Материал: Определение и основные функции собственного капитала банка

Внимание! Если размещение файла нарушает Ваши авторские права, то обязательно сообщите нам

В следующей главе подробно описан процесс оценки каждой из этих функций.

Поскольку мы имеем дело с непрерывной случайной величиной и функцией полезности от нее, которая тоже является непрерывной случайной величиной, то формула для ожидаемой полезности будет выглядеть следующим образом:

,

где  - функция полезности,

 - предполагаемое распределение потерь к капиталу.

3. Применение модели на статистических данных

В данной главе делаются определенные предположения относительно распределения потерь банков, строится модель с использованием существующих данных и анализируется целесообразность применения такой модели.

3.1 Основные предположения


Динамическая модель

Для корректного измерения общего финансового риска банка необходимо построить распределение потерь при одновременном проявлении сразу нескольких видов риска.

Основной проблемой при построении распределения убытков является, тот факт, что со временем меняются не только параметры выбранного распределения, но и сами распределения. В своей диссертации под названием «Методы оценки и управления совокупным финансовым риском коммерческого банка» Шевченко Е.С. провела количественный анализ временных рядов, показывающих относительное изменение дневных доходностей торгового портфеля ценных бумаг за три года. В результате оказалось, что вид распределения, характерного для выбранного временного ряда, неустойчив и меняется во времени. Основным выводом из этого анализа является то, что риск необходимо рассматривать не просто как случайную величину, а как случайный процесс.

Таким образом, при построении портфельных моделей необходимо иметь в виду, что распределение риска в реальности очень редко имеет характер логнормального и что разным компонентам рисков могут соответствовать различные виды распределений (Пуассона, Коши, Стьюдента и другие.).

Поскольку параметры и форма самого распределения постоянно меняются, то для оценки совокупного риска должен использоваться исторический подход, должна регулярно проводиться проверка выбора адекватности выбранного распределения до выявления новых тенденций.

Модель CreditMetrics

Стоит упомянуть о модели, разработанной в банке J. P. Morgan. Она основана на оценке будущего распределения изменений стоимости кредитного портфеля за определенный промежуток времени, например, год. Оценка риска осуществляется на основе изменений рыночной стоимости обязательств заемщиков банка.

Крупнейшие рейтинговые агентства являются основными источниками данных для данной модели. Периодически агентства публикуют статистическую информацию о вероятностях перехода из одной рейтинговой категории в другую, которые образуют так называемую матрицу переходных вероятностей.

В дальнейшем необходимо определить горизонт прогноза и форвардную цену по каждому из кредитов, входящих в портфель. Очевидно, что ставка дисконтирования должна зависеть от будущего предполагаемого рейтинга заемщика:

,

где  - будущие процентные платежи по долгу,

 - конечный кредитный рейтинг заемщика,

 - конечный кредитный рейтинг заемщика,

k - номер кредитного рейтинга.

После чего можно посчитать математическое ожидание:

.

Затем можно относительно легко оценить коэффициенты попарной корреляции доходностей активов компании, входящих в кредитный портфель:

,

где .

Полученная ковариационная матрица и вектор математических ожиданий и дисперсий изменений стоимости каждого отдельного актива являются входными данными при моделировании совокупных потерь по портфелю методом Монте-Карло.

Однако в нашей модели важна не динамика (рассматриваются статистические данные по банкам лишь на одну дату), поэтому для упрощения модели, а также в силу нехватки всех необходимых данных по такому объему российских банков, было сделано допущение о том, что кредитные потери банков предполагаются логнормально распределенными.

 

функция распределения.

Это распределение имеет крутой левый и пологий правый спад, то есть имеет положительную асимметрию. Логнормальное распределение можно использовать в качестве первого приближения для описания относительного изменения потерь.

3.2 Выбор данных и построение модели

В качестве необходимых статистических данных были выбраны показатели достаточности общего капитала, активы, взвешенные с учетом риска, размеры кредитных портфелей и уровни резервирования кредитных портфелей для порядка 250 крупнейших банков Российской Федерации по состояния на 1 февраля 2016 года. В табличке ниже представлены данные по 10 крупнейшим по размерам активов банков РФ.

