Материал: Оптимальное непроизводственное потребления в односекторной модели экономического роста

Внимание! Если размещение файла нарушает Ваши авторские права, то обязательно сообщите нам

 (2.33)

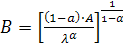
где Y(t) - текущее значение валового внутреннего продукта, а Z(t) = a • X(t) - величина промежуточного продукта.

4.      Величина фонда непроизводственного потребления, исходя из (10.9), находится по формуле:

. (2.34)

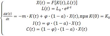
Таким образом, получаем модель Солоу в абсолютных величинах в виде системы уравнений:

 (2.35)

Схема функционирования экономики для этого случая представлена на рисунке 10.1.

Рисунок 2.7 - Схема функционирования экономики

Данная схема наглядно представляет взаимосвязь абсолютных показателей в экономической системе согласно модели экономического роста.

.5 Построение математической модели в относительных показателях

При выполнении определенных условий экономическая система, поведение которой описывается моделью Солоу, может иметь так называемую стационарную траекторию. При этом стационарной траекторией называют такое поведение экономической системы, когда ее относительные показатели не изменяются во времени.

Определим условия, выполнение которых приводит к неизменности относительных показателей экономической системы, описываемой моделью Солоу. В качестве относительных показателей примем


С учетом введенных относительных показателей можно записать:

Пункт 1.

 (2.36)

Пункт 2.

 (2.37)

или, используя третье уравнение из системы (2.35), получим:

 (2.38)

Разделим данное уравнение на L(t) и разрешим его относительно

В этом случае будем иметь:

(2.39)

Пункт 3.

 (2.40)

Пункт 4.

 (2.41)

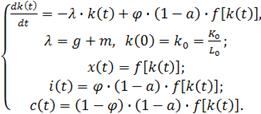
С учетом выведенных в пунктах 1-4 уравнений модель экономического роста в относительных показателях можно записать в виде следующей системы уравнений:

 (2.42)

Если установить неизменными во времени показатели: k(t) = k0 = const, x(t) = x0 = const, i(t) = i0 = const, c(t) = c0 = const, то экономическая система будет находиться на стационарной траектории.

Как видно из системы уравнений (2.42), выход на стационарную траекторию можно обеспечить путем установления фондовооруженности труда на постоянном уровне, т.е. при соблюдении условия, что k(t) = k0 = const. В этом случае

 (2.43)

и, следовательно

 (2.44)

Выражение (2.44) можно переписать в следующем виде:

 (2.45)

Учитывая, что X(t) = F [K(t), L(t)] является неоклассической функцией, то f(0) = 0, f/ >0, f// <0. Если дополнительно задать условие,

 (2.45)

то уравнение (2.45) будет иметь единственное ненулевое решение k0. Данное положение показано на рисунке 2.10.

Рисунок 2.8 - Графики функций h(k)

Одинаковая скорость роста функций h1(k) и h2(k), как показано на рис. 2.46, достигается при k = k~ и, следовательно, значение k~ является корнем уравнения:

 (2.46)

Таким образом, решив уравнение (2.46), можно найти численное значение k~. Соотношение между величиной k~ и k0 оказывает существенное влияние на вид переходных процессов в модели Солоу. Если в начальный момент времени t=0 экономическая система имеет фондовооруженность k(0) = k0 = k0, то она уже находится на стационарной траектории. В этом случае данную систему перевести в другое состояние можно только путем изменения значения одного из экзогенных показателей, например доли валовых инвестиций в валовом внутреннем продукте или, изменив производственную функцию, X(t) = F [K(t), L(t)].

В случае если k0 k0, то в экономической системе происходит переходный процесс с выходом на стационарную траекторию, т.е. k(t) → k0. При этом наблюдаются три типа переходных процессов. Рассмотрим их применительно к изменению фондовооруженности труда во времени:

−       если k0 < k~ , то сначала происходит ускоренный рост фондовооруженности труда k(t), а затем, после достижения равенства k(t) = k~ , сменяется замедленным ростом данного показателя, с постепенным приближением к величине k0;

−       если k~ < k0 < k0, то наблюдается замедленный рост фондовооруженности труда k(t) к величине k0;

−       если k0 > k0, то происходит замедленное снижение фондовооруженности труда к величине k0.

Аналогичным образом изменяются и остальные относительные показатели в модели Солоу, т.к. они связаны с фондовооруженностью труда.

Развитие экономической системы во многом определяется выбором величины нормы накопления. Естественно, что увеличение нормы накопления ведет к более быстрому развитию системы, но при этом снижается доля непроизводственного потребления и его объем растет недостаточно быстрыми темпами. Существенное уменьшение нормы накопления ведет к увеличению первоначального объема потребления, но и к замедлению развития экономической системы, что в конечном итоге также приводит к медленному росту объема потребления. Очевидно, имеется такая величина нормы накопления, которая позволяет максимизировать через определенное время объем непроизводственного потребления.

Рассмотрим возможность нахождения нормы накопления, которая максимизирует среднедушевое потребление при нахождении экономической системы на стационарной траектории. В общем случае можно записать:

 (2.47)

Для производственной функции вида:

 (2.49) будем иметь:

Следовательно, можно записать:

 (2.50)

или для стационарной траектории:

 (2.51)

С другой стороны, для стационарной траектории справедливо уравнение (2.46), которое можно записать, с учетом уравнения (2.51), в следующем виде:

 и (2.52)

 (2.53)

 (2.54)

Подставляя выражение (2.53) в (2.51), получим:

 (2.55)

где  (2.56)

 (2.57)

Таким образом, значение среднедушевого потребления в зависимости от нормы накопления определяется функцией W(φ).

