![]()
,
где
![]()
- область значений частных функций распределения.
Если ![]()
- копула-функция, а ![]()
- функции распределения, то функция ![]()
, определяемая выражением (30), является совместной функцией
распределения с частными распределениями ![]()
. Последнее утверждение теоремы представляет большой интерес в
задаче моделирования многомерных функций распределения, поскольку из него
следует, что можно связывать вместе любые ![]()
одномерных функций распределения разного типа (не обязательно из
одного семейства), используя любую копула-функцию, для того чтобы получить
двумерные или многомерные функции распределения.
Пусть ![]()
- обратные (в обобщенном смысле) функции частных распределений.
Тогда для каждого ![]()
из единичного n-мерного куба существует единственная
копула-функция ![]()
такая, что:
![]()
(31)
Таким образом, копула-функция - это такая функция, которая, с использованием знания об одномерных частных распределениях, позволяет получить многомерную функцию распределения, поскольку функция распределения случайного вектора полностью описывает его вероятностную структуру, куда, в частности, входит структура зависимости его компонент. Копула-функции дают возможность разделить описание распределения случайного вектора на две части: частные распределения компонент и структура их зависимостей.
Для копула-функций, аналогично функциям распределения, можно
определить понятие плотности. В частности, плотность ![]()
, ассоциированная с копула-функцией ![]()
, определяется соотношением:
![]()
(32)
Более того, применяя следствие теоремы Склара и рассматривая
непрерывные случайные величины, можно видеть, что плотность копула-функции c![]()
ассоциирована с плотностью совместной функции распределения ![]()
, обозначенной как ![]()
, следующим образом (каноническое представление) [64, c.100-115]:
![]()
(33)
![]()
(34)
Существует несколько альтернативных методов для решения задачи моделирования совместного распределения с учетом теоремы Шкляра. Фактически множество комбинаций определяется возможностью параметрической и непараметрической оценки копулы и частных распределений. Все варианты можно обобщить в три метода: параметрический, полупараметрический и непараметрический.
Параметрический метод
Данный класс методов предполагает параметризацию как частных распределений, так и копулы. Если базовый подход MLE (Maximum Likelihood Estimation) максимизирует функцию правдоподобия одновременно по частным распределениям и по копуле, то метод "от частных распределений" (Inference for Margin - IFM) разбивает оценку на два этапа: вначале - параметризацию частных распределений, затем - копулы.
Полупараметрический метод
Полупараметрический метод также предполагают двухэтапную оценку копулы. Но на первом этапе вместо параметрической оценки частных распределений берутся эмпирические распределения, а на втором - происходит параметрическая оценка копулы.
Непараметрический метод
Среди непараметрических методов оценки копул можно выделить два подхода: на основе оценки эмпирической копулы и ядерных оценок. Первый подход предполагает оценку функции распределения эмпирической копулы, которая отражает число случаев, когда исходы случайных величин одновременно попали в выбранную ячейку сетки разбиения всего множества вероятностного пространства [62].
Для оценки многомерного распределения необходимо выбрать вид копула-функции, который наилучшим образом описывает зависимость между исходными данными. Существует несколько семейств копула-функций, каждое из которых содержит в себе различные виды.
Эллиптические копула-функции
Класс эллиптических распределений включает, главным образом, класс симметричных распределений, которые являются довольно популярными в современных финансах. Они позволяют моделировать многомерные экстремальные события, формируя зависимость, не совпадающую с зависимостью многомерного нормального распределения, и использовать распределение с большим эксцессом, чем эксцесс нормального распределения. Таким образом, эллиптические копула-функции - это попросту копула-функции многомерных распределений эллиптического типа. Эллиптические распределения определяются следующим образом:
Пусть ![]()
- ![]()
-мерный случайный вектор и ![]()
- симметричная и неотрицательно определенная матрица. Если
существует ![]()
и функция ![]()
такие, что характеристическая функция ![]()
имеет вид:
![]()
(35)
Для любого ![]()
, то ![]()
называют случайным вектором, имеющим распределение эллиптического
типа с параметрами ![]()
. Копула-функция ![]()
называется эллиптической, если она отвечает распределению
эллиптического типа. Функция плотности распределения эллиптического типа в
случае ее существования имеет вид:
![]()
(36)
Для некоторой функции ![]()
, которая удовлетворяет условию: ![]()
Функцию ![]()
называют оператором плотности распределения эллиптического типа
или генерирующей функцией. Нормирующая константа ![]()
может быть определена явным образом с использованием перехода к
полярным координатам. В результате получим:
![]()
(37)
Таблица 1: Копула-функции эллиптического типа
Распределение
Генератор
Константа
Нормальное
Коши
Стьюдента
Логистическое
Лапласа
Котца
Экспоненциальное
Наиболее часто встречающими из вышеперечисленных
копула-функций являются нормальная копула и копула Стьюдента, которые также
были использованы и в настоящей работе. Их популярность при анализе финансовых
данных обусловлена тем, что они позволяют моделировать портфели высокой
размерности, являясь при этом относительно легко оцениваемыми. Кроме того,
данные функции позволяют генерировать наблюдения при помощи относительно
простых алгоритмов.
Нормальная копула функция определяется следующим образом:
где Плотность нормальной копула-функции может быть получена из
уравнения (32) с использованием канонического представления:
где где Плотность T копула-функции может быть получена из уравнения (32) и
канонического представления:
где Архимедовы копулы
Архимедовы копула-функции обеспечивают аналитическую гибкость и
широкий спектр различных мер зависимости. По следующим причинам эти
копула-функции могут быть использованы в широком диапазоне приложений:
Архимедовы копула-функции могут быть представлены в явном
аналитическом виде, в отличие от семейства эллиптических копула-функций,
которые определяются в неявной форме.
Архимедовы копула-функции допускают относительно простое
построение, включая вычислительную реализацию.
Многие параметрические семейства копула-функций принадлежат этому
классу.
Рассмотрим непрерывную, строго убывающую и выпуклую функцию где Тогда функцию Называют архимедовой копула-функцией с генератором Таблица 2: Архимедовы Копула-функции
Название
Генератор Клейтона
Гумбеля
Франка
Плотность архимедовых копула функций может быть вычислена по
формуле:
или если генератор Это означает, что, зная генератор Таким образом, мы рассмотрели наиболее часто встречающиеся
копула-функции и теоретические основы для моделирования многомерных
распределений с помощью данного инструмента, который будет использован в
следующей главе.
В данной работе объектом исследования выступают открытые
Паевые инвестиционные фонды на российском рынке. Для проведения исследования
были выбраны десять ПИФов с наибольшей стоимостью чистых активов (СЧА) по
состоянию на 29.02.2016г. В число таких фондов вошли два фонда акций, два
смешанных фонда, один фонд фондов и пять фондов облигаций. В выборку не попали
ПИФ, которые не торговались все 3 года либо имеющие плохую ликвидность:
"Резервный. Валютные инвестиции" - СЧА равно 4 397 699 202,03;
"Сбербанк - Биотехнологии" - СЧА равно 3 576 398 683,71 и
"Резервный" - СЧА равно 3 195 211 569,2.
Таблица 3: Исследуемые ПИФ
№ п. п.
ПИФ
Категория
Управляющая компания
СЧА (руб.)
1
Райффайзен - Облигации
Облигации
Райффайзен Капитал
6 297 163 156, 20
2
Газпромбанк - Облигации плюс
Облигации
Газпромбанк - Управление активами
4 658 050 337,88
3
Сбербанк - Фонд облигаций Илья Муромец
Облигации
Сбербанк Управление Активами
4 486 700 056,66
4
Империя
Смешанный
БК-Сбережения
4 386 257 029,07
5
Райффайзен - США
Фондов
Райффайзен Капитал
3 403 343 019,23
6
Сбербанк - Еврооблигации
Облигации
Сбербанк Управление Активами
3 395 640 086,87
7
Альфа-Капитал Стратегические инвестиции
Смешанный
Альфа-Капитал
3 177 348 590,10
8
Альфа-Капитал Резерв
Облигации
Альфа-Капитал
2 867 605 912,62
9
Сбербанк - Потребительский сектор
Акции
Сбербанк Управление Активами
2 770 617 117,16
10
УРАЛСИБ Первый
Акции
УРАЛСИБ
2 726 979 319,00
Были получены стоимости паев по каждому ПИФ за период 3 года
(с 01.03.2013 по 01.03.2016 г.) - всего 753 значения. На их основе была
рассчитана доходность по торговым дням по формуле (10) - всего 752 значения.
Если у фонда были дни, когда стоимость пая отсутствовала, то пропущенные
значения заменялись на средне-арифметические между двумя соседними датами. Вся
данная выборка была поделена на обучающую (572 значения доходности) и контрольную
(180 значений доходности) для оптимизации портфеля ценных бумаг и проверки
результатов оптимизации.
Анализ исследуемых ценных бумаг включает в себя проведение
двух последовательных этапов: тестирование данных на подчинение нормальному
закону распределения с помощью теста Колмогорова-Смирнова и получение
представления о "толщине хвостов" эмпирических распределений ценных
бумаг на основе построения ядерных оценок функций плотности.
Тестирование данных на "нормальность"
Проведение тестов на "нормальность" означает
проверку статистической значимости того, что истинное распределение
рассматриваемых данных можно описать при помощи нормального закона:
Для данных целей используют, как правило, либо критерий
Колмогорова-Смирнова, либо критерий Шапиро-Вилка. В настоящей работе из-за
относительной простоты был использован критерий Колмогорова-Смирнова с уровнем
значимости 95%.
Пусть Если статистика Таблица 4: Результаты тестов на Нормальность данных
№ п. п.
ПИФ
Значение статистики 1
Альфа-Капитал Резерв
0.241
0
Распределение не "нормальное"
2
УРАЛСИБ Первый
0.065
0.0037 3
Сбербанк - Фонд облигаций Илья Муромец
0.211
0
Распределение не "нормальное"
4
Райффайзен - Облигации
0.199
0
Распределение не "нормальное"
5
Альфа-Капитал Стратегические инвестиции
0.114
0
Распределение не "нормальное"
6
Сбербанк - Потребительский сектор
0.078
0.0002
Распределение не "нормальное"
7
Райффайзен - США
0.106
0
Распределение не "нормальное"
8
Империя
0.183
0
Распределение не "нормальное"
9
Сбербанк - Еврооблигации
0.155
0
Распределение не "нормальное"
10
Газпромбанк - Облигации плюс
0.232
0
Распределение не "нормальное"
Таким образом, мы можем увидеть, что ни одна бумага с
доверительной вероятностью 95% не может считаться распределенной по нормальному
закону. Из этого следует, что применение классической теории Марковица с
предположением о нормальности распределения доходностей ценных бумаг может дать
плохие результаты и привести к выбору далеко не оптимального портфеля ценных
бумаг.
