Материал: Оптимальное непроизводственное потребления в односекторной модели экономического роста

Внимание! Если размещение файла нарушает Ваши авторские права, то обязательно сообщите нам

Последствия повышения нормы сбережений представлены на рисунке 2.6. Рост нормы сбережений сдвигает кривую sq вверх. В результате новое динамическое равновесие устанавливается при более высоких значениях капиталовооруженности и производительности труда, но с исходным темпом роста национального дохода, равным темпу роста населения.

Рисунок 2.6 - Последствия увеличения темпа роста населения

В момент повышения нормы сбережений темп роста национального дохода резко увеличивается, так как возрастает не только масштаб производства, но и производительность труда из-за увеличения его капиталовооруженности.

В дальнейшем вместе с замедлением роста производительности труда по мере приближения к новому равновесию темп роста национального дохода снижается до темпа роста населения.

Рисунок 2.7 - Последствия роста нормы сбережения

Динамика показателей результативности производства в переходный период показана на рисунок 2.8.

Рисунок 2.8 - . Изменение результативности производства при повышении нормы сбережений

Поскольку в данной модели устойчивый рост при полном использовании обоих факторов производства достигается при любой норме сбережений и темп прироста национального дохода всегда равен темпу прироста населения, то возникает проблема определения оптимальной нормы сбережения.

Рассмотрим проблему экономического роста с учетом технического прогресса. Обозначим постоянный темп технического прогресса через Т′, который означает, что каждая единица труда увеличивает отдачу на данную величину. Это равносильно тому, как если бы ежегодно на эту величину увеличивалось число занятых при прежней капиталовооруженности. Следовательно, технический прогресс носит трудосберегающий характер. Однако если учесть еще и рост населения (Н′), то темп роста общего количества эффективных единиц труда составляет (Н′ + Т′). В таком случае ранее приводимое уравнение прироста капитала принимает следующий вид:

 (2.10)

Новый график (рисунок 2.6) отличается от предыдущего только включением дополнительного элемента - технического прогресса. Под воздействием роста технического прогресса требуется меньший объем капитала (К). При устойчивом состоянии экономики инвестиции [с f (k)] в точности компенсируют уменьшение К вследствие его выбытия, роста населения и технического прогресса.

Отсюда можно сделать вывод о том, что технический прогресс содействует росту общественной производительности труда, повышению уровня жизни населения. В противоположность сбережениям, технический прогресс обеспечивает непрерывный рост выпуска продукции, не ограничиваясь моментом достижения равновесного состояния. Он, а также рост населения, вносят коррективы в ранее сформулированное "золотое" правило для накопления капитала (ППК= А′ * Kосн). Теперь

 (2.11)

Рисунок 2.6 - Экономический рост с учетом технического прогресса

.3 Кейнсианская модель экономического роста

В Кейнсианской модели, важное место отводится сбережениям и инвестициям. В связи с этим главная роль в ней отводится инвестированию нового капитала, т.е. накоплению капитала как источника инвестиций для наращивания производственных мощностей. Величины инвестиций и сбережений могут не совпадать, хотя в процессе общественного производства между ними постепенно устанавливается равенство. Функцию выравнивания инвестиций и сбережений берут на себя незапланированные инвестиции, которые возникают из-за несовпадения запланированных и фактических инвестиций. Фактические инвестиции включают в себя запланированные и незапланированные инвестиции. Последние находят свое выражение в товарно-материальных запасах, которые либо увеличиваются, либо сокращаются в зависимости от конкретной экономической ситуации и тем самым поддерживают баланс между сбережениями и инвестициями.

Увеличение инвестиций вызывает мультипликационный эффект роста объема производства, чистого внутреннего продукта (ЧВП). Под инвестициями, которые вызывают мультипликационный эффект, подразумеваются автономные, т.е. независимые инвестиции, причем к ним могут быть приравнены и государственные закупки, и экспорт [7, c. 122].