Таблица №1. Статистические данные.


Как уже было сказано ранее, при построении модели использовалось логнормальное распределение кредитных потерь, однако для нормировки, а также для возможности в дальнейшем сравнивать полученные результаты с показателем достаточности капитала, строились не распределения кредитных потерь для банков из выборки, а распределения отношения потерь к общему капиталу (Losses/CAR). Очевидно, что разделив случайную величину на константу ее распределение по-прежнему можно считать логнормальным.

Математическим ожиданием этого распределения, очевидно, является совокупность резервов по всем кредитом, входящим в кредитный портфель банка. Это именно та величина, которую банк «ожидает» потерять.

Таким образом, мы получаем первое уравнение:

;

Но для того, чтобы найти оба неизвестных параметра распределения необходима система из двух уравнений.

Мы знаем, что согласно требованиям Базель и Центрального Банка Российской Федерации показатель достаточности общего капитала не должен быть меньше, чем 8 процентов. Как уже отмечалось в первой главе, регулятивный капитал банка служит определенным гарантом стабильности и именно он должен покрывать непредвиденные банковские потери - unexpected losses. Поскольку капитал должен покрывать не меньше, чем 8% от активов, взвешенных с учетом риска, то это означает, что unexpected losses - это и есть 8%, умноженные на RWA.

Принимая во внимание тот факт, что согласно Базель unexpected losses - это 99-процентная квантиль распределения потерь банка (а в нашем случае 99-процентная квантиль - это 8%*RWA/CAR), получаем второе уравнение для нашей системы:

;

Таким образом, решая полученную систему уравнений последовательно для каждого банка, и помня о не отрицательности параметра формы, находим для них значения параметров  и σ, которые однозначно задают распределение.

Для примера ниже показана плотность распределения для крупнейшего российского банка - Сбербанка. По оси абсцисс на графике показано, соответственно, отношение потерь к общему капиталу.

Следующим этапом построения модели является применение теории ожидаемой полезности. Как было отмечено во второй главе, необходимо найти оптимальный параметр и сравнить результаты для двух функций полезности - экспоненциальной и показательной.

Рисунок №4. Распределение потерь Сбербанка.

Нам необходимо найти такой параметр каждой из этих функций, при котором безрисковый эквивалент был бы минимален (так как в нашем случае ожидаемая полезность потерь, чем безрисковый эквивалент окажется меньше, тем лучше).

Экспоненциальная функция полезности

Напомним, что безрисковый эквивалент - это:

,

 .

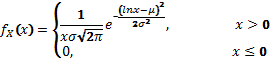
Для его нахождения, необходимо найти математическое ожидание функции от случайной величины:


 - плотность логнормального распределения.

Решая полученные интегралы численно, например, в R (Приложение 1), и находя обратную функцию при различных значениях , получаем для каждого банка из выборки значение безрискового эквивалента. Теперь задача сводится к определению верного значения параметра, такого, чтобы безрисковый эквивалент был минимальным.

Очевидно, что чем более пологой является функция ожидаемой полезности, тем меньше должен безрисковый эквивалент, поэтому для получения оптимального результата необходимо  устремить к 0.

Поскольку в дальнейшем будет выполняться проверка безрискового эквивалента на согласованность с показателем достаточности капитала, то было решено тоже округлять его до двух знаков после запятой. Численные решения интегралов показали, что, начиная с определенного  в сторону уменьшения, округленные до двух знаков после запятой значения безрисковых эквивалентов не изменяются. Эти значения в дальнейшем и послужили основой для анализа.

Показательная функция полезности

Мы рассмотрели уже экспоненциальную функцию полезности, осталось рассмотреть вторую, наиболее подходящую для анализа кредитных потерь банком - показательную:

.

Для данной функции необходимо выполнить те же действия, что были описаны выше, найти математическое ожидание:

 - плотность логнормального распределения.