Проверка "толщины хвостов"
Непараметрическая оценка функции плотности распределения где Для целей настоящей работы ядерная функция Как для теоретических, так и для практических целей ядерная оценка
не чувствительна к выбору ядерной функции. Главная задача ядра, как было
упомянуто выше - обеспечить гладкость и дифференцируемость результирующей
оценки при минимальной ошибке. Существует целый ряд ядерных функций с
одинаковой относительной эффективностью, так что можно выбирать ядро на основе
вычислительной сложности. В качестве ядерных функций обычно используются симметричные
одномодальные функции плотности:
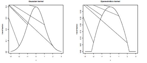
Таблица 5: Ядерные функции
Ядро
Формула
Гауссовское ядро
Ядро Епанечникова
Треугольное ядро
Прямоугольное (равномерное) ядро
Вид этих функций представлен на следующем рисунке:
Рисунок 8: Ядерные функции
В отличие от выбора ядерной функции, выбор подходящей ширины окна Существует два основных подхода к определению величины
сглаживающего множителя (ширины интервала):
Фиксированная ширина интервала на всей выборке. В рамках этого
подхода выделяют:
правило подстановки (ruleofthumb)
метод перекрёстной проверки (cross-validation)
Ширина интервала меняется в зависимости от локальной концентрации
наблюдений. В рамках этого подхода выделяют:
Обобщенныйметодближайшихсоседей (generalized nearest neighbors)
Адаптивный методближайших соседей (adaptive nearest neighbors)
[45,46]
В данной работе было использовано ядро Гаусса с фиксированной
шириной интервала Рисунок 9: Ядерные оценки функции плотности по рассматриваемым ПИФ
Как мы можем увидеть из данного рисунка, по всем ПИФ наблюдаются
толстые хвосты в левой части, поскольку плотность эмпирического распределения
(непрерывная линия) в данных областях выше плотности Нормального распределения
(пунктирная красная линия). Мы можем сделать вывод, что вероятность
экстремальных негативных событий выше чем у позитивных и использование
симметричных меры риска - СКО и дисперсии может привести к неправильной оценки
истинного риска и как следствие будет сформирован портфель ценных бумаг не
отвечающий критериям оптимальности. Выходом из данной ситуации является
использование нессиметричных мер риска, например, VaR или CVaR.
Таким образом, после проведенного предварительного анализа
используемых данных мы можем заключить, что рассмотрение и использование в
качестве меры риска показателя CVaR значительно может улучшить наши результаты.
Это связано, во-первых, с "ненормальностью" распределения, а,
во-вторых, с толщиной левых "хвостов", используемых в данной работе
доходностей ПИФ.
Процедура оптимизации портфеля ценных бумаг представляет
собой выбор из портфельного множества того портфеля, который соответствует
критериям оптимальности для инвестора. В данной работе предполагается
построение двух видов оптимальных портфелей ценных бумаг: портфель минимального
риска и портфель максимального модифицированного коэффициента Шарпа. Под
модифицированным коэффициентом Шарпа в дальнейшем мы будим понимать:
Таким образом, данный коэффициент аналогичен стандартному
коэффициенту Шарпа за тем исключением, что здесь в качестве меры риска
используется не стандартное отклонение У используемого в настоящей работе подхода к оценке оптимальных
портфелей существуют следующие основные предпосылки:
Отсутствуют короткие продажи, т.е. веса ценных бумаг в портфелях
положительные
Отсутствие транзакционных издержек, налогов и комиссионных сборов
Бесконечная делимость активов
Сгенерированное портфельное множество является полным, т.е.
полностью описывает все возможные комбинации ценных бумаг в портфеле
Инвестор основывает свой выбор оптимального портфеля только на
основе показателя его доходности и риска, а прочие факторы, например, фактор
ликвидности в расчет не берутся.
Постоянство функции плотности вероятности, т.е. оценка функции
плотности на основе исторических данных будет состоятельной и неизменной во
времени
Предлагаемый метод получения оптимальных портфелей был применен к
обучающей выборке и включает в себя три основных этапа: моделирование множества
портфелей, создание параметрических копула функций и выбор оптимальных из них,
расчет оптимальных портфелей на основе CVaR. Рассмотрим каждый из них более
детально.
) Моделирование множества портфелей
Для целей построения достижимого портфельного множества и
определения эффективной границы необходимо рассмотреть всевозможные портфели,
т.е. перебрать все комбинации весов активов. Главной задачей на данном этапе
является формирование как можно более полного и всеобъемлющего набора весов для
чего на практике активно используется метод Монте-Карло. Пусть нам необходимо
смоделировать для портфеля, состоящего и Моделируем Упорядочиваем их по возрастанию, получаем Получаем вектор весов портфеля Таким образом, в результате мы получаем один случайный портфель с
весами Результат генерации 2000 случайных портфелей для трех активов
представлен на Рисунке 10.
Рисунок 10: Множество сгенерированных портфелей для трех активов
Как мы можем увидеть вся треугольная область равномерно заполнена
и отсутствуют какие либо "непокрытые" участки, что говорит о хороших
результатах моделирования портфельного множества [50, c.6].
) Создание параметрических копула функций и выбор оптимальных из
них.
В данной работе предполагается использование четырех наиболее
популярных и часто используемых на практике копула-функций, рассмотренных
ранее: Нормальная копула, копула Стьюдента, копула Гумбеля и копула Клейтона.
Для создания многомерной полупараметрической копулы необходимо в качестве
исходных данных использовать эмпирические кумулятивные функции распределения по
каждому ПИФ. Пусть Отсюда, значение После получения значений векторов где Таблица 6: Результаты критерия Акаике
Копула
Нормальная
Стьюдента
Гумбеля
Клейтона
Значение AIC
544,4253
888,8338
408,3167
486,6486
Исходя из полученных результатов, мы можем выбрать наилучшую
копула-функцию для дальнейшего моделирования многомерного распределения
доходностей ПИФ. Такой копулой является копула Стьюдента из семейства
Эллиптических копул.
) Расчет оптимальных портфелей на основе CVaR
Используя созданные копулы на предыдущем шаге, генерируем 180, 90
и 30 значений доходности ( На основе полученных значений доходности мы рассчитываем кумулятивную
(месячную, квартальную и полугодовую) доходность для каждой ценной бумаги по
следующей формуле:
В итоге мы получаем вектор кумулятивных доходностей за
рассматриваемый период времени. Повторяя данную итерацию достаточно большое
число раз (Q=1000) мы получаем следующую матрицу кумулятивных доходностей по
рассматриваемым ПИФам:
На заключительном шаге нам необходимо перейти к матрице
кумулятивных доходностей по каждому портфелю ПИФов. Для этого необходимо
выполнить следующие вычисления:
Отсюда мы можем найти ожидаемое значение доходности и CVaR по
каждому портфелю ценных бумаг. Ожидаемая доходность рассчитывается как
среднее-арифметическое значений доходностей портфеля (элементов каждого столбца
матрицы Ранжируем значения полученных доходностей по убыванию
Находим элемент с порядковым номером Рассчитываем CVaR как средне-арифметическое значение всех
элементов, порядковый номер которых превышает Таким образом, получив значения ожидаемой доходности и CVaR по
каждому сгенерированному портфелю ценных бумаг, мы можем построить Достижимое
множество для каждого периода инвестирования, где по оси ординат в качестве
меры риска будет использоваться CVaR, а не Дисперсия как в Классической теории.
Все три представленных множества имеют стандартную форму и являются выпуклыми.
Рисунок 11: Достижимые множества для трех горизонтов
инвестирования
На основе построенных множеств мы можем найти по каждому из них
портфели с минимальным значением риска (CVaR) и с максимальным значением
модифицированного коэффициента Шарпа. Для расчета коэффициента Шарпа
воспользуемся эффективными безрисковыми ставками для месяца, квартала и
полугодия и формулой (16):
Оптимальные портфели для месячного горизонта инвестирования
выглядят следующим образом:
Таблица 7: Оптимальные портфели по CVaR для месяца
№ п. п.
ПИФ
Портфель максимального коэффициента Шарпа
Портфель минимального риска
1
Альфа-Капитал Резерв
10,495%
17,301%
2
УРАЛСИБ Первый
0,716%
0,793%
3
Сбербанк - Фонд облигаций Илья Муромец
0,182%
7,576%
4
Райффайзен - Облигации
2,512%
18,087%
5
Альфа-Капитал Стратегические инвестиции
2,743%
3,383%
6
Сбербанк - Потребительский сектор
6,288%
1,574%
7
Райффайзен - США
26,963%
0,062%
8
Империя
9,070%
9,331%
9
Сбербанк - Еврооблигации
1,439%
0,357%
10
Газпромбанк - Облигации плюс
39,593%
41,537%
Как мы можем видеть, портфель минимального риска является
более диверсифицированным по сравнению с портфелем максимального коэффициента
Шарпа. Наибольший удельный вес в портфеле минимального риска занимает
"Газпромбанк - Облигации плюс" - 42%, а в портфеле максимального
коэффициента Шарпа - "Райффайзен - США" с весом 27% и также Газпромбанк
- Облигации плюс" - 40%. Полученные портфели обладают следующими
характеристиками на обучающей выборке данных:
Таблица 8: Характеристики оптимальных портфелей по CVaR для
месяца
Портфель
Доходность
CVaR
VaR
Коэффициент Шарпа
Минимального риска
0,9293%
2,4406%
2, 2005%
0,06659344
Максимального значения коэффициента Шарпа
2,1745%
5,3333%
4,6233%
0,263947
Оптимальный портфель по коэффициенту Шарпа обладает как более
высокой доходностью, так и более высоким риском (значения CVaR и VaR) по
сравнению с портфелем минимального риска, однако премия за единицу риска у него
значительно меньше.
Оптимальные портфели для трехмесячного горизонта
инвестирования выглядят следующим образом:
Таблица 9: Оптимальные портфели по CVaR для квартала
№ п. п.
ПИФ
Портфель максимального коэффициента Шарпа
Портфель минимального риска
1
Альфа-Капитал Резерв
4,885%
0,013%
2
УРАЛСИБ Первый
1,157%
5,657%
3
Сбербанк - Фонд облигаций Илья Муромец
1,621%
1,046%
4
Райффайзен - Облигации
10,535%
0,359%
5
Альфа-Капитал Стратегические инвестиции
1,259%
8,400%
6
Сбербанк - Потребительский сектор
2,810%
5,398%
7
Райффайзен - США
10,589%
1,221%
8
Империя
6,532%
6,893%
9
Сбербанк - Еврооблигации
1,832%
0,551%
10
Газпромбанк - Облигации плюс
58,779%
70,462%
Наибольшие удельные веса в обоих портфелях занимает
"Газпромбанк - Облигации плюс" по 59% и 70% соответственно.
Данные веса, особенно в портфеле минимального риска, могут
быть объяснены низкими значениями корреляции ПИФа, что дает высокий эффект
диверсификации портфеля.
Вышеприведенные портфели обладают следующими показателями на
обучающей выборке данных:
Таблица 10: Характеристики оптимальных портфелей по CVaR для
квартала
Портфель
Доходность
CVaR
VaR
Модифицированный Коэффициент Шарпа
Минимального риска
3,3349%
2,2433%
1,810%
0,4532712
Максимального значения коэффициента Шарпа
4,6471%
2,8284%
2,0959%
0,8234127
Оптимальный портфель по коэффициенту Шарпа обладает как более
высокой доходностью (4,65% против 3,33%), так и более высоким риском (значения
CVaR и VaR равны 2,83% и 2,1% против 2,24% и 1,8% соответственно) по сравнению
с портфелем минимального риска.
Оптимальные портфели для полугодового горизонта
инвестирования выглядят следующим образом:
Таблица 11: Оптимальные портфели по CVaR для полугодия
№ п. п.
