Курсовая работа по математике
Однофакторный
дисперсионный анализ
Содержание
Введение
Понятие дисперсионного анализа
Однофакторный дисперсионный анализ
Однофакторный дисперсионный анализ (Практическая реализация в IBM SPSS Statistics 20)
Однофакторный дисперсионный анализ (Практическая реализация в Microsoft Office 2013)
Сравнение IBM SPSS Statistics 20 и Microsoft Office 2013
Заключение
Список
использованных источников
Введение
Актуальность темы. Развитие математической статистики начинается с работ знаменитого немецкого математика Карла Фридриха Гаусса в 1795 году и до сих пор развивается. В статистическом анализе существует параметрический метод «Однофакторный дисперсионный анализ». В настоящее время его используют в экономике при проведении исследования рынка для сопоставимости результатов (например, проводя опросы по поводу потребления какого-либо товара в различных регионах страны, необходимо сделать выводы на сколько данные опроса отличаются или не отличаются друг от друга, в психологии при проведении различного рода исследований), при составлении научных тестов сравнения, или исследовании каких-либо социальных групп, ну и для решении задач по статистике.
Цель работы. Познакомится с таким статистическим методом, как однофакторный дисперсионный анализ, а так же с реализацией его на ПК в различных программах и выполнить сравнение этих программ.
Задачи:
Изучить теорию однофакторного дисперсионного анализа.
Изучить программы для решения задач на однофакторный анализ.
Провести сравнительный анализ данных программ.
Достижения работы: Практическая часть работы полностью проделана автором: подбор программ, подбор задач, их решение на ПК, после проведен сравнительный анализ. В теоритической части проведена классификация групп дисперсионного анализа. Данная работа была апробирована в качестве доклада на студенческой научной сессии «Избранные вопросы высшей математики и методики преподавании математики»
Структура и объём работы. Работа состоит из
введения, заключения, содержания и списка литературы, включающего 4
наименования. Полный объём работы - 25 страниц печатного текста. Работа
содержит 1 пример решенный 2 программами.
Понятие
дисперсионного анализа
Часто возникает необходимость исследовать влияние одной или нескольких независимых переменных (факторов) на одну или несколько зависимых переменных (результативных признаков), подобные задачи можно решать методами дисперсионного анализа, автором которого является Р. Фишер.
Дисперсионный анализ ANOVA - совокупность статистических методов обработки данных, позволяющих анализировать изменчивость одного или нескольких результативных признаков под влиянием контролируемых факторов (независимых переменных) [1, с. 24]. Здесь под фактором понимается некоторая величина, определяющая свойства исследуемого объекта или системы, т.е. причина, влияющая на конечный результат. При проведении дисперсионного анализа важно правильно выбрать источник и объект влияния, т.е. определить зависимые и независимые переменные.
В зависимости от признаков классификации различают
несколько классификационных групп дисперсионного анализа (табл. 1).
Таблица 1
Категории дисперсионного анализа
|
По количеству учитываемых факторов: |
Однофакторный анализ - исследуется влияние одного фактора; |
Многофакторный анализ - изучается одновременное воздействие двух или более факторов. |
|
По наличию связи между выборками значений: |
Анализ несвязанных (различных) выборок - проводится, когда имеется несколько групп объектов исследования, находящихся в разных условиях. (Проверяется нулевая гипотеза H0: среднее значение зависимой переменной одинаково в разных условиях замера, т.е. не зависит от исследуемого фактора.); |
Анализ связанных (одних и тех же) выборок - проводится для двух и более замеров, проведенных на одной и той же группе исследуемых объектов в разных условиях. Здесь возможно влияние неучтенного фактора, которое можно ошибочно приписать изменению условий. |
|
По количеству зависимых переменных, подверженных воздействию факторов. |
Одномерный анализ (АNOVA или АМСОVА - ковариационный анализ) - воздействию факторов подвержена одна зависимая переменная; |
Многомерный анализ (МАNОVА - многомерный дисперсионный анализ или МАNСОVА - многомерный ковариационный анализ) - воздействию факторов подвержено несколько зависимых переменных. |
|
По цели исследования. |
Детерминированные - уровни всех факторов заранее фиксированы и проверяется именно их влияние (проверяется гипотеза H0 об отсутствии различий между средними уровнями); |
Случайные - уровни каждого фактора получены как случайная выборка из генеральной совокупности уровней фактора (проверяется гипотеза Н0 о том, что дисперсия средних значений отклика, вычисленная для различных уровней фактора, не отлична от нуля); |
В однофакторном дисперсионном анализе проводится проверка статистической значимости различий выборочных средних двух или более совокупностей для этого предварительно формируются гипотезы.
Нулевая гипотеза H0: средние величины результативного признака во всех условиях действия фактора (или градациях фактора) одинаковы
Альтернативная гипотеза H1: средние величины результативного признака во всех условиях действия фактора различны.
Методы дисперсионного анализа могут применяться
для нормально распределенных совокупностей (многомерные аналоги параметрических
тестов) и для совокупностей, не имеющих определенных распределений (многомерные
аналоги непараметрических тестов). В первом случае необходимо предварительно
установить, что распределение результативного признака является нормальным. Для
проверки нормальности распределения признака можно использовать показатели
асимметрии A =
,
,
и эксцесса E =
,
,
где
,
.
