В результате проведенных
исследований установлены следующие условия проведения эксперимента (таблица
2.6).
Таблица 2.6 - Условия проведения эксперимента
|
Длина волны |
335 нм |
|
Время образования 2,3-диметилхиноксалина |
20 мин |
|
Объем хлорида железа (III) С = 2,85 моль/л |
2 мл |
|
Время дистилляции |
8 мин |
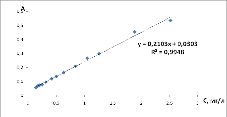
.8 Зависимость аналитического
сигнала ацетоина от концентрации
При установленных условиях получена зависимость аналитического сигнала ацетоина от концентрации (таблица 2.7; рисунок 2.8).
|
Концентрация ацетоина, мг/л |
Аналитический сигнал |
|
|
1,26 |
0,297 |
|
|
1,04 |
0,265 |
|
|
0,84 |
0,208 |
|
|
0,63 |
0,163 |
|
|
0,51 |
0,135 |
0,119 |
|
0,31 |
0,094 |
|
|
0,25 |
0,077 |
|
|
0,21 |
0,073 |
|
|
0,18 |
0,069 |
|
|
0,16 |
0,06 |
|
|
0,14 |
0,055 |
|
|
2,52 |
0,535 |
|
|
1,89 |
0,453 |
Графически зависимость
аналитического сигнала от концентрации диацетила представлена на рисунке 2.8.
Рисунок 2.8 - Зависимость
аналитического сигнала от концентрации ацетоина
Стандартные растворы
ацетоина объемом 50,0
помещали
в колбу для отгона, прибавляли 2,00
2,87 М хлорида железа
(III) и 1
1
М серной кислоты и отгоняли 10,0
дистиллята в приемник,
погруженный в емкость со льдом. Отогнанный диацетил определяли аналогично
реакцией с орто-фенилендиамином. Предварительно определяли возможность
частичного перехода ацетоина в дистиллят во время отгонки диацетила.
Стандартные растворы ацетоина помещали в отгонную колбу и проводили нагревание
по длительности аналогичное нагреванию растворов диацетила. Потери ацетоина
составили 15%.
Для оценки предела
обнаружения было рассчитано стандартное отклонение аналитического сигнала фона.
Предел обнаружения - это минимальное содержание определяемого вещества в пробе,
сигнал от которого можно надежно отличить от фона. Растворы холостых проб
состояли из 5,00 см3 0,1 М соляной кислоты, к которым прибавили 0,80
см3 1,0 М гидроксида натрия, 0,25 см3 раствора реагента и
0,60 см3 фосфорной кислоты. Результаты определения значений
аналитического сигнала фона представлены в таблице 2,8.
Таблица 2,8 - Значения аналитического сигнала фона
|
Хi |
0,038 |
0,041 |
0,043 |
0,042 |
0,044 |
0,042 |
0,045 |
0,042 |
0,043 |
0,043 |
|
|
0,043 |
0,043 |
0,042 |
0,046 |
0,045 |
0,046 |
0,045 |
0,045 |
0,045 |
0,047 |
|
|
0,044 |
|||||||||
Стандартное отклонение
аналитического сигнала фона рассчитывалось при n=20 по формуле 1.

, (1)
где So - это стандартное отклонение сигнала фона,
Хi - значение i-го сигнала фона,
- среднее значение n
сигналов фона,- количество измерений.
Предел обнаружения
рассчитывали по формуле 2.
Таблица 2.9 - Оценка предела обнаружения
|
Среднее значение сигнала фона |
Среднее значение коэффициента чувствительности S |
Стандартное отклонение сигнала фона So |
Предел обнаружения Cmin 0,95, мкг/см3 |
|
0,044 |
0,2594 |
0,00209 |
0,02417 |
.9 Проверка правильности методики
методом «введено - найдено»
Правильность предложенной методики была проверена методом «введено - найдено».
В 50,00
пива
помещали 0,10
стандартного
раствора диацетила определенной концентрации и отгоняли 10,00
в
пробирку, помещенную в емкость со льдом. После дистилляции прибавляли 0,50
солянокислого
орто-фенилендиамина и оставляли на 20 минут в темном месте для завершения
реакции. К полученному в результате реакции 2,3-диметилхиноксалину прибавляли
2,00
4
М соляной кислоты. Сразу же определяли оптическую плотность на фотоэлектроколориметре
КФК-3 (таблица 2.10).