ПИФ
Портфель максимального коэффициента Шарпа
Портфель минимального риска
1
Альфа-Капитал Резерв
4,885%
4,885%
2
УРАЛСИБ Первый
1,157%
1,157%
3
Сбербанк - Фонд облигаций Илья Муромец
1,621%
1,621%
4
Райффайзен - Облигации
10,535%
10,535%
5
Альфа-Капитал Стратегические инвестиции
1,259%
1,259%
6
Сбербанк - Потребительский сектор
2,810%
2,810%
7
Райффайзен - США
10,589%
10,589%
8
Империя
6,532%
6,532%
9
Сбербанк - Еврооблигации
1,832%
1,832%
10
Газпромбанк - Облигации плюс
58,779%
58,779%
Как мы можем наблюдать, мы получили одинаковые портфели, как
для целей минимизации риска, так и для целей максимизации модифицированного
коэффициента Шарпа. Кроме того, данные портфели совпадают с оптимальным
портфелем коэффициента Шарпа для квартальных данных. Это говорит нам о том, что
данный портфель обладает привлекательными характеристиками для инвестора, как
на разных горизонтах инвестирования, так и для разных целевых функций,
описывающих его предпочтения. Полученные результаты, на мой взгляд, связаны с
низкими рисками на данном временном промежутке, что служит также причиной
максимизации коэффициента. Вышеприведенные портфели обладают следующими
характеристиками на обучающей выборке данных:
Таблица 12: Характеристики оптимальных портфелей по CVaR для
полугодия
Портфель
Доходность
CVaR
VaR
Коэффициент Шарпа
Минимального риска
9,3767%
0,8519%
-0,0123%
5,50151767
Максимального значения коэффициента Шарпа
9,3767%
0,8519%
-0,0123%
5,50151767
Здесь стоит отметить, что у портфелей наблюдается очень
высокий показатель доходности, равный 9,37% при достаточно низком уровне риска
(значение VaR отрицательное, что означает положительную доходность).
На основе полученных выше результатов можно сделать следующие
основные выводы по составленным оптимальным портфелям ценных бумаг:
Полученные для каждого периода инвестирования два оптимальных
портфеля - всего 6 портфелей показали достаточно хорошие результаты на
обучающей выборке данных, как с позиции их доходности, так и с позиции цены за
единицу риска.
Наиболее привлекательным объектом инвестиций является ПИФ
"Газпром - Облигации плюс" - его удельный все почти во всех портфелях
превышает 50%, что является очень высоким показателем. Кроме данного ПИФ также
имеют значительные веса в портфелях: "Райффайзен - Облигации",
"Райффайзен - США", "Империя" и "Сбербанк -
Потребительский сектор".
Рассматривая привлекательность инвестиций с позиции категории
фондов можно отметить, что в данном показателе лидируют Фонды облигаций (в
среднем их доля составляет 74,1%). На втором месте идут смешанные фонды акций -
их доля 10,53%, на третьем фонды фондов - 10%, а на четвертом месте - фонды
акций с долей, раной 5,39%.
Для анализа результатов используемого в настоящей работе
метода поиска оптимального портфеля ценных бумаг важным моментом является
сопоставление его с результатами Классической теории, которая является в своем
роде определенным бенчмарком в данной области. Для получения оптимальных
портфелей по Марковицу необходимо оценить ожидаемые доходности и ковариационную
матрицу по историческим данным рассматриваемых ПИФов на основе формул (1), (2),
(3) и (4). Были получены следующие результаты:
Таблица 13: Ожидаемые доходности ПИФов
№ п. п.
ПИФ
Ожидаемая дневная доходность
СКО
1 0,02802%
0,486924%
2
УРАЛСИБ Первый
-0,00839%
1,139826%
3
Сбербанк - Фонд облигаций Илья Муромец
0,00421%
0,528004%
4
Райффайзен - Облигации
0.02293%
0,412216%
5
Альфа-Капитал Стратегические инвестиции
0.01217%
0,502013%
6
Сбербанк - Потребительский сектор
0.08588%
1,302492%
7
Райффайзен - США
0.16401%
1,662932%
8
Империя
0.05622%
0,79708%
9
Сбербанк - Еврооблигации
0.10699%
1,58453%
10
Газпромбанк - Облигации плюс
0.03421%
0,18886%
Все рассматриваемые ПИФы имеют положительную ожидаемую
доходность за исключением "УРАЛСИБ Первый". Наибольшее значение
наблюдается у "Райффайзен - США" и составляет 0,16% или 79,24% в
годовом выражении. Наименьшим риском обладает "Газпромбанк - Облигации
плюс", который равен 0,18886%.
Корреляционная матрица выглядит следующим образом:
Таблица 14: Корреляционная матрица
1
2
3
4
5
6
7
8
9
10
1
1,00
0,44
0,26
0,45
0,38
0,53
0,54
0,68
0,65
0,26
2
0,44
1,00
0,23
0,21
0,43
0,59
0,33
0,41
0,38
0,14
3
0,26
0,23
1,00
0,26
0,18
0,15
-0,02
0,07
0,03
0,39
4
0,45
0,21
0,26
1,00
0,30
0,28
0,27
0,34
0,32
0,50
5
0,38
0,43
0,18
0,30
1,00
0,32
0,27
0,34
0,36
0,25
6
0,53
0,59
0,15
0,28
0,32
1,00
0,57
0,64
0,63
0,04
7
0,54
0,33
-0,02
0,27
0,27
0,57
1,00
0,84
0,88
-0,02
8
0,68
0,41
0,07
0,34
0,34
0,64
0,84
1,00
0,90
0,05
9
0,65
0,38
0,03
0,32
0,36
0,63
0,88
0,90
1,00
0,03
10
0,26
0,14
0,39
0,50
0,25
0,04
-0,02
0,05
0,03
1,00
Как мы можем увидеть, значение коэффициентов корреляции в
целом достаточно низкие, что открывает возможности для диверсификации портфеля
ценных бумаг и снижения его общего риска. Наибольшее значение коэффициента у
ПИФов "Империя" и "Сбербанк - Еврооблигации", которое равно
0,9. Наименьшее - у "Сбербанк - Фонд облигаций Илья Муромец" и
"Райффайзен - США", а также у "Газпромбанк - Облигации
плюс" и "Райффайзен - США" (оно равно - 0,2).
Используя смоделированное множество портфелей, мы можем
построить достижимое множество по Марковицу по аналогии с пунктом 2.2, однако в
качестве меры риска будет выступать Дисперсия, а не CVaR. Полученное множество
является выпуклым и имеет стандартную классическую форму.
Рисунок 12: Достижимое множество по Марковицу
На основе построенного достижимого множества мы можем найти
два оптимальных портфеля: портфель с максимальным значением коэффициента Шарпа
и портфель минимального риска, которому соответствует крайняя левая точка
представленного множества. Из-за малого объема выборки мы не будем находить
оптимальные портфели по Марковицу на основе месячных, квартальных и полугодовых
данных, а предположим, что оптимизация для всех рассматриваемых периодов
производится по дневным данным. Для расчета коэффициента Шарпа воспользуемся
эффективной дневной безрисковой ставкой по аналогии с предыдущим пунктом:
Эффективные портфели выглядят следующим образом:
Таблица 15: Оптимальные портфели по Марковицу
№ п. п.
ПИФ
Портфель максимального коэффициента Шарпа
Портфель минимального риска
1
Альфа-Капитал Резерв
6,424%
13,804%
2
УРАЛСИБ Первый
0,588%
6,435%
3
Сбербанк - Фонд облигаций Илья Муромец
4,658%
7,170%
4
Райффайзен - Облигации
0,755%
5,718%
5
Альфа-Капитал Стратегические инвестиции
0,950%
1,602%
6
Сбербанк - Потребительский сектор
0, 199%
0,972%
7
Райффайзен - США
54,038%
1,359%
8
Империя
2,571%
0,702%
9
Сбербанк - Еврооблигации
2,374%
1,648%
10
Газпромбанк - Облигации плюс
27,443%
60,590%
Портфель минимального риска является более
диверсифицированным по сравнению с портфелем максимального коэффициента Шарпа -
число ПИФ с долей менее 1% у него два против четырех у последнего. Наибольший
удельный веса портфеле минимального риска занимает "Газпромбанк -
Облигации плюс" - 61%, в то время как у второго портфеля это
"Райффайзен - США" с долей 54% соответственно. Данные портфели
обладают следующими характеристиками на обучающей выборке данных:
Таблица 16: Характеристики оптимальных портфелей по Марковицу
Портфель
Доходность
Риск
Коэффициент Шарпа
Минимального риска
0,0311%
0,2519%
0,0223018
Максимального значения коэффициента Шарпа
0,1044%
0,9750%
0,08096282
После того как мы получили набор весов каждого ПИФ для
каждого оптимального портфеля, необходимо проверить результаты (доходность и
риск) на контрольных данных. Для этого необходимо посчитать фактически
реализованную доходность и риск каждого сформированного портфеля по формулам
(1) и (3). После чего мы сможем рассчитать коэффициент Шарпа по каждому такому
портфелю, используя безрисковую ставку доходности по аналогии с пунктом 2.2
Основывая свои предпочтения на данном коэффициенте, мы сможем выявить какой
подход дает более хорошие результаты на различных временных интервалах и есть
ли смысл использовать подход отличный от классического. Поскольку в
предложенном в настоящей работе подходе в качестве меры риска используется не
СКО, а CVaR становится невозможным сравнение сформированных оптимальных
портфелей. Для устранения этого недостатка в качестве меры риска для сравнения
будем использовать стандартный показатель среднеквадратического отклонения и на
его основе рассчитывать коэффициенты Шарпа. Для данных расчетов необходимо
привести полученное СКО к месячному, квартальному и полугодовому значению на
основе следующих формул:
Таким образом, нам необходимо будет сравнить по два
оптимальных портфеля (портфель минимального риска и портфель максимального
коэффициента Шарпа) на трех горизонтах инвестирования (месяц, квартал и
полугодие).
Таблица 17: Сравнение портфелей на месячных данных
Портфели по Марковицу
Портфели по CVaR
Портфель минимального риска
Портфель максимального коэффициента Шарпа
Портфель минимального риска
Портфель максимального коэффициента Шарпа
Доходность
2,3231%
4,7676%
2,7004%
3,5299%
Риск (СКО)
0,7581%
4,6466%
0,8749%
2,9989%
Коэффициент Шарпа
2,052712
0,861008
2,210138
0,921371
Как мы можем увидеть из вышеприведенной таблицы, портфель
минимального риска по CVaR показал лучший результат (Коэффициент Шарпа равен
2,21 против 2,05 у подхода Марковица). Это обусловлено его высокой доходностью,
в то время как по риску он оказался несколько хуже. Портфель, основанный на
максимизации коэффициента Шарпа по CVaR, также, опередил аналогичный портфель
по Марковицу (Коэффициент Шарпа равен 0,86 против 0,92). Это в свою очередь
связано с достаточно высоким риском последнего (почти в полтора раза больше), в
то время как по показателю доходности он был значительно лучше (на 1,2%). Кроме
того стоит отметить, что портфели минимального риска значительно обошли по
своим показателям портфели максимального коэффициента для обоих сравниваемых
подходов. Исходя из полученных результатов, если инвестор предполагает
производить инвестиции на небольшой срок (до одного месяца), то предлагаемый в
настоящей работе подход даст результаты, лучше классического подхода.