- значение результативного признака и его среднее значение;
-
среднеквадратическое отклонение результативного признака; [2, с. 24].
- число наблюдений;
-
ошибки репрезентативности для показателей A и E
Если показатели асимметрии и эксцесса не превышают более чем в 3 раза свои ошибки репрезентативности, т.е. А <3тА и Е <3тЕ, то распределение можно считать нормальным. Для нормальных распределений показатели А и Е равны нулю.
Данные, относящиеся к одному условию действия фактора (к одной градации), называют дисперсионным комплексом. При проведении дисперсионного анализа должно соблюдаться равенство дисперсий между комплексами. При этом выбор элементов должен осуществляться случайным образом.
Во втором случае, когда выборочные совокупности
имеют произвольные распределения, используются непараметрические (ранговые)
аналоги однофакторного дисперсионного анализа (критерии Крускала - Уоллиса,
Фридмана).
Рассмотрим графическую иллюстрацию зависимости ставки доходности акций от положения дел в экономике страны (рис. 1, а). Здесь исследуемым фактором является уровень состояния экономики (точнее, три уровня ее состояния), а результативным признаком - ставка доходности. Приведенное распределение показывает, что данный фактор оказывает существенное влияние на доходность, т.е. с улучшением дел в экономике растет и доходность акций, что не противоречит здравому смыслу.
Заметим, что выбранный фактор имеет градации,
т.е. его величина изменялась при переходе от одной градации к другой (от одного
состояния экономики к другому).

Рис. 1. Соотношение влияние фактора и
внутригруппового разброса: а-существенное влияние фактора; б - незначимое
влияние фактора
Группа градаций фактора является лишь частным случаем, кроме того, фактор может иметь градации, представленные даже в номинальной шкале. Потому чаще говорят не о градациях фактора, а о различных условиях его действия.
Рассмотрим теперь идею дисперсионного анализа, в
основе которой лежит правило сложения дисперсий: общая дисперсия равна сумме
межгрупповой и средней из внутригрупповых дисперсий:
- общая дисперсия,
возникающая под влиянием всех факторов
- межгрупповая
дисперсия, обусловленная влиянием всех прочих факторов;
- средняя
внутригрупповая дисперсия, вызванная влиянием группировочного признака.
Влияние группированного признака хорошо видно на
рис.1 а, так как влияние фактора существенно по сравнению с внутригрупповым
разбросом, следовательно, межгрупповая дисперсия будет больше внутригрупповой (
>
),
а на рис. 1, б наблюдается обратная картина: здесь преобладает внутригрупповой
разброс и практически отсутствует влияние фактора.
На этом же принципе построен и дисперсионный
анализ, только в нем используются не дисперсии, а средние квадратов отклонений
(
,
,
),
являющиеся несмещенными оценками соответствующих дисперсий. Их получают
делением сумм квадратов отклонений на соответствующее число степеней свободы
Совокупности в
целом;
Внутригрупповые
средние;
Межгрупповые
средние;
Общая средняя по
всем измерениям (по всем группам);
Групповая средняя
для j-й градации фактора.
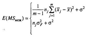
Математические ожидания соответственно для
внутригрупповой и межгрупповой суммы квадратов отклонений вычисляются по
формулам:
(Модеь с фиксированным фактором),
.
Е (
)
= Е (
)
=
,
то нулевая гипотеза H0 об отсутствии различий между средними подтверждается,
следовательно, исследуемый фактор не оказывает существенного влияния (см. рис.
1, б). Если фактическое значение F-критерия Фишера F= Е (
)
/Е (
)
окажется больше критического
то нулевая
гипотеза H0 при уровне значимости
,
отвергается и принимается альтернативная гипотеза H1, - о существенном
воздействии фактора рис. 1, а. [4, с. 24].
Однофакторный дисперсионный анализ
Имеется группа из п объектов наблюдения с
измеренными значениями некоторой исследуемой переменной
.
На переменную
оказывает
воздействие некоторый качественный фактор
с
несколькими
уровнями
(градациями) воздействия. Измеренные значения переменной
при
различных уровнях фактора
приведены в
таблице 2 (они также могут быть представлены в матричном виде).
Таблица 2.
Табличная форма задания исходных данных для однофакторного анализа
|
Номер
объекта наблюдения |
Значения
переменной |
|||
|
|
|
|
… |
|
|
1 2 … n |
|
|
|
|
Здесь каждый уровень может содержать разное
количество откликов, измеренных при одном уровне фактора, тогда каждому столбцу
будет соответствовать свое значение
.
Требуется оценить значимость влияния данного фактора на исследуемую переменную.
Для решения этой задачи может использоваться однофакторная модель
дисперсионного анализа. Однофакторная дисперсионная модель.
- значение
исследуемой переменой для -го объекта наблюдения при
-м
уровне фактора;
- групповая
средняя для
- го уровня
фактора;
- эффект,
обусловленный влиянием -го уровня фактора;
- случайная
компонента, или возмущение, вызванное влиянием неконтролируемых факторов. Итак
выделим основные ограничения использования дисперсионного анализа: