Монотонность: если ![]()
Субаддитивность: ![]()
Отражает свойство диверсификации портфелей, т.е. добавление активов в портфель не должно увеличивать его риск.
Положительная однородность: ![]()
Является предельным случаем свойства субаддитивности, когда выполняется строгое равенство. В реальности свойство 3 может не выполняться, так как риск может зависеть от величины позиции, например, из-за ограничений ликвидности [2, c. 206-218].
В случае, когда доходности инструментов, входящих в портфель не являются нормально распределенными, диверсификация портфеля может увеличить величину VaR, т.е. будет нарушаться свойство субаддитивности. Для преодоления данного недостатка RockfellerandUryasev предложили альтернативную меру риска - ConditionalValue-at-Risk (CVaR). CVaR как мера риска очень тесно связан с показателем VaR поскольку показывает величину средних потерь для данного уровня доверительной вероятности в случае, если убытки превысят значение VaR. Таким образом, показатель средних ожидаемых потерь представляет собой условное математическое ожидание потерь при условии, что их величина оказалась больше значения VaR [42,43].
При вложении капитала в портфель ценных бумаг прибыль или убыток
инвестора зависят от размера капитала, вложенного в каждый финансовый
инструмент и от их будущих цен. Тогда ![]()
будет обозначать функцию потерь, где веса в портфеле заданы вектором
![]()
(![]()
- это портфельное множество), а неопределенности, например,
рыночные цены, - вектором ![]()
Таким образом, вышеприведенная функция является обратной по
отношению к функции прибыли и ее отрицательное значение будет означать
получение инвестором дохода. Для каждого вектора весов ![]()
функция потерь имеет распределение задаваемое вектором ![]()
. Для удобства мы будем предполагать, что распределение данной
функции, в свою очередь, имеет плотность, обозначаемую в дальнейшем как ![]()
. Тогда вероятность, что потери не превысят заданной величины ![]()
, может быть представлена следующим образом:
![]()
(5)
Как функция от ![]()
для фиксированного ![]()
, ![]()
представляет кумулятивную функцию распределения потерь, связанных
с выбором ![]()
. Так с ростом ![]()
функция ![]()
не убывает и предположим также для простоты, что она является
непрерывной.
Значения ![]()
для функции потерь, связанной с вектором ![]()
и с любым уровнем значимости ![]()
обозначим как ![]()
соответственно, тогда:
![]()
(6)
![]()
(7)
В первой формуле ![]()
- это крайняя левая точка непустого интервала, состоящего из
значений ![]()
, для которых вероятность того, что потери не превысят заданной
величины ![]()
равна ![]()
. Во второй формуле вероятность, что убытки превысят значение ![]()
равна ![]()
(это следует из определения вероятности). Таким образом, ![]()
- это условное ожидание потерь больших ![]()
при заданном векторе весов ![]()
. Уровень доверительной вероятности ![]()
зависит от субъективного подхода управляющего портфелем к этому
вопросу (обычно он равен 95% или 99%).
Ключом к оптимизации портфеля ценных бумаг на основе ![]()
выступает представление ![]()
в терминах функции ![]()
на ![]()
:
![]()
(8)
![]()
(9)
Как функция от ![]()
, ![]()
- это выпуклая и непрерывно дифференцируемая функция, а ![]()
, связанный с убытками при заданном ![]()
может быть определен как:
![]()
(10)
В этой формуле набор значений ![]()
, при которых функция достигает своего минимума, обозначим как:
![]()
при ![]()
. (11)
Данный набор является непустым, закрытым и ограниченным интервалом
(может содержать всего лишь одну точку). Тогда ![]()
может быть представлен в виде:
![]()
(12)
Кроме того, всегда выполняется следующее тождество:
![]()
(13)
Таким образом, значение ![]()
всегда принадлежит решению уравнения (11), а ![]()
равен значению функции ![]()
, если ![]()
заменить на ![]()
.
Минимизация значения ![]()
функции потерь по ![]()
эквивалентна минимизации функции ![]()
по всем ![]()
:
![]()
(14)
Рассматриваемая функция в точке ![]()
достигает своего второго минимума тогда и только тогда, когда ![]()
достигает своего первого минимума и ![]()
. В частности, когда ![]()
- это одноточечное множество (на практике как правило так и
бывает), то минимизация функции ![]()
по ![]()
приводит к получению (не обязательно одной) пары ![]()
, где набор ![]()
минимизирует ![]()
, а ![]()
- это значение соответствующего ![]()
[42].
Таким образом, оставшаяся задача для вычисления оптимального
портфеля ценных бумаг, используя подход, основанный на показателе CVaR - оценка
вероятностного распределения функции потерь. Так можно оценить ![]()
при помощи набора ![]()
реализации случайной величины ξ, где ![]()
- это размер выборки. Rockafellar and Uryasev для аппроксимации ![]()
в уравнении (8) предложили следующую формулу [20, c.216-218]:
![]()
(15)
Используя рассмотренные выше меры риска, можно построить
"новое" портфельное множество и найти его эффективную границу,
использую в качестве меры риска не дисперсию как у Марковица, а величину CVaR.
Тогда график будет выглядеть следующим образом:
Рисунок 2: Достижимое множество CVaR
Рациональный инвестор будет стремиться минимизировать риск и увеличить доходность, поэтому всем возможным портфелям, представленным на рис.2, вкладчик предпочтет только те, которые расположены на отрезке ВС, поскольку они являются доминирующими. Чтобы определить эффективную границу, необходимо рассчитать удельные веса активов в портфеле, при которых минимизируется значение его CVaR для каждого данного уровня доходности.
Как было отмечено выше, каждый инвестор стремиться получить как можно большую доходность при заданном уровне риска и как можно меньший риск при заданном уровне доходности (в классической портфельной теории это предпосылки, называемые "ненасыщаемость" и "избегание риска"). Таким образом, рассчитав риск и доходность для двух портфелей ПИФ мы однозначно сможем сделать вывод, что один из них более эффективен чем другой, если доходность у первого по сравнению со вторым будет выше а риск меньше. На практике такие ситуации случаются очень редко, и, зачастую, риск и доходность у одного портфеля высокие, а у другого низкие, что делает невозможным их сравнение на основе только этих двух показателей. Для разрешения такой ситуации было разработано несколько коэффициентов, позволяющих в определенной степени соотнести риск и доходность. Давайте рассмотрим основные из них более подробно.
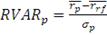
Коэффициент Шарпа (коэффициент "доходность-разброс" или RVAR)
Данный коэффициент был придуман нобелевским лауреатом У. Шарпом и
опубликован в его статье в 1966г. Он учитывает избыточную доходность (т.е.
доходность, полученную сверх безрисковой ставки) и весь риск портфеля (как
рыночный, так и нерыночный или несистематический), выражаемый дисперсией.
![]()
(16)
Где ![]()
-средняя доходность портфеля за период, ![]()
- средняя безрисковая ставка за период, ![]()
- СКО портфеля.
Графически коэффициент Шарпа может быть представлен следующим
образом:
Рисунок 3: Графическая иллюстрация коэффициента Шарпа