Таблица 18: Сравнение портфелей на квартальных данных
Портфели по Марковицу
Портфели по CVaR
Портфель минимального риска
Портфель максимального коэффициента Шарпа
Портфель минимального риска
Портфель максимального коэффициента Шарпа
Доходность
9,5448%
-4,9249%
8,4167%
6,3705%
Риск (СКО)
2,1284%
11,4164%
2,5117%
3,6424%
Коэффициент Шарпа
3,395409
-0,63444
2,428053
1,112543
Как мы можем увидеть из вышеприведенной таблицы, портфель
минимального риска по CVaR показал результат немного хуже классического подхода
(Коэффициент Шарпа равен 3,4 против 2,43), что обусловлено в первую очередь его
более высокой доходностью и в меньшей степени более низким риском. Портфель,
основанный на максимизации коэффициента Шарпа по методу Марковица, значительно
уступил аналогичному портфелю на основе CVaR (Коэффициент Шарпа равен 1,11
против - 0,63). Это в свою очередь связано с его отрицательной доходностью и
более высоким показателем риска. Кроме того стоит отметить, что, как и для
месячных данных, портфели минимального риска значительно обошли по своим
показателям портфели максимального коэффициента для обоих сравниваемых
подходов. Исходя из полученных результатов, инвестору необходимо использовать
предложенный подход, если свои предпочтения он основывает на коэффициенте Шарпа
и его горизонт инвестирования равен кварталу.
Таблица 19: Сравнение портфелей на полугодовых данных
Портфели по Марковицу
Портфели по CVaR
Портфель минимального риска
Портфель максимального коэффициента Шарпа
Портфель минимального риска
Портфель максимального коэффициента Шарпа
Доходность
19,1071%
79,0667%
33,1504%
33,1504%
Риск (СКО)
3,3762%
13,0822%
4,6267%
4,6267%
Коэффициент Шарпа
4,27017
5,685317
6,15132
6,15132
Как портфель минимального риска, так и портфель максимального
коэффициента Шарпа по CVaR показал результаты лучше, чем у классического
подхода (Их коэффициенты Шарпа равны 6,15 против 4,27 и 6,15 против 5,68
соответственно). Это обстоятельство обусловлено для портфелей минимального
риска более высокой доходностью, хотя риск также немного больше. Для портфелей,
основанных на максимизации коэффициента Шарпа, это связано с их сильным
различием в риске (более чем в 3 раза). В отличие от результатов, полученных на
месячных и квартальных данных, портфели минимального риска не были лучше
портфелей максимального коэффициента для обоих сравниваемых подходов (для
предложенного подхода на основе CVaR их результаты совпали). Исходя из
полученных результатов, инвестору необходимо использовать предложенный подход,
если свои предпочтения он основывает или на коэффициенте Шарпа или на условии
минимизации риска и его горизонт инвестирования равен полугодию.
Таким образом, на основе полученных результатов можно сделать
следующие основные выводы:
Метод, основанный на применении в качестве меры риска CVaR,
необходимо использовать в следующих случаях:
если инвестор предполагает производить инвестиции на
небольшой срок (до одного месяца)
если свои предпочтения инвестор основывает на коэффициенте
Шарпа и его горизонт инвестирования равен кварталу
если горизонт вложения финансовых ресурсов для инвестора
равен полугодию
Предлагаемый в настоящей работе метод оптимизации портфеля
ценных бумаг продемонстрировал достаточно хорошие результаты, как в абсолютном,
так и в относительном выражении. Во-первых, он показал на всех трех
рассматриваемых горизонтах инвестирования положительную высокую доходность (в
среднем около 45% в годовом выражении). Во-вторых, сравнивая результаты с
классическим методом Марковица, можно сказать, что последний уступил - он был
лучше только в одном случае из шести, причем различия в результатах были не
существенные. На мой взгляд, это связано в первую очередь с тем фактом, что
доходности рассматриваемых ценных бумаг не распределены по нормальному закону и
из-за этого метод Марковица показывает результаты хуже.
Наиболее привлекательным горизонтом инвестирования для
инвестора является полугодие, поскольку для всех видов оптимальных портфелей и
подходов к оптимизации коэффициенты Шарпа для этого периода значительно выше.
Это обусловлено наличием положительного долгосрочного тренда в динамике цен
паев, а также снижением показателя волатильности.
Сравнивая два вида оптимальных портфелей, рассмотренных в
работе, можно сказать, что портфель минимального риска на выбранных данных
оказался гораздо привлекательнее как объект инвестиций, чем портфель
максимального коэффициента Шарпа. Это связано, на мой взгляд, с тем, что хоть и
доходность не входит в целевую функцию данных портфелей, однако минимизация
риска более важна из-за наличия положительного возрастающего тренда в ценах
паев.
Целью настоящей работы являлось получение оптимального
портфеля ценных бумаг на основе CVaR с использованием копула-функций для оценки
многомерного распределения на примере российского рынка открытых ПИФов. Для
данной цели были проделаны два последовательных этапа: изучение теоретических
аспектов данного направления исследований и практическое построение оптимальных
портфелей ценных бумаг на их основе.
Классическая теория управления портфелем ценных бумаг,
предложенная Гарри Марковицем в 1950-х годах, хотя и является основой данного
направления в финансовой науке, но имеет много недостатков, главный из которых
- Нормальность распределения доходностей ценных бумаг. В связи с этим в 90-е
годы прошлого века появилась концепция VAR (Value-at-Risk). VaR - это
показатель риска, который показывает, какую максимальную сумму денег может
потерять портфель инвестора в течение определенного периода времени с заданной
доверительной вероятностью. Однако, у VaR существует, в свою очередь, тоже ряд
недостатков как меры риска, главный из которых - отсутствие когерентности. Для
преодоления данного недостатка RockfellerandUryasev предложили альтернативную
меру риска - ConditionalValue-at-Risk (CVaR). CVaR как мера риска очень тесно
связан с показателем VaR, поскольку представляет собой условное математическое
ожидание потерь при условии, что их величина оказалась больше значения VaR.
Каждый инвестор стремиться получить как можно большую
доходность при заданном уровне риска и как можно меньший риск при заданном
уровне доходности. Как следствие возникает задача поиска оптимального портфеля
ценных бумаг при заданной целевой функции полезности инвестора. В качестве
такой функции может выступать условие минимизации риска, максимизации
доходности или, например, один из коэффициентов эффективности: Коэффициент
Шарпа, Коэффициент Модильяни, Коэффициент Трейнора, Альфа Йенсена, Коэффициент
Сортино, Коэффициент Омега.
Поскольку портфель ценных бумаг включает в свой состав достаточно
большое число инструментов, то их совместное распределение описывается
многомерным законом. Таким образом, перед нами встает задача смоделировать
структуру зависимости между различными переменными, которые могут иметь разные
частные распределения. Одним из лучших инструментов для решения данной задачи
являются копула-функции. Основу данной теории составляет теорема Склара,
сформулированная в 1959 году. Ее основным следствием является то, что можно
связывать вместе любые Для проведения исследования были выбраны десять ПИФов с наибольшей
стоимостью чистых активов (СЧА) по состоянию на 29.02.2016г. В число таких
фондов вошли два фонда акций, два смешанных фонда, один фонд фондов и пять
фондов облигаций. Анализ исследуемых ценных бумаг включает в себя проведение
двух последовательных этапов:
Тестирование данных на "нормальность"
По результатам проведенного теста можно сделать вывод, что ни одна
бумага с доверительной вероятностью 95% не может считаться распределенной по
нормальному закону. Из этого следует, что применение классической теории
Марковица с предположением о нормальности распределения доходностей ценных
бумаг может дать плохие результаты и привести к выбору далеко не оптимального
портфеля ценных бумаг.
Проверка "толщины хвостов"
В данной работе было использовано ядро Гаусса с фиксированной
шириной интервала В данной работе было построено два вида оптимальных портфелей
ценных бумаг: портфель минимального риска и портфель максимального
модифицированного коэффициента Шарпа на трех различных временных интервалах:
месяц, квартал и полугодие. Предлагаемый метод получения оптимальных портфелей
был применен к обучающей выборке и включает в себя три основных этапа:
) Моделирование множества портфелей
Для целей построения достижимого портфельного множества и
определения эффективной границы необходимо рассмотреть всевозможные портфели,
т.е. перебрать все комбинации весов активов. Главной задачей на данном этапе
является формирование как можно более полного и всеобъемлющего набора весов для
чего в данной работе был использован метод Случайных портфелей, который показал
очень хорошие результаты.
) Создание параметрических копула функций и выбор оптимальных из
них.
Было использовано четыре наиболее популярных и часто используемых
на практике копула-функции: Нормальная копула, копула Стьюдента, копула Гумбеля
и копула Клейтона. На основе критерия Акаике (AIC) лучшей копулой является
копула Стьюдента.
) Расчет оптимальных портфелей на основе CVaR
Используя созданные копулы на предыдущем шаге мы получили
многомерное распределение доходности рассматриваемых ПИФ и на его основе была
рассчитана кумулятивная (месячная, квартальная и полугодовая) доходность
сначала для каждой ценной бумаги, а потом по каждому сгенерированному портфелю.
Отсюда мы нашли ожидаемое значение доходности и CVaR по каждому портфелю ценных
бумаг и построили Достижимое множество для каждого периода инвестирования, на
основе которых и были найдены необходимые оптимальные портфели. Полученные для
каждого из трех периодов инвестирования два оптимальных портфеля (всего 6
портфелей) показали достаточно хорошие результаты на обучающей выборке данных,
как с позиции их доходности, так и с позиции цены за единицу риска. Наиболее
привлекательным объектом инвестиций является ПИФ "Газпром - Облигации
плюс" - его удельный все почти во всех портфелях превышает 50%. Кроме данного
ПИФ также имеют значительные веса в портфелях: "Райффайзен -
Облигации", "Райффайзен - США", "Империя" и
"Сбербанк - Потребительский сектор". На первом месте по
распространенности Фонды облигаций со средней долей 74,1%, на втором месте идут
смешанные фонды - их доля 10,53%, на третьем фонды фондов - 10%, а на четвертом
месте - фонды акций с долей, раной 5,39%.
Для анализа результатов используемого в настоящей работе метода
поиска оптимального портфеля ценных бумаг важным моментом является сопоставление
его с результатами Классической теории, которая выступает в своем роде
определенным бенчмарком в данной области. После того как мы получили набор
весов каждого ПИФ для каждого оптимального портфеля, были проверены результаты
(доходность и риск) на контрольных данных. Для этого необходимо было посчитать
фактически реализованную доходность и риск каждого сформированного портфеля по
формулам (1) и (3). После чего необходимо рассчитать коэффициент Шарпа по
каждому такому портфелю, используя безрисковую ставку доходности. Основывая
свои предпочтения на данном коэффициенте, мы смогли выявить какой подход дает
более хорошие результаты на различных временных интервалах и есть ли вообще
смысл использовать подход отличный от классического.
На месячных данных портфель минимального риска по CVaRопередил
портфель Марковица, что обусловлено его высокой доходностью, в то время как по
риску он оказался несколько хуже. Портфель, основанный на максимизации
коэффициента Шарпа по CVaR, также, опередил аналогичный портфель по Марковицу,
что в свою очередь связано с достаточно высоким риском последнего, в то время
как по показателю доходности он был значительно лучше.
На квартальных данных портфель минимального риска по CVaR показал
результат немного хуже классического подхода из-за его более высокой доходности
и немного в меньшей степени более низким риском. Портфель, основанный на
максимизации коэффициента Шарпа по методу Марковица, значительно уступил
аналогичному портфелю на основе CVaR, что связано с его отрицательной доходностью
и более высоким показателем риска.
На полугодовых данных, как портфель минимального риска, так и
портфель максимального коэффициента Шарпа по CVaR показал результаты лучше, чем
у классического подхода. Это обстоятельство обусловлено для портфелей минимального
риска более высокой доходностью, хотя риск также немного больше. Для портфелей,
основанных на максимизации коэффициента Шарпа, это связано с их сильным
различием в риске.