В 50,00
пива
помещали 0,10
стандартного
раствора ацетоина определенной концентрации, прибавляли 2,00
хлорида
железа (III) с концентрацией 2,87 моль/
и проводили
дистилляцию. После дистилляции прибавляли 0,50
солянокислого
орто-фенилендиамина и оставляли на 20 минут в темном месте для завершения
реакции. К полученному в результате реакции 2,3-диметилхиноксалину прибавляли
2,00
4
М соляной кислоты. Сразу же определяли оптическую плотность на
фотоэлектроколориметре КФК-3 (таблица 2.11). Предварительно содержание
диацетила и ацетоина определяли в образцах пива (таблица 2.12).
Таблица 2.10 - Проверка правильности методики определения диацетила методом «введено - найдено»
|
Наименование пива |
Концентрация диацетила, мг/ |
||
|
|
Проба |
Введено |
Найдено |
|
«Хадыженское» |
0,32 ± 0,01 |
0,311 |
0,58 ± 0,02 |
|
«Velkopopovicky Kozel» |
0,26 ± 0,01 |
0,311 |
0,50 ± 0,02 |
|
«Usberg» |
0,11 ± 0,03 |
0,097 |
0,18 ± 0,03 |
|
«Антон Груби» |
0,25 ± 0,02 |
0,311 |
0,49 ± 0,02 |
|
«Lӧwenbrӓu original» |
0,10 ± 0,02 |
0,097 |
0,17 ± 0,03 |
Таблица 2.11 Проверка правильности методики определения ацетоина методом «введено - найдено»
|
Наименование пива |
Концентрация ацетоина, мг/ |
||
|
|
Проба |
Введено |
Найдено |
|
«Хадыженское» |
0,37 ± 0,03 |
0,419 |
0,73 ± 0,03 |
|
«Velkopopovicky Kozel» |
0,66 ± 0,02 |
0,628 |
1,18 ± 0,03 |
|
«Usberg» |
1,57 ± 0,02 |
1,257 |
2,59 ± 0,04 |
|
«Антон Груби» |
1,01 ± 0,02 |
0,628 |
1,51 ± 0,03 |
|
«Lӧwenbrӓu original» |
0,70 ± 0,03 |
0,628 |
1,18 ± 0,03 |
Результаты анализа образцов пива
представлены в таблице 2.12.
Таблица 2.12 - Результаты анализа образцов пива
|
Наименование образцов пива |
Производитель |
НТД |
Содержание диацетила, мг/л |
Содержание ацетоина, мг/л |
|
«Хадыженское» |
ООО «Хадыженское пиво», г. Хадыженск. Пиво светлое непастеризованное |
ГОСТ Р 51174 - 2009 |
0,32 ± 0,01 |
1,70 ± 0,03 |
|
«Velkopopovicky Kozel» |
ЗАО «САБ Миллер РУС», г. Калуга. Пиво темное пастеризованное, низового брожения |
ГОСТ Р 51174 - 2009 |
0,26 ± 0,01 |
1,51 ± 0,02 |
|
«Usberg» |
ООО «Суздальская пивоварня», г. Владимир Пиво светлое пастеризованное, низового брожения |
ГОСТ Р 51174 - 2009 |
0,11 ± 0,03 |
3,59 ± 0,02 |
|
«Антон Груби» |
ОАО «Ставропольский пивоваренный завод, г. Ставрополь. Пиво темное непастеризованное |
ГОСТ Р 51174 - 2009 |
0,25 ± 0,02 |
3,69 ± 0,02 |
|
«Löwenbräu original» |
ОАО «Сан Инбев», г. Санкт-Петербург. Пиво светлое пастеризованное. |
ГОСТ Р 51174 - 2009 |
0,10 ± 0,02 |
1,62 ± 0,03 |
ЗАКЛЮЧЕНИЕ
1 Подобраны условия выделения и определения диацетила и ацетоина спектрофотометрическим методом.
Показано, что в процессе дистилляции происходит концентрирование диацетила. Коэффициент концентрирования изменяется от 3,8 до 2,2 и зависит от концентрации стандартных растворов диацетила.
Определены условия окисления ацетоина хлоридом железа (III).
Оценены потери ацетоина при выделении диацетила. Потери составили 15%.
Получены линейные зависимости аналитического сигнала от концентрации диацетила и ацетоина.
По разработанной методике определено содержание диацетила
и ацетоина в образцах пива.
СПИСОК ИСПОЛЬЗОВАННЫХ ИСТОЧНИКОВ
1 Диацетил. Химические свойства. [Электрон. ресурс]; режим доступа: http://ru/u/diacetyl-himicheskie_svoystva.html
Диацетил и ацетоин. Свойства. Получение. Нахождение в природе. [Электрон. pесурс]; режим доступа: http://ru.wikipedia.html
Lautenbach, A. L. Studies on diacetyl in beer / A. L. Lautenbach, B. Dwight, K. Becker // Amer. Soc. Brew. Chem. Proc. - 1939. - № 22. - Р. 81-88.
