобразования цифровых сообщений в «пакеты» для удобства коммутации;

. меньшие энергозатраты по сравнению с передачей аналогового сигнала;

. относительная нечувствительность цифровых каналов к эффекту накопления искажений при ретрансляциях, обычно представляющему серьезную проблему в аналоговых системах связи;

. потенциальная возможность получения очень малых вероятностей ошибок передачи и достижения высокой верности воспроизведения переданных данных путем обнаружения и исправления ошибок;

. конфиденциальность связи;

. гибкость реализации цифровой аппаратуры, допускающая использование микропроцессоров, цифровую коммутацию и применение микросхем с большей степенью интеграции компонентов.

На сегодняшний день существует большое количество ССС, основанных на различных спутниковых системах, различных принципах и предназначенных для различных применений.

Поэтому данная тема курсовой работы актуальна на сегодняшний день.

Целью данной курсовой работы является изучение основ динамики космического полета.

Основными задачами при выполнении работы являются:

)        изучение литературы по теме курсовой работы

)        изучение основных принципов и методов расчета траекторий полета

)        раскрытие значения данной темы

)        возможность применения изученного материала


1. Движение материальной точки в центральном силовом поле Земли

1.1 Уравнения движения точки в центральном силовом поле

. Рассмотрим движение материальной точки В под действием центральной силы

 (1.1.1)

где  - радиус-вектор, проведенный из центра сил О в движущуюся точку, Fr - проекция вектора силы на направление радиуса-вектора, зависящая только от расстояния r между точками О и В. В случае притяжения точки В к центру сил Fr= - ||, в случае отталкивания Fr= ||.

. Момент  силы  относительно точки О равен нулю:

 (1.1.2)

Поэтому в соответствии с законом сохранения момент импульса материальной точки В относительно точки О

 (1.1.3)

где т - масса точки В, a  - ее скорость.

Рис 1

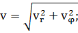
Вектор  перпендикулярен к плоскости, проходящей через векторы  и . Из (рис 1.1) следует, что в центральном силовом поле эта плоскость не меняет своей ориентации в пространстве, т.е. траектория точки В является плоской кривой. Таким образом, положение точки В можно задать с помощью двух полярных координат r и φ (рис. 1.1), а ее скорость  можно разложить на две взаимно перпендикулярные составляющие - радиальную скорость , и трансверсальную .

  (1.1.4)

Действительно, , где  - единичный вектор полярной оси, а  - единичный вектор, образующий с  угол  Скорость точки В , или

 (1.1.6)

Единичный вектор -  совпадает по направлению с вектором , а единичный вектор - перпендикулярен к . Поэтому первый член правой части написанного выше выражения для  является радиальной скоростью, а второй - трансверсальной.

 (1.1.7)

или, в силу взаимной перпендикулярности векторов  и

 

 (1.1.8)

При повороте радиуса-вектора  за время dt на малый угол dφ радиус - вектор прочерчивает круговой сектор, площадь которого

Поэтому величину

 (1.1.9)

называют секториальной, или секторной, скоростью. Из (1.1.8) видно, что при движении материальной точки в центральном силовом поле секториальная скорость точки постоянна:

 (1.1.10)

Этот закон впервые был установлен Кеплером применительно к движению планет в поле тяготения Солнца. Его называют вторым законом Кеплера.

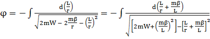
3. Для определения траектории материальной точки В воспользуемся законами сохранения момента импульса (уравнение 1.1.8) и энергии:

W = Wк+ Wп = const; (1.1.11)

Кинетическая энергия может быть представлена в виде:

 (1.1.12)

Подставив это значение Wк в уравнение (1.1.11) и разрешив его относительно  получим:

 (1.1.13)

Из (1.1.8)

 (1.1.14)

Таким образом

 (1.1.15)

 (1.1.16)

Для нахождения этого интеграла необходимо знать зависимость потенциальной энергии Wп от r. Большой практический интерес представляет движение материальной точки В в таком сферически симметричном центральном силовом поле, для которого

; (1.1.17)

где  = const. В случае поля тяготения, создаваемого материальной точкой с массой М,  = -mМ < 0. Соотношение (1.1.16) справедливо также для потенциальной энергии точечного электрического заряда q1 находящегося в электростатическом поле другого точечного заряда q2.