Предложенный метод оптимизации портфеля ценных бумаг необходимо
использовать, если инвестор предполагает производить инвестиции на небольшой
срок (до одного месяца), если свои предпочтения инвестор основывает на
коэффициенте Шарпа и его горизонт инвестирования равен кварталу, а также, если
горизонт вложения финансовых ресурсов для инвестора равен полугодию. Он
продемонстрировал достаточно хорошие результаты, как в абсолютном, так и в
относительном выражении. Во-первых, на всех трех рассматриваемых горизонтах
инвестирования наблюдалась положительная высокая доходность (в среднем около
45% в годовом выражении). Во-вторых, сравнивая результаты с классическим
методом Марковица, можно сказать, что последний уступил - он был лучше только в
одном случае из шести, причем различия в результатах были не существенные. На
мой взгляд, это связано в первую очередь с тем фактом, что доходности
рассматриваемых ценных бумаг не распределены по нормальному закону и из-за
этого метод Марковица показывает результаты хуже. Из-за наличия положительного
долгосрочного тренда в динамике цен рассматриваемых паев и снижения
волатильности, наиболее привлекательным горизонтом инвестирования для инвестора
является полугодие, поскольку для всех видов оптимальных портфелей и подходов к
оптимизации коэффициенты Шарпа для этого периода значительно выше.
Сравнивая два вида оптимальных портфелей, рассмотренных в работе,
можно сказать, что портфель минимального риска на выбранных данных оказался
гораздо привлекательнее как объект инвестиций, чем портфель максимального
коэффициента Шарпа. Это связано, на мой взгляд, с тем, что хоть и доходность не
входит в целевую функцию данных портфелей, однако минимизация риска более важна
из-за наличия положительного возрастающего тренда в ценах паев. Поэтому
инвестору в качестве целевой функции необходимо выбирать именно минимум риска.
Таким образом, поставленная цель и соответствующие ей задачи были
достигнуты в полной мере, а предложенный в настоящей работе метод оптимизации
портфеля ценных бумаг показал очень хорошие результаты на использованной
выборке данным и может быть использован инвесторами для принятия решений о
вложении своих финансовых ресурсов в портфель ценных бумаг.
1. Ang
A., Chen J. (2002). Asymmetric correlations of equity portfolios. Journal of Financial Economics, 63
(3), 443 - 494.
2. Artzner
P., Delbaen F., Eber J. - M., Heath D. Coherent Measures of Risk. //
Mathematical Finance. 1999.
Vol.9. No.3. P. 203-228.
3. Autchariyapanitkul
K., Chanaim S., Sriboonchitta S. Portfolio optimization of stock returns in
high-dimensions: A copula-based approach. Proceedings of the Proceedings of the
18th International Academic Conference, Sep 2015, pages 698-709
. Basak
S, Shapiro A. Value-at-risk based risk management: optimal policies and asset
prices. Review of
Financial Studies 2001; 14: 371-405.
5. Breymann
W., Dias A., Embrechts P. (2003). Dependence structures for multivariate high-frequency
data in finance. Quantitative
Finance, 3, 1 - 14.
6. Cai
ZW, Wang X. Nonparametric estimation of conditional VaR and expected shortfall.
Journal of Econometrics
2008; 147: 120-30.
7. Chen
F.Y. Analytical VaR for international portfolios with common jumps.computers
and Mathematics with Applications 2011; 62: 3066-76.
. Chen
SX. Nonparametric estimation of expected shortfall. Journal of Financial Econometrics 2008;
6 (1): 87-107.
9. Claro
J, Pinho de Sousa J. A multiobjective metaheuristic for a mean-risk multistage
capacity investment problem with process flexibility.computers and Operations
Research 2012; 39: 838-49.
10. Embrechts
P., McNeil A.J., Straumann D. (1999). Correlation and dependency in risk management:
Properties and pitfalls. Working paper, Department of Mathematik, ETHZ, Zurich.
(Now in M. A. H. Dempster (ed.) (2002), Risk Management: Value at Risk and
Beyond, 176 - 223. Cambridge: Cambridge University Press).
. Erb
C., Harvey C., Viskanta T. (1994). Forecasting international equity
correlations. Financial Analysts Journal, 50, 32 - 45.
. Fantazzini
D. (2009а). A dynamic grouped T
copula approach for market risk management. In: G. Gregoriou (ed.), A VaR
Implementation Handbook, 253 - 282, McGraw-Hill: New York.
. Fantazzini
D. (2009б). The effects of
misspecified marginals and copulas on computing the value at risk: A Monte
Carlo study.computational Statistics and Data Analysis, 53 (6), 2168 - 2188.
. Fantazzini
D. (2010). Three-stage semi-parametric estimation of T-copulas: Asymptotics,
finite-sample properties and computational aspects.computational Statistics and
Data Analysis, forthcoming.
. Fermanian
J., Scaillet O. (2003). Nonparametric estimation of copulas for time series. Journal of Risk, 5, 25 - 54.
16. Frees
E.W., Valdez E. (1998). Understanding relationship using copulas. North
American Actuarial Journal, 2, 1 - 25.
. Genest
C., Favre A.C. (2007). Everything you always wanted to know about copula
modeling but were afraid to ask. Journal of Hydrologic Engineering, 12 (4), 347 - 368.
18. Genest
C., Ghoudi K., Rivest L.P. (1995). A semiparametric estimation procedure of
dependence parameters in multivariate families of distribution. Biometrika, 82 (3), 543 - 552. 20. Haixiang,
ZhongfeiLi, YongzengLai Mean-CVaR portfolio selection: A nonparametric
estimation framework.computers & Operations Research 2012; 40: 1014-1022.
. Hennessy
D., Lapan H. (2002): The Use of Archimedean Copulas to Model Portfolio
Allocations // Mathematical Finance. № 12. P.143-154.
22. Hoeffding
D. (1940). Masstabinvariante Korrelationstheorie. Schriften des Mathematischen
Seminars und des Instituts fur Angewandte Mathematik der Universität, 5, 181 - 233.
23. Huang
D.S., Zhu S.S., Fabozzi F.J., Fukushima M. Portfolio selection with uncertain
exit time: a robust CVaR approach. Journal of Economic Dynamics and Control 2008; 32: 594-623.
24. Iakovos
Kakouris, Berç Rustem. Robust portfolio
optimization with copulas European Journal of Operational Research 235 (1):
28-37 2014
. John
M.M., Hafize G.E. Applying CVaR for decentralized risk management of financial
companies. Journal of
Banking and Finance 2006; 30: 627-44.
26. Jondeau
E., Rockinger M. (2003). Conditional volatility, skewness, and kurtosis:
existence, persistence, and comovements. Journal of Economic Dynamics and Control, 27, 1699 - 1737.
27. Keating
C. and Shadwick W.F., "A Universal Performance Measure”, Journal of
Performance Measurement, vol.6, 2002.
. Lauprete
G.J., Samarov A.M., Welsch R.E. Robust portfolio optimization. Metrica 2002.55: 139-149.
29. Li
Q, Racine JS. Nonparametric Econometrics: Theory and Practice. Princeton University Press; 2007.
30. Longin
F., Solnik B. (2001). Extreme correlation of international equity markets. Journal of Finance, 56 (2), 649 -
676.
31. Manying
Bai and Lujie Sun. Application of copula and copula-CVaR in the Multivariate
Portfolio Optimization. 2007
P.108-116
32. Markowitz
H. Portfolio selection. Journal of Finance 1952; 7 (1): 77-91.
. Modigliani
F. and Modigliani L., "Risk-Adjusted Performance”, Journal of Portfolio
Management, winter 1997, pp.45-54.
. Morgan
J.P. Risk Metrics T.M.: Technical Document, 4th ed. New York: Morgan Guaranty
Trust Company; 1996.
35. Myles
Hollander, Douglas A. Wolfe. Nonparametric Statistical Methods. - New York: John Wiley
& Sons, 1973. - 503 с.
. Nelson,
R.B., An Introduction to Copulas, New York: Springer, 1999.
. Patton
A. (2004). On the out-of-sample importance of skewness and asymmetric
dependence for asset allocation. Journal of Financial Econometrics, 2 (1), 130 - 168.
38. Patton
A. (2006а). Estimation of copula
models for time series of possibly different lengths. Journal of Applied Econometrics, 21,
147 - 173.
39. Peracchi
F, Tanase AV. On estimating the conditional expected shortfall. Applied Stochastic Models in Business
and Industry 2008; 24 (5): 471-93.
40. Pflug
G. Some remarks on the value-at-risk and the conditional value-at-risk. In:
Uryasev S, editor. Probabilistic Constrained Optimization: Methodology and
Applications. Dordrecht:
Kluwer Academic Publishers; 2000.
41. Pu
Huang, Dharmashankar Subramanian, Jie Xu. An importance sampling method for
portfolio cvar estimation with Gaussian copula models. Proceedings of the 2010 Winter
Simulation Conference P.2790-2800
42. Rockfeller
T, Uryasev S. Conditional value-at-risk for general loss distribution. Journal of Banking and Finance 2002;
26 (7): 1443-71.
43. Rockfeller
T, Uryasev S. Optimization of conditional value-at-risk. Journal of Risk 2000; 2 (3): 21-4.
44. Sawik
T. Selection of a dynamic supply portfolio in make-to-order environ - ment with
risks.computers and Operations Research 2011; 38: 782-96.
. Scaillet
O. Nonparametric estimation and sensitivity analysis of expected shortfall. Mathematical Finance 2004; 14 (1):
115-29.
46. Scaillet
O. Nonparametric estimation of conditional expected shortfall. Insurance and Risk Management Journal
2005; 74: 639-60.
. Sklar
A. (1959). Fonctions de répartition á n dimensions et leurs marges. Publ.
Inst. Statis. Univ. Paris,8, 229 - 231.
48. Sklar
A. (1996). Random variables, distribution functions, and copulas: Personal look
backward and forward. Lecture
notes. Monograph series, 28, 1 - 14.
49. Wang
S. (1998). Aggregation of correlated risk portfolios: Model and algorithms. Proceedings of the Casualty Actuarial
Society, LXV, 848 - 893.
50. William
T.S. Portfolio optimization for VaR, CVaR, Omega and utility with general
return distributions: a Monte-Carlo approach for long-only and bounded short
portfolios with optional robustness and a simplified approach to covariance
matching, University College London 2011
. Xubiao
He, Pu Gong. Measuring the coupled risks: A copula-based CVaR model. Journal of Computational and Applied
Mathematics 2009 P.97-113
52. Yannick
Malevergne, Didier Sornette - Extreme Financial Risks: From Dependence to Risk
Management, 2005 - P.328
. Yau
S, Kwon R.H., Rogers J.S., Wu. D. Financial and operational decisions in the electricity
sector: contract portfolio optimization with the conditional value - at-risk
criterion. International
Journal of Production Economics 2011; 134: 67-77.
54. Yu
K, Allay A, Yang S, Hand DJ. Kernel quantile based estimation of expected
shortfall. The Journal
of Risk 2010; 12 (4): 15-32.
55. Zhu
SS, Fukushima M. Worst-case conditional value-at-risk with application to
robust portfolio management. Operations Research 2009; 57 (5): 1155-68.
. Алексеев
В.В., Шоколов В.В., Соложенцев Е.Д. (2006): Логико-вероятностное моделирование
портфеля ценных бумаг с использованием копул // Управление финансовыми рисками.
№ 3. C.272-283.