Campo, G. Spectrophotometric determination of biacetyl in distillates of wine by flow injection / Gloria del Campo, M. Carmen Lajo // Analyst. - 1992. - Vol. 117. - P. 1343-1346.
Patricio, R. Effect of cold storage and packaging material on the major aroma components of sweet cream butter / Patricio R. Lozano, Evan R. Miracle // Journal of Agricultural and Food Chemistry. - 2007. - Vol. 55. - P. 7840-7846.
Mickey, E. Gas chromatographic detection of diacetyl in orange juice / Mickey E. Parish, Robert J. Braddock // Journal of food Quality. - 1990. - Vol. 13. - P. 249 - 258.
Stephanie, M. Method development for the determination of diacetyl and acetoin a microwave popcorn plant / Stephanie M. Pendergrass // Envinromental Science. - 2004. - Vol. 38. - P. 858-861.
Пиво. Вкусовые качества. [Электрон. pесурс]; режим доступа: http://bibliofond.ru/view.html
9 Нужный В. П. Пиво. Химический состав, пищевая ценность, биологическое действие и потребление / В.П. Нужный // Токсикологический вестник. - М., 1998.
Ермолаева Г. А. Справочник работника лаборатории пивоваренного предприятия./ Г. А. Ермолаева. - СПб.: Профессия, 2004. - 536 с.
Кунце В. Технология солода и пива: пер. с нем./ В. Кунце, Г. Мит. - СПб.: Профессия, 2001. - 912 с.
Mudura, E. Risk management of beer fermentation - diacetyl control / E. Mudura, M. Sevastita // Univ. of Agricultural Sciences and Veterinary Medicine. - 2006. - Vol. 62. - P. 303-307.
Шевченко, В. В. Товароведение и экспертиза потребительских товаров./ В. В. Шевченко. - М.: ИНФА, 2001. - 544 с.
Нужный, В. П. Вопросы наркологии./ В. П. Нужный. - 1995. - №3. - С. 38 - 39.
Авакянц, С. П. Виноделие и виноградарство СССР./ С. П. Авакянц, Т. В. Катаева. - 1980. - № 4. - С. 12-16.
Кашковский, З.Н. Химия вина / З. Н. Кашковский, И. И. Скурихин. - М.: «Пищ. пром.», 1976. - 311 с.
Рева, А. Г. Виноделие и виноградарство СССР / А. Г. Рева. - 1978. - № 7. - С. 17 -18.
Простосердов, Н. Н. Виноградные вина и их свойства / Н. Н. Простосердов. - М.: Изд. «ВДНХ СССР». - 1960. - 7 с.
Нужный, В. П. Вино: химический состав, пищевые свойства, особенности биологического действия и потребления / В. П. Нужный // Токсикологический вестник. - М., 1998.
Ramos, R.M. Determination of free and total diacetyl in wine by HPLC-UV using gas - diffusion microextraction and pre-column derivatization./ R.M. Ramos, J.C. Pacheco, L.M. Goncalves// Food Control. - 2012. - № 24. - C. 220-224.
Lallemand, F. Diacetyl in wine / F. Lallemand // Winemaking Update. - 2012. - № 1. - P. 25-27.
De Man, J.C. The formation of diacetyl and acetoin from α-acetolactic acid / J.C. De Man // Recueil. - 1959. - № 78. - C.481-486.
23 Молочные продукты. Масло. Аромат масла. [Электрон. ресурс]; режим доступа: http://milco.ru/masla/aromat-masla.html
Bakirci, I. The effect of commercial starter culture and storage temperature on the oxidative stability and diacetyl production in butter / I. Bakirci, S. Celik, C. Ozdemir // Dairy Technology. - 2002. - Vol. 55. - № 4. - Р. 177-181.
Stephanie, M. Determination of diacetyl and acetoin a microwave popcorn plant / Stephanie M. Pendergrass // Envinromental Science. - 2004. - Vol. 38. - P. 862-865.
26 Mattersich, J. The spectrophotometric determination of diacetyl / . Mattersich, J. R. Cooper // Analytical Biochemistry. - 1989. - № 180. - C. 349-350.
Speck, J. C. Spectrophotometric determination of diacetyl / J. C. Speck // Analytical Chemistry. - 1948. - № 20. - 647 p.