Формула мультипликатора имеет следующий вид:

 (2.12)

где Ми - мультипликатор инвестиций; ΔД - прирост реального дохода; ΔИа - прирост автономных инвестиций. Отсюда:

 (2.13)

Для определения мультипликатора обратимся к ΔД, который распадается на прирост потребления (ΔП) и прирост инвестиций (ΔИ):

, откуда.

Подставив данное значение ΔИ в формулу (2.12), получим

 (2.14)

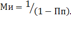
Разделив числитель и знаменатель на ΔЧВП=ΔД, получим

Ми=1/(1-ΔП/ΔЧВП).

Но, как известно, ΔП/ΔЧВП - представляет собой предельную склонность к потреблению (Пп). Поэтому формула (2.14) мультипликатора инвестиций приобретает следующий вид:

 (2.15)

В тоже время мы знаем, что предельная склонность к потреблению (Пп) и предельная склонность к сбережению (Сп) в сумме равны единице (). Отсюда следует, что

.

В свою очередь, подставив Пп в формулу (2.15), получим следующее значение мультипликатора:

 (2.16)

Таким образом, мультипликатор автономных инвестиций является обратной величиной предельной склонности к сбережению

.

Подставив полученное значение мультипликатора в формулу прироста дохода (), получим

 (2.17)

Доход, возросший в соответствии с величиной мультипликатора, вызовет рост спроса на потребительские товары и объема их производства. Рост инвестиций, спровоцированный ростом доходов, называется эффектом акселерации. Инвестиции, вызванные увеличением доходов, называются индуцированными инвестициями.

Эффект акселерации обусловлен в решающей степени двумя факторами: длительностью периода изготовления оборудования, вследствие чего в этот период неудовлетворенный спрос вызывает расширение производства, и длительностью периода эксплуатации оборудования, вследствие чего процентный прирост новых инвестиций к восстановительным инвестициям больше процентного прироста продукции, спрос на которую вызывает новые инвестиции.

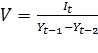
Коэффициент акселерации (акселератор) равен отношению прироста инвестиций к вызвавшему их приросту дохода, потребительского спроса или объема готовой продукции в предшествующем периоде. Он рассчитывается по следующей формуле.

 (2.18)

где V - акселератор;  - прирост индуцированных инвестиций в t-году; ,  - величины национального дохода (продукта) соответственно в двух предшествовавших инвестициям годах.

Отсюда можно получить величину прироста индуцированных инвестиций:

 (2.19)

В данной модели учитываются только производные инвестиции от прироста национального дохода.

Если происходит сокращение доходов, спроса, то следствием этого также будет резкое сокращение инвестиций. Отсюда можно сделать вывод о том, что эффект акселерации наиболее отчетливо проявляется в циклическом характере экономического развития. В связи с этим в моделях экономического цикла акселератор используется во взаимодействии с мультипликатором. Наиболее известная модель представлена уравнением национального дохода:

, (2.20)

где  - национальный доход в рассматриваемом году; Аt - автономные инвестиции в том же году; (1-S) - доля потребления в национальном доходе, склонность к потреблению;  - величина индуцированных инвестиций

В рамках кейнсианской концепции широко известна и модель экономического роста Харрода-Домара. Это однофакторная модель определения темпов роста, в которой в качестве источника роста учитывается только капитал. При этом капиталоемкость признается относительно неизменной величиной. Ее постоянство связано с тем, что в случае роста производительности труда (сбережения труда) одновременно происходит увеличение отношения капитала к труду и отношения выпуска продукции к затратам труда. Это указывает на то, что коэффициент "капитал-выпуск" остается постоянным.

При использовании данной модели дается ряд весьма важных допущений: полная задействованность всех факторов, равенство спроса и предложения и их приростных величин.

Рассмотрим модель Харрода-Домара на примере упрощенной и одновариантной формулы:

, (2.21)

где  - темп прироста национального дохода;  - норма накопления капитала в национальном доходе;  - капиталоемкость прироста национального дохода.

Числитель и знаменатель этой функции могут быть представлены в следующем виде:

 (2.22)

где ФН - фонд накопления; НД - национальный доход; ΔНД - прирост национального дохода за счет задействования фонда накопления (сбережений) [7, c. 135].