. Берзон
Н.И., Дорошин Д.И. Особенности применения показателей эффективности финансовых
инвестиций // Финансы и кредит. 2012 № 4 (494)
. Буренин
А.Н. Управление портфелем ценных бумаг М., Научно-техническое общество имени
академика СИ. Вавилова, 2008, - 440 с.
. Буренин
А.Н. Рынок ценных бумаг и производных финансовых инструментов: Учебное пособие
- М.: 1 Федеративная Книготорговая Компания, 1998. - 352 с.
. Информационный
ресурс Investfunds. Cbonds Group [Электронный ресурс]. - Режим доступа:
http://pif. investfunds.ru/quotes/
. Информационный
ресурс Сайт Банка России [Электронный ресурс]. - Режим доступа:
http://cbr.ru/hd_base/default. aspx?
prtid=gkoofz_mr&pid=finr&sid=GKO_stavki
. Пеникас
Г.И. Модели "копула" в приложении к задачам финансов // Журнал Новой
Экономической Ассоциации. - 2010. - № 7. - с.24 - 44
. Фантаццини
Д. (2011c). Моделирование многомерных распределений с использованием копула -
функций. III. Прикладная эконометрика, 25 (4), 100 - 130.
. Фантаццини
Д. (2011a). Моделирование многомерных распределений с использованием
копула-функций. I. Прикладная эконометрика, 22 (2), 98 - 134.
. Фантаццини
Д. (2011b). Моделирование многомерных распределений с использованием копула -
функций. II. Прикладная эконометрика, 23 (3), 98 - 132.
. Федеральный
закон от 29 ноября 2001 г. N 156-ФЗ "Об инвестиционных фондах" [Глава
III]
. Шарп
У., Александер Г., Бейли Дж. ИНВЕСТИЦИИ: Пер. с англ. - М.: ИНФРА-М, 2001. -
XII, 1028 с.
Приложение 1:
Программный код в среде "Rstudio"
#Загрузкаданных(xlsx)<-read. xlsx ("C:
/Users/Саша/Desktop/пропро. xlsx",sheetIndex=1,header=FALSE)
#исходныеданныеподоходностямПИФ<-Dannie*100#переход к %<-ncol (Dannie)
#количество рассматриваемых бумаг<-Dannie [1: (nrow (Dannie) - 180),] #
Обучающаявыборка<-Dannie [nrow (Dannie) - 179: nrow (Dannie),] #
Контрольнаявыборка<-Obuch<-Kontrol. pif<-c
("Альфа-КапиталРезерв", "УРАЛСИБПервый", "Сбербанк -
ИльяМуромец", "Райффайзен - Облигации",
"Альфа-КапиталСтратег. Инв-ии", "Сбербанк - Потреб.
сектор", "Райффайзен - США", "Империя", "Сбербанк
- Еврооблигации", "Газпромбанк - Облигации плюс")
#Проверка данных на "нормальность". zn<-0.05
#уровень значимости для теста Колмогорова-Смирнова
norm. test. matrix<-matrix (nrow=1,ncol=Q)(i
in 1: Q) {<-ks. test (Dannie [, i], "pnorm", mean = mean (Dannie
[, i]), sd = sd (Dannie [, i])). p. value<-AA$p. value #значения p-value теста. test. matrix
[i] < - znach. p. value
}. norm. raspr<-sum (norm. test. matrix>lvl. zn)
#количество нормально распределенных ценных бумаг
#Построение ядерных оценок функции плотности для
ПИФ(np)<-seq (-7,7,length=10000) #точки для расчета плотности
gr. plotn<-matrix (ncol=Q,nrow=10000)().
par<-par (mfrow = c (2,5))(i in 1: Q) {. dat<-Dannie [, i]. plot < -
npudens (tdat=y. dat,
edat=x,ckertype="gaussian",bwtype="fixed") #плотностьпокаждойценнойбумаге: ядроГаусса, интервалфиксированный. plotn [, i]
<-yad. plot$dens(x, gr. plotn [, i], type="l", main=names. pif
[i],xlab="доходность",ylab="плотность") #графикплотности(x,dnorm
(x,mean=mean (Dannie [, i]),sd=sd (Dannie [, i])),lty="dashed",
col="red") #графикнормальногораспределения
}
#Переход к кумулятивной функции
распределения(copula)<-pobs (A) #эмпирическая кумулятивная функция
распределения по каждой бумаге
#Создание копул. cop< - normalCopula
(dim=Q,dispstr="ex") #нормальная копула. cop< - tCopula (dim=
Q,dispstr="ex") #копула Стьюдента. cop< - gumbelCopula (dim=
Q,param=2) #копула Гумбеля
clay. cop< - claytonCopula (dim= Q,param=2) #копула Клейтона
#Подгонкакопул. fit < - fitCopula (cdf,copula=norm. cop).
fit < - fitCopula (cdf,copula=stud. cop). fit < - fitCopula
(cdf,copula=gumb. cop). fit < - fitCopula (cdf,copula=clay. cop)
#Выбор оптимальной копулы
norm. fit@loglik <mailto:norm.fit@loglik>
stud. fit@loglik
<mailto:stud.fit@loglik>. fit@loglik <mailto:gumb.fit@loglik>
clay. fit@loglik <mailto:clay.fit@loglik>
#Генерируем множество портфелей<-50000 #количество создаваемых
портфелей<-matrix (ncol=Q,nrow=Z) #создаем Z портфелей для Q активов(jin 1:
Z) {<-c (0,1,runif (n=Q-1, min=0, max=1)) #генерируем равномерные величины
из (0,1)<-t (matrix (sort (p))) #упорядочиваем значения по
возрастанию<-ncol (q) #находим число элементов в q<-c (rep (0,times=n-1))
#создаем пустой вектор весов(iin 1: n-1) { #заполняем вектор весов[i] <-q
[i+1] - q [i]
}[j,] <-w # заполняем матрицу портфелей получаем в строчке веса
для всех активов
}
#Моделирование доходностей с многомерным распределением на основе
лучшей копулы<-1000 #количество симуляций. month<-matrix (nrow=NN,ncol=Z)
#матрица для симуляций месячной доходности. kvart<-matrix (nrow=NN,ncol=Z)
#матрица для симуляций квартальной доходности. half<-matrix (nrow=NN,ncol=Z)
#матрица для симуляций полугодовой доходности. month< - matrix
(nrow=NN,ncol=Q) #матрица месячных кумулятивных доходностей по ПИФ. kvart< -
matrix (nrow=NN,ncol=Q) #матрица квартальных кумулятивных доходностей по ПИФ.
half< - matrix (nrow=NN,ncol=Q) #матрица полугодовых кумулятивных доходностей
по ПИФ(ain 1: NN) {<-180 #Количество генерируемых дней. doh. sim< -
rCopula (n=N,copula=stud. fit@copula) #сгенерированные квантили многомерного
распределения<-matrix (nrow=N,ncol=Q) #матрица доходностей
yui.com. month< - matrix
(nrow=1,ncol=Q).com. kvart< - matrix (nrow=1,ncol=Q).com. half< - matrix
(nrow=1,ncol=Q)
for (jin 1: Q) {<-ecdf (A [,j]) #фактическая функция
распределения[,j] <-quantile (hhh,t (cdf. doh. sim [,j])) #заполнение
матрицы доходностей ПИФ.com. month [j] <- (prod (1+yui [1: 30,j] /100) - 1)
*100 #кумулятивная месячная доходность.com. kvart [j] < - (prod (1+yui [1:
90,j] /100) - 1) *100 #кумулятивная квартальная доходность.com. half [j] < -
(prod (1+yui [1: 180,j] /100) - 1) *100 #кумулятивная полугодовая доходность
}
#Считаем CVAR и ожидаемую доходность<-matrix (ncol=Z,nrow=N)
#матрица доходностей портфелей
for (j in 1: Z) {<-0(iin 1: Q) {
ZZ<-ZZ+yui [, i] *Y [j, i] #доходность по каждому портфелю
pir [,j] <-ZZ
}
}. cum. month <-matrix (ncol=Z,nrow=1).
cum. kvart <-matrix (ncol=Z,nrow=1). cum. half <-matrix (ncol=Z,nrow=1)
for (iin 1: Z) {. cum. month [, i] <- (prod ( (pir [1: 30, i]
/100) +1) - 1) *100# Значения кумулятивных доходностей за месяц по каждому
портфелю. cum. kvart [, i] <- (prod ( (pir [1: 90, i] /100) +1) - 1) *100 #
Значения кумулятивных доходностей за 3 месяца по каждому портфелю. cum. half [,
i] <- (prod ( (pir [1: 180, i] /100) +1) - 1) *100 # Значения кумулятивных
доходностей за полугодие по каждому портфелю
}. month [a,] <-doh. cum. month #матрица кумулятивных
доходностей по каждому портфелю для NN симуляций за месяц. kvart [a,] <-doh.
cum. kvart #матрица кумулятивных доходностей по каждому портфелю для NN
симуляций за квартал. half [a,] <-doh. cum. half #матрица кумулятивных
доходностей по каждому портфелю для NN симуляций за полугодие. month [a,] <
- yui.com. month #матрица кумулятивных доходностей по каждому ПИФ для NN
симуляций за месяц. kvart [a,] < - yui.com. kvart #матрица кумулятивных
доходностей по каждому ПИФ для NN симуляций за квартал. half [a,] < - yui.com.
half #матрица кумулятивных доходностей по каждому ПИФ для NN симуляций за
полугодие
}. month <-matrix (ncol=Z,nrow=1).
kvart <-matrix (ncol=Z,nrow=1). half <-matrix (ncol=Z,nrow=1). month
<-matrix (ncol=Z,nrow=1). kvart <-matrix (ncol=Z,nrow=1). half
<-matrix (ncol=Z,nrow=1). month <-matrix (ncol=Z,nrow=1). kvart
<-matrix (ncol=Z,nrow=1). half <-matrix (ncol=Z,nrow=1)
alpha=0.95 #уровень значимости для расчета CVaR и VaR
zn<- (1-alpha) *N(i in 1: Z) {. month
[, i] <-mean (Kol. month [, i]) #значениямесячнойДоходности. kvart [, i] <-mean (Kol. kvart [, i])
#значенияквартальнойДоходности
dohodnost. half [, i] <-mean (Kol. half [, i]) #значения
полугодовой Доходности
olo. month<-sort (Kol. month [, i] *
(-1), decreasing=TRUE). kvart<-sort (Kol. kvart [, i] * (-1),
decreasing=TRUE). half<-sort (Kol. half [, i] * (-1), decreasing=TRUE).
month [i] < - olo. month [zn] # значениямесячного VaR. kvart [i] < - olo. kvart [zn] # значенияквартального VaR
VaR. half [i] < - olo. half [zn] # значения полугодового VaR
CVaR. month [i] <-mean (olo. month [1:
zn]) #значения месячного CVAR. kvart [i] <-mean (olo. kvart [1: zn]) #значения квартального CVAR. half [i] <-mean (olo.
half [1: zn]) #значения полугодового CVAR
}(). par<-par (mfrow = c (1,3))
plot (CVaR. month, dohodnost. month, xlab="Значения
CVaR",ylab="Значения ожидаемой доходности",
main="Достижимое множество месячные данные")(CVaR. kvart, dohodnost.
kvart, xlab="Значения CVaR",ylab="Значения ожидаемой
доходности", main="Достижимое множество квартальные
данные")(CVaR. half, dohodnost. half, xlab="Значения
CVaR",ylab="Значения ожидаемой доходности",
main="Достижимое множество полугодовые данные")
#Поиск оптимального портфеля ценных бумаг modSharpRatio. rate.