Следовательно, для нахождения максимума среднедушевого потребления на стационарных траекториях необходимо определить максимум функции W(φ).

Для этого возьмем производную от функции W(φ) и приравняем ее к нулю:

 (2.58)

Выражение (2.58) равно нулю при φ = α, значит c0(φ) принимает максимальное значение в случае, когда норма накопления равна эластичности выпуска по основным производственным фондам. Из выражений (2.55) и (2.54) следует, что  ,при φ>α и , при φ<α. При заданных значениях a = 0,6; a = 0,5; A = 1,1, l = 0,06 график изменения функции c0(φ) будет иметь вид кривой , представленной на рисунок 2.9.

Рисунок 2.9 - Норма непроизводственного накопления

Из рисунка видно, что при норме накопления (φ) меньше a, равного в данном случае 0,6, имеет место недонакопление, а при φ больше a = 0,6 - перенакопление. Максимальное среднедушевое потребление (c0) достигается в данном случае, когда норма накопления  = 0,6, т.е. равна коэффициенту эластичности по производственным фондам (a). В результате получим, что норма накопления меньше своего оптимального значения.

2.6 Построение модели в абсолютных показателях с учётом запаздывания при вводе фондов

Модель экономического роста в абсолютных показателях (2.35) может быть записана для условия, когда в качестве выходного показателя производственной системы принимается не выпуск товаров и услуг , а валовой внутренний продукт . В этом случае во всех уравнениях системы параметр а равен нулю и система уравнений примет следующий вид:

 (2.59)

Однако в данной модели, как и во всех предыдущих записях модели экономического роста, не учитывается запаздывание при превращении инвестиций в основные производственные фонды и их дальнейшее освоение. Для учёта инвестиционного лага имеются два подхода:

1.      Запаздывание учитывается в виде фиксированного лага t. В этом случае, пренебрегая лагом освоения, ввод фондов в сущности есть инвестиции, сделанные в момент времени :

 (2.60)

2.      Другим подходом является использование распределенного ла га. В этом случае инвестиции, осуществленные в момент времени t в объеме , осваиваются постепенно долями, в соответствии с некоторым распределением . Причем справедливо условие: объеме , осваиваются постепенно долями, в соответствии с некоторым распределением . Причем справедливо условие:

 (2.61)

В связи с тем, что инвестиции осуществляются не только в какой-то один фиксированный момент времени, но и в другие моменты времени, то ко времени t накопится следующий объём вводимых (и освоенных) фондов:

 (2.62)

Если процесс инвестирования и ввода фондов (с освоением) имеет стационарный характер, то ,и выражение (2.62) можно записать в следующем виде:

 (2.63)

Принимая, что распределение  является показательным:

(10.33)

 (2.64)

будем иметь:

 (2.64)

Произведя дифференцирование выражения (2.64), получим:

 (2.65)

Используя уравнение (2.65), как уравнение, учитывающее запаздывание при вводе основных производственных фондов, получаем на основе системы уравнений (2.58) односекторную модель экономики с учетом запаздывания во вводе фондов:

 (2.66)

Данная система уравнений отражает: баланс распределения валового внутреннего продукта на инвестиции и непроизводственное потребление;

·   величину валового внутреннего продукта в зависимости от ресурсов;

·   изменение трудовых ресурсов во времени;

·   динамику основных производственных фондов во времени;

·   динамику ввода основных производственных фондов в зависимости от инвестиций и запаздывания во вводе фондов;

·   изменение инвестиций во времени;

·   изменение непроизводственного потребления во времени.

Для данной системы уравнений можно вывести систему уравнений в относительных показателях. На основе системы уравнений в относительных показателях можно получить оптимальную норму накопления, которая, как и для системы уравнений (2.42), равна коэффициенту эластичности по основным производственным фондам.

3. Оптимизация непроизводственных потребностей в модели экономического роста

.1 Построение имитационной модели потребления в односекторной модели экономического роста

Имитационное моделирование один из наиболее продуктивных методов по разработке программных моделей реальных или гипотетических систем, а также реализации этих программ на компьютере. На основе получаемых систем проводится анализ результатов компьютерных экспериментов по исследованию поведения моделей. Имитация является численным методом проведения на цифровых вычислительных машинах экспериментов с математическими моделями, описывающими поведение сложных систем в течение продолжительного времени. Методы имитационного моделирования экономических систем динамично меняются, не только в плане толкования смысла этого понятия, но, особенно, в отношении используемого программного обеспечения и возможностей вычислительной техники. Реализуем модель экономического роста в Excel и построим имитационную схему для модели экономического роста в Matlab для сравнения результатов. Проследим ее динамику на протяжении 30 лет для следующих значений параметров:

ν=0,1 μ=0,3 ρ=0,4 Х=3

Начальные значения переменных:

=800000 L=1000000

- темп прироста населения;

µ - темп потерь фондов;- норма накопления;- объем основных производственных фондов;- трудовые ресурсы;- инвестиции;

С - непроизводственное потребление;

с - норма потребления.

Построим имитационную схему для модели экономического роста и проследим ее динамику на протяжении 50 лет:

Найдем значения K и L, воспользовавшись следующими соотношениями:

 (3.1)

 (3.2)

Система уравнений модели выглядит следующим образом:

 (3.3)

 (3.4)

 (3.5)

 (3.6)

 (3.7)

Найдем решение с использованием электронных таблиц Microsoft Excel:

Таблица 1 - Расчетные показатели для построения имитационной модели