А затем для каждого банка посчитать безрисковый эквивалент при определенном значении параметра , взяв обратную функцию полезности от значения интеграла. Оптимальные значения безрисковых эквивалентов в данном случае оказались немного меньше, чем при использовании экспоненциальной функции.

3.3 Проверка модели на согласованность с показателем достаточности капитала


Для того чтобы проверить на согласованность полученные результаты с теорией Базельского комитета, было решено посчитать ранговые корреляции Спирмена и Кендалла между полученными безрисковыми эквивалентами и фактическими значениями показателей достаточности капитала банков из выборки. Расчет ранговой корреляции является методом проверки зависимости между двумя переменными с помощью определения корреляции их ранговых порядков.

Таким образом, каждому банку присваивается ранг по нормативу (R_cap) и по безрисковому эквиваленту (R_eut). Чем показатель норматива больше, тем меньше значение R_cap, а для безрискового эквивалента наоборот, ранг 1 присваивается банку с наименьшим значением.

В табличке ниже представлены полученные результаты.

Таблица №2. Результаты расчетов коэффициентов корреляции.


Показательная функция

Экспоненциальная функция

Обычная корреляция

0,5

0,4

Корреляция Кендалла

0,5

0,4

Корреляция Спирмена

0,5

0,5


Было также решено проверить, как меняется корреляция в зависимости от выбора параметра функции полезности. Оказалось, что, например, для экспоненциальной функции, увеличивая значение параметра, можно добиться существенного улучшения значения корреляции. Этот результат можно объяснить тем, что с увеличением параметра функции, становится больше по значению и сам безрисковый эквивалент. А чем больше безрисковый эквивалент, тем он ближе по значению к отношению непредвиденных потерь к капиталу. Ниже показаны результаты для оптимальных параметров для обеих функций полезности. По оси абсцисс отложены ранги безрисковых эквивалентов, по оси ординат соответствующие им ранги показателя достаточности капитала.

Рисунок №5. Результат для экспоненциальной функции полезности.

Рисунок №6. Результат для экспоненциальной функции полезности.

Заключение

Представленная работа была посвящена рассмотрению наиболее актуальных для современного российского банковского сообщества проблем, связанных с расчетом норматива достаточности общего капитала и управлением капиталом. Были описаны основные существующие подходы к расчету норматива, их плюсы и минусы.

Нужно отметить, что наиболее актуальным вопросом остается построение и развитие моделей управления совокупным риском. Поскольку последние финансовые кризисы показали, что соблюдение нормативов достаточности регулятивного капитала не способно в полной мере защитить инвесторов и вкладчиков банков от дефолтов. Регулятивный капитал покрывает только кредитный, рыночный и операционный риски, оставляя без внимания прочие виды рисков. К примеру, репутационный риск, который способен привести к быстрому оттоку депозитов с баланса банка.

Несмотря на это, расчет показателя стандартизированным методом будет еще долгое время оставаться актуальным для многих российских банков. Поэтому основной идеей данной работы была попытка подойти к рассмотрению данного показателя с несколько другой стороны - используя теорию ожидаемой полезности для банковских потерь. Были подобраны подходящие функции полезности и выбраны оптимальные параметры этих функций. Итогом явились рассчитанные по всем банкам из выборки безрисковые эквиваленты отношения потерь к собственному капиталу. Для того чтобы проверить полученные результаты такого подхода определения достаточности капитала, необходимо было их сравнить с существующими значениями нормативов Н1.0. Сравнение этих показателей сводилось в исследовании к расчету коэффициентов ранговой корреляции.

Корреляция между двумя этими показателями оказалась положительной, однако значение ни одного из посчитанных коэффициентов нельзя назвать достаточно большим для того, чтобы говорить о том, что построенная модель полностью повторяет результаты показателя достаточности капитала. Глядя на полученные графики, можно заметить, что практически нет такой ситуации, при которой безрисковый эквивалент «плохой», а норматив Н1.0 «хороший», в данном случае все логично. Однако, как можно заметить, довольно частым явлением оказывается ситуация, при которой «хороший» безрисковый эквивалент сопровождается «плохим» нормативом достаточности капитала, вероятно, это может говорить о том, что таким банкам целесообразнее использовать продвинутые методы управления рисками, чтобы не завышать капитал для покрытия активов, посчитанных стандартным методом.