day<- ( ( (1+0.096) ^ (1/360)) - 1) *100 #дневная безрисковая ставка
riskfree. rate. month<- ( ( (riskfree.
rate. day/100+1) ^30) - 1) *100#месячная безрисковая ставка. rate. kvart<- ( (
(riskfree. rate. day/100+1) ^90) - 1) *100#квартальная безрисковая ставка. rate. half<- ( ( (riskfree.
rate. day/100+1) ^180) - 1) *100 #полугодовая безрисковая ставка. koef. month<- (dohodnost.
month - riskfree. rate. month) / (CVaR. month) #коэффициент
Шарпа для
CVaR по функции потерь месячные данные.
koef. month<-order (znach. koef. month, decreasing = TRUE)
portf. max. koef. month< - Y [max. koef. month [1],] #веса
ценных бумаг в оптимальном портфеле месячные данные. max. koef. month<-c
(dohodnost. month [max. koef. month [1]], CVaR. month [max. koef. month [1]],
VaR. month [max. koef. month [1]], znach. koef. month [max. koef. month [1]])
#характеристики оптимального портфеля месячные данные(char. max. koef. month)
< - c ("Доходность", "CVaR ","VaR
","Коэффициент"). koef. kvart<- (dohodnost. kvart - riskfree.
rate. kvart) / (CVaR. kvart) #коэффициент Шарпа для CVaR по функции потерь
квартальные данные
max. koef. kvart<-order (znach. koef.
kvart, decreasing = TRUE)
portf. max. koef. kvart< - Y [max. koef. kvart [1],] #веса
ценных бумаг в оптимальном портфеле квартальные данные. max. koef. kvart<-c
(dohodnost. kvart [max. koef. kvart [1]], CVaR. kvart [max. koef. kvart [1]],
VaR. kvart [max. koef. kvart [1]], znach. koef. kvart [max. koef. kvart [1]])
#характеристики оптимального портфеля квартальные данные(char. max. koef. kvart)
< - c ("Доходность", "CVaR ","VaR
","Коэффициент"). koef. half<- (dohodnost. half - riskfree.
rate. half) / (CVaR. half) #коэффициент Шарпа для CVaR по функции потерь
полугодовые данные
max. koef. half<-order (znach. koef.
half, decreasing = TRUE)
portf. max. koef. half< - Y [max. koef. half [1],] #веса ценных
бумаг в оптимальном портфеле полугодовые данные. max. koef. half<-c
(dohodnost. half [max. koef. half [1]], CVaR. half [max. koef. half [1]], VaR.
half [max. koef. half [1]], znach. koef. half [max. koef. half [1]])
#характеристики оптимального портфеля полугодовые данные(char. max. koef. half)
< - c ("Доходность", "CVaR ","VaR
","Коэффициент")
# Портфельминимальногорискапо CVaR. CVaR. month<-order (CVaR. month,
decreasing = FALSE). min. CVaR. month< - Y [min. CVaR. month [1],] #веса ценных бумаг в
портфеле минимального риска месячные данные
char. min. CVaR. month<-c (dohodnost.
month [min. CVaR. month [1]], CVaR. month [min. CVaR. month [1]], VaR. month
[min. CVaR. month [1]], znach. koef. month [min. CVaR. month [1]]) #характеристики портфеля минимального
риска месячные данные(char. min. CVaR. month) < - c ("Доходность",
"CVaR ","VaR ","Коэффициент")
min. CVaR. kvart<-order (CVaR. kvart,
decreasing = FALSE)
portf. min. CVaR. kvart< - Y [min. CVaR. kvart [1],] #веса
ценных бумаг в портфеле минимального риска квартальные данные
char. min. CVaR. kvart<-c (dohodnost. kvart [min. CVaR.
kvart [1]], CVaR. kvart [min. CVaR. kvart [1]], VaR. kvart [min. CVaR. kvart
[1]], znach. koef. kvart [min. CVaR.
kvart [1]]) #характеристики портфеля минимального риска квартальные
данные(char. min. CVaR. kvart) < - c ("Доходность", "CVaR
","VaR ","Коэффициент")
min. CVaR. half<-order (CVaR. half,
decreasing = FALSE). min. CVaR. half< - Y [min. CVaR. half [1],] #веса ценных бумаг в
портфеле минимального риска полугодовые данные
char. min. CVaR. half<-c (dohodnost.
half [min. CVaR. half [1]], CVaR. half [min. CVaR. half [1]], VaR. half [min.
CVaR. half [1]], znach. koef. half [min. CVaR. half [1]]) #характеристики портфеля минимального риска
полугодовые данные(char. min. CVaR. half) < - c ("Доходность",
"CVaR ","VaR ","Коэффициент")
#Достижимое множество портфелей по Марковицу. doh. mark<-matrix
(nrow=1, ncol=Q) #Ожидаемые доходности каждого ПИФ
for (i in 1: Q) {. doh. mark [i] <-mean
(A [, i])
}. mark<-matrix (nrow=1,ncol=Z) #рисккаждогопортфеля. mark<-matrix
(nrow=1,ncol=Z) # доходностькаждогопортфеля
cov. matrix<-cov (A) #Ковариационная матрица ПИФ
for (a in 1: Z) {. mark [a] < - sum
(ogid. doh. mark*Y [a,])<-0(j in 1: Q) {(v in 1: Q) {<-ris+Y [a,j] *Y
[a,v] *cov. matrix [j,v]
}
}. mark [a] <-sqrt (ris)
}()(risk. mark^2, dohodnost. mark*100,
xlab="Рискпортфеля",ylab="Значенияожидаемойдоходности", main="ДостижимоемножествоМарковица")
#Оптимизация портфеля Markovitz на основе SharpRatio. koef.
mark<- (dohodnost. mark - riskfree. rate. day) /risk. mark #коэффициент
Шарпа Марковиц. koef. mark<-order (znach. koef. mark, decreasing = TRUE).
max. koef. mark< - Y [max. koef. mark [1],] #веса ценных бумаг в оптимальном
портфеле месячные данные. max. koef. mark<-c (dohodnost. mark [max. koef.
mark [1]], risk. mark [max. koef. mark [1]], znach. koef. mark [max. koef. mark
[1]]) #характеристики оптимального портфеля месячные данные(char. max. koef.
mark) < - c ("Доходность", "Риск ","Коэффициент")
#Портфель минимального риска по Марковицу. sigma. mark<-order
(risk. mark, decreasing = FALSE). min. sigma. mark< - Y [min. sigma. mark
[1],] #веса ценных бумаг в портфеле минимального риска по Марковицу. min.
sigma. mark<-c (dohodnost. mark [min. sigma. mark [1]], risk. mark [min.
sigma. mark [1]], znach. koef. mark [min. sigma. mark [1]]) #характеристики
портфеля минимального риска по Марковицу(char. min. sigma. mark) < - c
("Доходность", "Риск ","Коэффициент")
#Контрольная выборка, кумулятивные доходности и ковариационные
матрицы
kom. doh. kontr. month<-matrix
(nrow=1,ncol=Q)
kom. doh. kontr. kvart<-matrix (nrow=1,ncol=Q)
kom. doh. kontr. half<-matrix
(nrow=1,ncol=Q)
for (iin 1: Q) {. doh. kontr. month [i] <- (prod (1+B [1: 30,
i] /100) - 1) *100 # месячная кумулятивная доходность по контрольным данным.
doh. kontr. kvart [i] <- (prod (1+B [1: 90, i] /100) - 1) *100 # квартальная
кумулятивная доходность по контрольным данным. doh. kontr. half [i] <- (prod
(1+B [, i] /100) - 1) *100 # полугодовая кумулятивная доходность по контрольным
данным
}. ms. month<-cov (B [1: 30,]) #ковариационная матрица для
месяца по контрольным данным. ms. kvart< - cov (B [1: 90,]) #ковариационная
матрица для квартала по контрольным данным. ms. half< - cov (B)
#ковариационная матрица для полугодия по контрольным данным
#Сравнение оптимальных портфелей. mark. opt. month<-sum (portf.
max. koef. mark*kom. doh. kontr. month) #месячная доходность по портфелю
Марковица. mark. opt. kvart<-sum (portf. max. koef. mark*kom. doh. kontr.
kvart) #месячная доходность по портфелю CVaR. mark. opt. half<-sum (portf.
max. koef. mark*kom. doh. kontr. half) #квартальная доходность по портфелю
Марковица. CVaR. opt. month<-sum (portf. max. koef. month*kom. doh. kontr.
month) #квартальная доходность по портфелю CVaR. CVaR. opt. kvart< - sum
(portf. max. koef. kvart*kom. doh. kontr. kvart) #полугодовая доходность по
портфелю Марковица. CVaR. opt. half< - sum (portf. max. koef. half*kom. doh.
kontr. half) #полугодовая доходность по портфелю CVaR. mark. opt. month<-0. CVaR. opt.
month<-0. mark. opt. kvart<-0. CVaR. opt. kvart<-0. mark. opt.
half<-0. CVaR. opt. half<-0(j in 1: Q) {(v in 1: Q) {. mark. opt.
month< - ris. mark. opt. month + portf. max. koef. mark [j] * portf. max.
koef. mark [v] * cov. ms. month [j,v]. CVaR. opt. month<-ris. CVaR. opt.
month+ portf. max. koef. month [j] * portf. max. koef. month [v] * cov. ms.
month [j,v]. mark. opt. kvart< - ris. mark. opt. kvart+ portf. max. koef.
mark [j] * portf. max. koef. mark [v] * cov. ms. kvart [j,v]. CVaR. opt.
kvart< - ris. CVaR. opt. kvart+ portf. max. koef. kvart [j] * portf. max.
koef. kvart [v] * cov. ms. kvart [j,v]. mark. opt. half< - ris. mark. opt.
half+ portf. max. koef. mark [j] * portf. max. koef. mark [v] * cov. ms. half
[j,v]. CVaR. opt. half< - ris. CVaR. opt. half+ portf. max. koef. half [j] *
portf. max. koef. half [v] * cov. ms. half [j,v]
}
}. mark. opt. month<-sqrt (ris. mark.
opt. month) *sqrt (30) #месячныйрискпопортфелюМарковица. CVaR. opt. month<-sqrt
(ris. CVaR. opt. month) *sqrt (30) #месячныйрискпопортфелю CVaR. mark. opt. kvart<-sqrt (ris. mark. opt. kvart)
*sqrt (90) #квартальныйрискпопортфелюМарковица. CVaR. opt. kvart< - sqrt
(ris. CVaR. opt. kvart) *sqrt (90) #квартальныйрискпопортфелю CVaR. mark. opt. half< - sqrt (ris. mark. opt. half)
*sqrt (180) #полугодовойпопортфелюМарковица. CVaR. opt. half< - sqrt
(ris. CVaR. opt. half) *sqrt (180) #полугодовойрискпопортфелю CVaR
#Сравнениепортфелейсминимальнымриском. mark. min. month<-sum (portf. min.
sigma. mark*kom. doh. kontr. month) #месячнаядоходностьпопортфелюМарковица. mark. min. kvart<-sum (portf. min.
sigma. mark*kom. doh. kontr. kvart) #месячнаядоходностьпопортфелю CVaR. mark. min. half<-sum (portf.
min. sigma. mark*kom. doh. kontr. half) #квартальнаядоходностьпопортфелюМарковица. CVaR. min. month<-sum (portf. min.