Подставим значение (1.1.17) для Wn в уравнение (1.1.16)

; (1.1.18)

Последний интеграл сводится к табличному, если ввести обозначения:

 (1.1.19)

 (1.1.20)

где φ0 - постоянная интегрирования, которую можно обратить в нуль, выбрав начало отсчета угла φ таким образом, чтобы φ = 0 при х = а. Подставив значения х и а, получим уравнение траектории точки В:


. Если точка В притягивается к силовому центру, то  < 0 и уравнение ее траектории (1.1.22) можно переписать в такой форме:

 (1.1.23)

 (1.1.24)

Траектория, или орбита, точки В представляет собой кривую второго порядка, причем р - ее фокальный параметр, а е - эксцентриситет.

Возможны следующие типы траекторий точки В:

а)      эллиптическая орбита (е < 1) приW < 0;

б)      параболическая орбита (е = 1) при W = 0;

в)      гиперболическая орбита (е > 1) при W > 0;

г)       прямолинейная траектория, проходящая через центр сил (р = 0, е = 1) при L= 0.

В первых трех случаях центр сил совпадает с одним из фокусов орбиты. Для планет, движущихся в поле тяготения Солнца, W < 0. Поэтому для них справедлив первый закон Кеплера:

все планеты Солнечной системы движутся по эллиптическим орбитам, в одном из фокусов которых находится Солнце.

В соответствии со вторым законом Кеплера секториальная скорость  каждой из планет постоянна. Следовательно, период Т обращения планеты по орбите равен отношению площади S, ограниченной орбитой, к :

 (1.1.25)

Площадь эллипса S =ab, где а и b - его большая и малая полуоси. Учитывая, что

 (1.1.26)

а также используя соотношение (1.1.10), получаем

 (1.1.27)

 (1.1.28)

Уравнение (1.1.28) является математической записью третьего закона Кеплера: квадраты периодов обращения планет вокруг Солнца прямо пропорциональны кубам больших полуосей их орбит.

. В случае движения материальной точки В в сферически симметричном центральном поле сил отталкивания (β > 0) уравнение ее траектории (1.1.22) также представляет собой уравнение кривой второго порядка:

 (1.1.29)

где р и e определяются по формулам (1.1.24). Полная энергия материальной точки В:

 (1.1.30)

так как Wп> 0, а кинетическая энергия всегда положительна. Поэтому точка В может двигаться только либо по гиперболической орбите, либо вдоль прямой, проходящей через центр сил (при L = 0).

1.2 Уравнение орбиты

Для описания движения центра масс тела или материальной точки необходимо ввести некоторое начало отсчета - систему координат. При рациональном выборе системы координат часто удается значительно упростить уравнения движения.

Различают инерциальную и неинерциалъную системы координат. Инерциальной называют такую систему координат, которая находится в состоянии покоя или равномерного прямолинейного поступательного движения относительно «абсолютной» системы отсчета, например, удаленных звезд, условно называемых неподвижными. Всякая другая система координат является неинерциальной. Заметим, что часто при решении задач механики некоторые неинерциальные системы координат оказывается возможным рассматривать в качестве инерциальных. При этом допускается несущественная для данной задачи погрешность, но зато удается значительно упростить задачу в целом.

Уравнения движения в инерциальной системе координат имеют наиболее простой вид и записываются на основе второго закона Ньютона: произведение массы тела на его ускорение равно действующей силе.

Абсолютное движение и относительное движение. Рассмотрим движение материальных точек М и т в некоторой инерциальной системе координат. Единственной силой, под действием которой совершается движение, является сила притяжения. Для материальной точки т эта сила определяется формулой

 (1.2.1)

Здесь ° - единичный вектор, направленный от М к т, r - относительное расстояние. Сила, действующая на материальную точку М, равна по величине ||, но направлена в противоположную сторону.