В данном случае берутся чистые сбережения (фонд накопления), от которых зависит размер инвестиций, а чем значительней прирост инвестиций, тем выше темп роста. Следовательно, между сбережениями и чистыми инвестициями и экономическим ростом существует прямая зависимость.

В отношении капиталоемкости и экономического роста действует обратная зависимость: чем выше капиталоемкость производства, тем ниже темпы экономического роста, и, напротив, снижение уровня капиталоемкости в результате НТП, структурных сдвигов, сокращения неустановленного оборудования приводит к увеличению темпов экономического роста.

Капиталоемкость прироста национального дохода (ΔКЕ) может быть выражена через капиталоотдачу (фондоотдачу) прироста национального дохода (ΔКО) как обратную ей величину ΔКЕ = 1/Δ КО.

Подставив в исходную формулу (Тпр = Н′к /ΔКЕ) капиталоемкость, выраженную через фондоотдачу (капиталоотдачу), получим:

 (2.23)

Отсюда вытекает вывод о зависимости темпа прироста национального дохода от нормы накопления в национальном доходе и капиталоотдачи прироста национального дохода. Сам же темп прироста национального дохода (в процентах) выражается формулой: (2.24)

 (2.24)

Обеспечение в долгосрочном периоде постоянного и равномерного экономического роста требует соблюдения следующих условий:

−             необходимо достигнуть равенства, т.е. оптимального сочетания текущего прироста сбережений и ожидаемого прироста инвестиций (С = И);

−             следует не просто поддерживать уровень чистых инвестиций и государственных капитальных вложений, а увеличивать их в качестве нового импульса к росту;

−             необходимо постоянно поддерживать равновесное состояние между спросом, провоцирующим инвестиции, и предложением совокупного продукта, который может быть создан при использовании всех факторов и полной занятости.

2.4 Построение математической модели в абсолютных показателях

Сформулированная в середине прошлого века концепция экономического роста имела целью заменить кейнсианскую модель динамического развития экономики Харрода-Домара неоклассической теорией роста. При этом в исходной модели экономическая система рассматривается как единое целое, в которой производится один универсальный продукт. Этот продукт может потребляться и инвестироваться. Экспорт-импорт в явном виде не учитывается. Состояние экономической системы задается следующими эндогенными переменными:

− X(t) - выпуск товаров и услуг;

−       C(t) - фонд непроизводственного потребления;

−       I(t) - валовые инвестиции в производственный капитал;

−       L(t) - число занятых в производственной деятельности;

− K(t) - основные производственные фонды.

Время t измеряется в годах и считается непрерывным. Кроме того, состояние экономической системы определяется экзогенными (заданными извне) показателями:

а)      g - годовой темп прироста числа занятых в производственной деятельности;

б)      m - доля основных производственных фондов, выбывших за один год;

в)      а - доля промежуточного продукта в выпуске товаров и услуг;

г)       φ - доля валовых инвестиций в валовом внутреннем продукте (норма накопления).

Данные экзогенные показатели могут изменяться в следующих пределах: -1 < g < 1; 0 < m< 1; 0 < а < 1; 0 < φ < 1.

Годовой выпуск товаров и услуг X(t) в каждый момент времени t связан с ресурсами K(t) и L(t) посредством линейно- однородной неоклассической производственной функции:

 (2.25)

Сами ресурсные показатели, являясь эндогенными показателями, изменяются за небольшой промежуток времени ∆t следующим образом:

. В соответствии с определением темп прироста числа занятых в производственной деятельности будет равен:

 (2.26)

Разделив уравнение (2.26) на ∆t и умножив его на L(t), при dt не равном нулю, получим:

 (2.27)

или, при записи в стандартном виде:

 (2.28)

Решение данного однородного линейного дифференциального уравнения имеет вид:

 (2.29)

Используя начальное условие L(0) = L0, получим:

 (2.30)

2.      Прирост основных производственных фондов за промежуток времени ∆t с учетом инвестиций и выбытия фондов за счет износа со ставит:

 (2.31)


 , при K(0)=K0 (2.32)

3.      Функцию изменения валовых инвестиций во времени можно получить следующи