CVaR. month*kom. doh. kontr. month) #квартальнаядоходностьпопортфелю CVaR. CVaR. min. kvart< - sum (portf.
min. CVaR. kvart*kom. doh. kontr. kvart) #полугодоваядоходностьпопортфелюМарковица. CVaR. min. half< - sum (portf. min.
CVaR. half*kom. doh. kontr. half) #полугодоваядоходностьпопортфелю CVaR. mark. min. month<-0. CVaR. min.
month<-0. mark. min. kvart<-0. CVaR. min. kvart<-0. mark. min.
half<-0. CVaR. min. half<-0(j in 1: Q) {(v in 1: Q) {. mark. min.
month< - ris. mark. min. month + portf. min. sigma. mark [j] * portf. min.
sigma. mark [v] * cov. ms. month [j,v]. CVaR. min. month<-ris. CVaR. min.
month+ portf. min. CVaR. month [j] * portf. min. CVaR. month [v] * cov. ms.
month [j,v]. mark. min. kvart< - ris. mark. min. kvart + portf. min. sigma.
mark [j] * portf. min. sigma. mark [v] * cov. ms. kvart [j,v]. CVaR. min.
kvart< - ris. CVaR.
min. kvart+ portf. min. CVaR. kvart [j] * portf. min. CVaR. kvart [v] * cov.
ms. kvart [j,v]. mark. min. half< - ris. mark. min. half+ portf. min. sigma.
mark [j] * portf. min. sigma. mark [v] * cov. ms. half [j,v]
ris. CVaR. min. half< - ris. CVaR. min.
half+ portf. min. CVaR. half [j] * portf. min. CVaR. half [v] * cov. ms. half
[j,v]
}
}. mark. min. month<-sqrt (ris. mark.
min. month) *sqrt (30) #месячныйрискпопортфелюМарковица. CVaR. min. month<-sqrt
(ris. CVaR. min. month) *sqrt (30) #месячныйрискпопортфелю CVaR. mark. min. kvart<-sqrt (ris. mark. min. kvart)
*sqrt (90) #квартальныйрискпопортфелюМарковица. CVaR. min. kvart< - sqrt
(ris. CVaR. min. kvart) *sqrt (90) #квартальныйрискпопортфелю CVaR. mark. min. half< - sqrt (ris. mark. min. half)
*sqrt (180) #полугодовойпопортфелюМарковица. CVaR. min. half< - sqrt
(ris. CVaR. min. half) *sqrt (180) #полугодовойрискпопортфелю CVaR
#Результаты. month<-matrix (nrow=3,ncol=4) #итоговая таблица с
месячными данными. kvart<-matrix (nrow=3,ncol=4) #итоговая таблица с
квартальными данными. half<-matrix (nrow=3,ncol=4) #итоговая таблица с полугодовыми
данными
tabl. month [1,] <-c (doh. mark. opt.
month, doh. CVaR. opt. month, doh. mark. min. month, doh. CVaR. min. month).
month [2,] <-c (ris. mark. opt. month, ris. CVaR. opt. month, ris. mark.
min. month, ris. CVaR. min. month). month [3,] < - (tabl. month [1,] -
riskfree. rate. month) / tabl. month [2,]
tabl. kvart [1,] <-c (doh. mark. opt. kvart, doh. CVaR.
opt. kvart, doh. mark. min. kvart, doh. CVaR. min. kvart). kvart [2,] <-c
(ris. mark. opt. kvart, ris. CVaR. opt. kvart, ris. mark. min. kvart, ris.
CVaR. min. kvart)
tabl. kvart [3,] < - (tabl. kvart [1,]
- riskfree. rate. kvart) / tabl. kvart [2,]. half [1,] <-c (doh. mark. opt.
half, doh. CVaR. opt. half, doh. mark. min. half, doh. CVaR. min. half). half
[2,] <-c (ris. mark. opt. half, ris. CVaR. opt. half, ris. mark. min. half,
ris. CVaR. min. half). half [3,] < - (tabl. half [1,] - riskfree. rate.
half) / tabl. half [2,]
![]()
(38)
![]()
- это ![]()
мерная нормальная функция распределения с нулевыми средними
значениями и ковариационной матрицей ![]()
. ![]()
- обратная функция для одномерного стандартного нормального
распределения.
![]()
(39)
![]()
- вектор, компонентами которого являются значения обратной
функции для стандартного одномерного гауссовского распределения в точках ![]()
единичная матрицакопула-функция (копула Стьюдента)
![]()
(40)
![]()
- это ![]()
мерная функция распределения Стьюдента с ковариационной матрицей ![]()
и ![]()
степенями свободы. ![]()
- обратная функция для одномерного распределения Стьюдента. При ![]()
копула функция Стьюдента сходится к нормальной копула-функции.

(41)
![]()
- вектор, компонентами которого являются значения обратной
функции для распределения Стьюдента в точках ![]()
.
![]()
с неотрицательными значениями, определенную при ![]()
и удовлетворяющую условию ![]()
. Определим псевдообратную функцию ![]()
соотношением:
![]()
(42)
![]()
- обычная обратная функция к функции ![]()
.
![]()
определенную как
![]()
, (43)
![]()
и соответствующими диапазонами параметра ![]()
.
![]()
Диапазон параметра ![]()
![]()
(44)
![]()
дважды непрерывно дифференцируем,
![]()
(45)
![]()
и его обратную функцию ![]()
, ее первую и вторую производные, можно получить архимедову
копула-функцию и ее плотность [36 c.7-48; 52, c.99-137; 64, c.100-120].
Глава 2.
Использование копула-функций для оптимизации портфеля ценных бумаг на основе
CVaR по российским ПИФ
2.1 Анализ
данных по выбранным паевым инвестиционным фондам
![]()
(46)
![]()
математическое ожидание (мода, медиана) ![]()
- среднеквадратическое отклонение (СКО).
![]()
- выборка независимых, одинаково распределенных величин, ![]()
эмпирическая функция распределения, ![]()
- истинная функция распределения. Тогда статистика Колмогорова
может быть найдена как:
![]()
(47)
![]()
выборка подчиняется распределению ![]()
![]()
выборка не подчиняется распределению ![]()
![]()
, то ![]()
отвергается и принимается ![]()
. Иначе гипотеза ![]()
принимается на уровне значимости ![]()
- процентная точка распределения Колмогорова [35, c.295-314]. По
результатам проведенного теста были получены следующие значения статистик и
соответствующих им значений p-value:
![]()
p-valueВывод
![]()
для одномерного случайного вектора ![]()
или по-другому оценка Розенблатта-Парзена может быть представлена
в виде:
![]()
(48)
![]()
- ядро (симметричная взвешивающая функция), а ![]()
- ширина окна (параметр сглаживания, зависящий от Т). Таким
образом, представленная оценка очень схожа с гистограммой (в ней индикаторная
функция заменена на ядро), однако она, в свою очередь, позволяет устранить два
существенных недостатка, присущих последней: разрывность и как следствие
недифференцируемость и отсутствие центрирования вокруг точки, в которой
требуется оценить плотность.
![]()
и ширина окна ![]()
должны удовлетворять следующим ограничениям:
![]()
(условие состоятельности, т.е. с ростом выборки смещение
исчезает)
![]()
- положительно
определена
![]()
(симметричность)
![]()
![]()
![]()
![]()
является ключевым аспектом корректного непараметрического
анализа, поскольку именно ширина окна определяет поведение оценки в конечных
выборках. Выбирать величину h следует так, чтобы оценка была как можно ближе к
истинной плотности распределения, т.е. минимизировать разницу между ![]()
и ![]()
.
![]()
из-за его вычислительной простоты и легкой аналитической
интерпретации. В результате были получены следующие оценки для функции
плотности по каждой ценной бумаге:
2.2
Оптимизация портфелей ценных бумаг на основе CVaR
![]()
(49)
![]()
, а CVaR. Предполагается получение оптимальных портфелей с
использованием CVaR в качестве меры риска на трех различных временных
интервалах: месяц, квартал и полугодие. Это позволит получить более полное
представление об эффективности инвестирования на тот или иной срок, а также
выявить различия оптимальных портфелей на разных горизонтах инвестирования. В
качестве безрисковой ставки ![]()
в данной работе была использована ставка по российским ГКО по
состоянию на 1 марта 2016г., которая равна 9,6% годовых.
![]()
активов их веса. Ограничением здесь будет выступать условие ![]()
. Тогда, используя алгоритм метода Случайных портфелей, выполняем
следующие операции:
![]()
равномерно распределенных случайных величин на отрезке ![]()
получая набор ![]()
. Под равномерным распределением понимают - распределение
случайной вещественной величины, принимающей значения, принадлежащие интервалу
[a,b], характеризующееся тем, что плотность вероятности на этом интервале
постоянна и равна:
![]()
, такие что
![]()
и добавляем концы интервала ![]()
в качестве ![]()
![]()
:
![]()
. Выполнив данный алгоритм большое число раз подряд (в данной
работе ![]()
), мы получим необходимое нам портфельное множество. В итоге мы
получим матрицу ![]()
размерности ![]()
, где ![]()
- количество генерируемых портфелей, а ![]()
- количество ценных бумаг.
![]()
- набор доходностей по каждой рассматриваемой ценной бумаге,
тогда соответствующий ему вектор ![]()
из значений кумулятивной функции распределения может быть найден:
![]()
(50)
![]()
соответствует вероятности того, что доходность по данной ценной
бумаге окажется меньше или равна значению ![]()
.
![]()
по каждой ценной бумаге мы генерируем копула-функции и выбираем
лучшую из них на основе критерия Акаике (AIC). Этот метод позволяет выбрать
копула-функцию, которая отвечает наименьшему значению из следующих:
![]()
(51)
![]()
- ![]()
модель копула-функции, ![]()
- плотность для ![]()
; ![]()
- вектор параметров копула-функции ![]()
, ![]()
- число параметров, от которых зависит функция ![]()
. Функция ![]()
в определенном смысле штрафует модели с большим числом
параметров. AIC предполагает, что наиболее адекватная модель находится среди
рассматриваемых моделей [63, c.100-101]. Были получены следующие значения
данного критерия для используемых копула-функций:
![]()
) по каждой ценной бумаге из многомерного распределения для
полугодового, трехмесячного и месячного горизонтов инвестирования
соответственно. В итоге получаем три матрицы ![]()
, имеющие следующий вид:
![]()
(52)
![]()
(53)
![]()
). Непараметрическая оценка CVaR может быть получена следующим
образом:
![]()
, где ![]()
- уровень значимости. Как правило, используют уровни значимости
равные 90%, 95% или 99%. Данный элемент соответствует значению VaR с выбранным
уровнем значимости (в данной работе ![]()
)
![]()
2.3
Тестирование оптимальных портфелей на контрольных данных и анализ полученных
результатов
Заключение
![]()
одномерных функций распределения разного типа (не обязательно из
одного семейства), используя любую копула-функцию, для того чтобы получить
двумерные или многомерные функции распределения. Таким образом, Копула-функции
дают возможность разделить описание распределения случайного вектора на две
части: частные распределения компонент и структура их зависимостей и могут быть
использованы в портфельной теории.
![]()
для построения ядерной функции плотности по каждой ценной бумаге.
На основе полученных оценок можно сделать вывод, что по всем ПИФ наблюдаются
толстые хвосты в левой части, следовательно, вероятность экстремальных
негативных событий выше чем у позитивных и использование симметричных меры
риска - СКО и дисперсии может привести к неправильной оценке истинного риска.
Список
литературы
Приложения