Rafael, J. Fluorimetric determination of diacetyl and 2,3-pentandione with isoniazide and a zirconium salt / J. Rafael, M. Rosa // Talanta. - 1993. - № 9. - . 1419-1423.
Masatoshi Yamaguchi. Determination of glyoxal, metilglyoxal, diacetyl, and 2,3-pentandione in fermented foods by high-performance liquid chromatography with fluorescence detection / Masatoshi Yamaguchi, Junichi Ishida // Journal of liquid chromatography. - 1994. - № 17. - P. 203-211.
Speckman, R. A. Separation of diacetyl, acetoin, and 2,3-butilene Glycol by salting-out chromatography / R.A. Speckman, E. B. Collins // Analytical Biochemistry. - 1968. - № 22. - P. 154-160.
Carmen, M. Spectrophotometric determination of biacetyl in distillates of wine / M. Carmen, Gloria del Campo // Analyst. - 1992. - Vol. 177. - P. 1342-1346.
Michele, M. New quantitative determination of 2,3 - dioxobutane (diacetyl) in alcoholic beverages by an indirect spectrofluorimetric procedure with use of 2,3 - diaminonaphtalene as reagent of derivatization / M. Michele, P. Levillain // Talanta. - 1994. - Vol. 1. - P. 75-79.
Damiani, P. Determination of diacetyl / P. Damiani, G. Burini, J. Assoc // Anal. Chem. - 1988. - Vol. 71. - P. 462-464.
Пурецкий, Н. А. Определение диацетила при помощи спектрофото-метрии и термолинзовой спектрометрии / Н.А. Пурецкий, М.А. Проскурнин, А.В. Пирогов // Вестн. Моск. Ун-та. - 2009. - №2. - С. 116-121.
Валуйко, Г. Г. Технология солода и пива. - М.: Мир, 2000. - 900 с.
Третьяк, Л. Н. Контроль качества пива на основе экспрессного определения диацетила / Л.Н. Третьяк, В.И. Федорченко // Вестник ОГУ. - 2006. - № 10. - С. 451-455.
Третьяк, Л. Н. Контроль качества пива в условиях ограниченно оборудованных пивоваренных лабораторий / Л. Н. Третьяк, Ю. А. Лосев, Е. Г. Бондаренко // Вестник ОГУ. - 2005. - № 10. - С. 144-149.
Патент 2415418 РФ, G01N33/14, C12C11/00. Фотометрический способ определения диацетила в пиве / Л. Н. Третьяк, В. И. Федорченко (Россия). - заявл. 23.12.2009; опубл. 27.03.2011.
Pack, M. Y. Owades and Jakovac Method for diacetyl determination / M. Y. Pack, W. E. Sandine, P. R. Elliker // Food Science and Technology. - 1974. - Vol. 41. - P. 981 - 986.
Occan, U. Quingdao haiyang daxue xuebao / U. Occan, C. Shuzhu // Quingdao. Natur. Sci. Ed. - 2002. - Vol. 32. - P. 89 - 93.
Mariaud, M. Procedure determination of diacetyl with use of 2,3 - diamino-naphtalene / M. Mariaud, P. Levillain // Talanta. - 1994. - Vol. 41. - P. 75 - 79.
Rodrigues, O. A. Flow injection square wave cathodic stripping voltammetric determination at a hanging mercury drop electrode of rapidly reduced compounds. determination of diacetyl on wine as 2,3 - dimethylquinoxaline / O. A. Rodrigues, A. A. Barros, P. J. Almeida // Analytica Chimica Acta. - 2001. - P. 119 - 127.
ГОСТ Р 52363-2005. Спиртосодержащие отходы спиртового и ликероводочного производства. Газохроматографический метод определения содержания летучих органических примесей. - введ. 2006.07.01. - М.: Стандартинформ, 2009. - 5 с.
Barros, A. Determination of glyoxal, methylglyoxal and diacetyl in selected beer and wine, by HPLC with UV-spectrophotometric detection, after derivatization with o - phenylendiamine / A. Barros, J. A. Rodrigues, M. T. Oliva - Telts // J. liq. technol. - 1999. - Vol. 22. - P. 2061 - 2069.
Macciola, V. Rapid gas-chromatographic method for the determination of diacetyl in milk, fermented milk and butter / V. Macciola. G, Candela, A. De Leonardis // Food Control. - 2008. - Vol. 19. - P. 873 - 878.
Ramos, R. M. Determination of free and total diacetyl in wine by HPLC - UV using gas-diffusion microextraction and pre-column derivatization / R. M. Ramos, J. G. Pacheco, J. A. Rodrigues // Food Control. - 2012. - Vol. 24. - P. 220-224.