Подводя итоги, стоит сказать о том, что любая экономическая модель достоверна настолько, насколько достоверны предположения, сделанные при ее построении. Достоверность предположений меняется со временем в зависимости от ситуации на рынке и в мире в целом, поэтому такие модели управления рисками всегда будут нуждаться в определенных корректировках и усложнениях, призванных подстроить модель под быстро меняющиеся условия.

Список используемой литературы

1.   "Положение о методике определения величины собственных средств (капитала) кредитных организаций ("Базель III")" (утв. Банком России 28.12.2012 N 395-П) (ред. от 30.11.2015) (Зарегистрировано в Минюсте России 22.02.2013 N 27259)

2.      "Положение о методике определения собственных средств (капитала) кредитных организаций" (утв. Банком России 10.02.2003 N 215-П) (ред. от 25.10.2013) (Зарегистрировано в Минюсте России 17.03.2003 N 4269)

.        Инструкция Банка России от 03.12.2012 N 139-И (ред. от 07.04.2016) "Об обязательных нормативах банков" (Зарегистрировано в Минюсте России 13.12.2012 N 26104)

.        Письмо Банка России от 29.06.2011 N 96-Т "О Методических рекомендациях по организации кредитными организациями внутренних процедур оценки достаточности капитала"

.        Вэриан Х.Р. Микроэкономика. Промежуточный уровень. Современный подход: Учебник для вузов. М.:ЮНИТИ, 1997. 767 с.

.        Алескеров Ф.Т., Андриевская И.К., Пеникас Г.И., Солодков В.М. Анализ математических моделей Базель II. - М.: Физматлит, 2010.

.        Буздалин А.В. Надежность банков: от формализации к оценке. М.: Книжный дом «Либроком», 2012. -192с.

.        Шевченко Е.С. Методы оценки и управления совокупным финансовым риском коммерческого банка. дис.....канд. эконом. наук: 08.00.10: защищена 24.09.13. Москва, 2013. - 260 с.

.        А.А. Лобанов. Регулирование капитала на покрытие рыночных рисков в Базеле III: шаг вперед или два шага назад? // Деньги и кредит, №8, 2011.

10.    Core principles for effective banking supervision. Basel. September 1997.

.        Enrique Navarrete (2006): Practical Calculation of Expected and Unexpected Losses in Operational Risk by Simulation Methods. Published in: Banca & Finanzas: Documentos de Trabajo , Vol. I, No. 1 (October 2006): pp. 1-12.

.        J.P. Morgan. Introduction to CreditMetrics™. New York, April 2, 1997

Приложение

Ниже показана часть кода, отвечающая за расчет интеграла и безрискового эквивалента для показательной функции полезности:

df <- read.table("Text.txt",= TRUE,="\"",= TRUE,.white = TRUE)

# Файл Text.txt содержит необходимую информацию для расчетов: в первом столбце параметр распределения σ, во втором столбце параметр µ, а в третьем значение границы интеграла<-matrix(0,253,5)

# 253 банка в выборке, 5 - задаваемое количество параметров функции полезности

result2<-array(1:253)(j in 1:5){ (i in 1:253) {

# Цикл по параметру и банкам

integrand <- function(x) {(-exp(-j*x))*exp(-0.5*((log(-x)-df$mu[i])/df$sig[i])^2)/(-x*df$sig[i]*sqrt(2*pi))};

# Подынтегральное выражение=integrate(integrand, lower = df$Limit[i], upper = 0);

# Расчет интеграла[i,j]=-1/(j)*log(-res[1]$value)

# Взятие обратной функции[i]=res[1]$value=0;

}