Дослідження проводились у три етапи:
На першому етапі - (вересень 2013-жовтень 2013рр.) вивчалась науково методична література.
На другому етапі - (листопад 2013-січень2014рр.) проводились дослідження, складались таблиці і діаграми, проводилось анкетування, оформлювалися перший і другий розділи роботи, обраховувались результати досліджень.
На третьому етапі
(лютий2014-квітень2014рр.) аналізувалась динаміка досліджень. Оформлювався
третій розділ і висновки.
РОЗДІЛ 3. АНАЛІЗ ПОКАЗНИКІВ ТИЖНЕВОЇ
РУХОВОЇ АКТИВНОСТІ ДІТЕЙ СТАРШОГО ШКІЛЬНОГО ВІКУ 15-16 РОКІВ
.1 Характеристика рівнів рухової
активності юнаків та дівчат старшого шкільного віку 15-16 років
Методика Фремінгемського дослідження заснована на реєстрації діяльності людини протягом доби або тижня, вона дає змогу отримати повну інформацію про тривалість конкретного виду діяльності та відпочинку, про чергування фізичних навантажень різної інтенсивності, про сумарну тривалість різних видів діяльності. Такий діапазон можливостей дозволяє кваліфікувати методику хронометражу як об’єктивну точну інформацію. Як приклад пропонуємо ознайомитися з методикою науковця Фремінгемського університету (США) для дітей та підлітків.
В повсякденному житті людей існує п’ять видів рівня рухової активності:
Базовий рівень, до нього належить сон, відпочинок лежачи;
Сидячий рівень - поїздка в транспорті, читання, малювання, перегляд телепередачі, настільні та комп’ютерні ігри;
Малий рівень - особиста гігієна, уроки в школі (крім фізичної культури та трудового навчання), ходіння пішки;
Середній рівень - домашня робота, прогулянка, ранкова гімнастика, рухливі перерви у школі;
Високий рівень - фізичні вправи під час спеціально організованих занять (фізична культура та тренування), інтенсивні ігри, біг, катання на санках, ковзанах, велосипеді, лижах, самокаті, роликах тощо.
Для того щоб визначити кількість часу, витраченого на кожен із видів рухової активності, потрібно провести добовий або тижневий хронометраж видів діяльності людини: фіксувати відрізки часу, витрачені на кожен виду такій послідовності, в якій вони чергують.
Хронометраж зазвичай здійснюють або
дослідники та реєструють його в індивідуальній карті дитини. Школярі середнього
та старшого шкільного віку, можуть проводити хронометраж самостійно
[50].
Таблиця 3.1 Рухова активність учнів
старших
класів за тиждень міської місцевості
БР
СИР
МР
СР
ВР
60год
6год. 30хв.
70год.
30хв.
28год. 20хв.
2год. 40хв.
58год. 50хв.
9год. 20хв.
59год. 10хв.
38год.
2год. 40хв.
61год. 40хв.
9год. 10хв.
55год.
20хв.
38год. 10хв.
3год. 40хв.
63год. 20хв.
8год. 20хв.
56год.
30хв.
36год.
10хв.
3год. 40хв.
57год. 50хв.
10год. 10хв.
63год.
34год.
20хв.
2год. 40хв.
61год. 10хв.
9год. 50хв.
55год. 10хв.
39год. 10хв.
2год. 40хв.
В таблиці 3.1, вказана рухова
активність в годинах та хвилинах юнаків та дівчат
міської
місцевості. Середнє значення кожного рівня становить: базовий рівень 60 год. 30
хв., сидячий рівень 8 год. 50 хв., малий рівень 59 год. 50 хв., середній рівень
35 год. 40 хв., високий рівень 3 год.
Рис. 3.1 Рухова активність
учнів
старших
класів за тиждень міської місцевості
Таблиця 3.2 Рухова активність учнів
старших класів за тиждень сільської місцевості
БР
СИР
МР
СР
ВР
60год. 30хв.
8год. 30хв.
47год. 45хв.
36год. 15хв.
15год.
59год. 30хв.
10год. 30хв.
53год. 40хв.
30год. 20хв.
14год.
61год. 30хв.
9год. 30хв.
48год. 50хв.
35год. 10хв.
13год.
60год. 30хв.
8год.
64год. 30хв.
23год. 10хв.
11год.
50хв.
61год. 10хв.
8год.
59год. 45хв.
29год. 15хв.
9год. 50хв.
62год. 20хв.
9год. 20хв.
62год. 10хв.
33год. 50хв.
7год. 20хв.
В таблиці 3.2 вказана рухова
активність за тиждень в годинах та хвилинах юнаків та дівчат сільської
місцевості. Середнє значення кожного рівня становить: базовий рівень 61 год.,
сидячий рівень 9год., малий рівень 56 год. 10 хв., середній рівень 31 год. 10
хв., високий рівень 11 год. 50 хв.
В таблиці 3.3 наданий порівняльний
аналіз показників тижневої рухової активності юнаків і дівчат старших класів 15-16
років спортсменів та не спортсменів.
Таблиця 3.3 Порівняльна
таблиця показників тижневої рухової активності учнів старших класів міської та
сільської місцевості
Учні сільської місцевості
стать
БР
СИР
МР
СР
ВР
Юн.
60год. 30хв.
8год. 30хв.
47год. 45хв.
36год. 15хв.
15год.
Юн.
59год. 30хв.
10год. 30хв.
53год. 40хв.
30год. 20хв.
14год.
Юн.
61год. 30хв.
9год. 30хв.
48год. 50хв.
35год. 10хв.
13год.
Дів.
60год. 30хв.
8год.
64год. 30хв.
23год. 10хв.
11год.
50хв.
Дів.
61год. 10хв.
8год.
59год. 45хв.
29год. 15хв.
9год. 50хв.
Дів.
62год. 20хв.
9год. 20хв.
62год. 10хв.
33год. 50хв.
7год. 20хв.
Учні сільської місцевості
Юн.
60год
6год. 30хв.
70год.
30хв.
28год. 20хв.
2год. 40хв.
Юн.
58год. 50хв.
9год. 20хв.
59год. 10хв.
38год.
2год. 40хв.
Юн.
61год. 40хв.
9год. 10хв.
55год.
20хв.
38год. 10хв.
3год. 40хв.
Дів.
63год. 20хв.
8год. 20хв.
56год.
30хв.
36год.
10хв.
3год. 40хв.
Дів.
57год. 50хв.
10год. 10хв.
63год.
34год.
20хв.
2год. 40хв.
Дів.
61год. 10хв.
9год. 50хв.
55год. 10хв.
39год. 10хв.
2год. 40хв.
В таблиці 3.3 подана порівняльна
характеристика показників рухової активності юнаків та дівчат міської та сільської
місцевості в годинах та хвилинах. Ця таблиця поєднана з вище вказаними
таблицями 3.1 і 3.2 для того, щоб виявити різницю в часі базового рівня,
сидячого рівня, малого рівня, середнього рівня і високого. Порівнявши найвищий
і найнижчий показник кожного з цих рівнів можемо зробити висновок, що базовий
рівень - максимум 63год. 20хв., мінімум 57год. 50хв.; сидячий рівень - максимум
10год. 30хв., мінімум 6год. 30хв.; малий рівень - максимум 70год. 30хв.,
мінімум 47год. 50хв.; середній рівень - максимум 39год. 10хв., мінімум 28год.
20хв.; високий рівень - максимум 15год., мінімум 2год., 40хв.
Рис.3.3 Порівняльна таблиця показників тижневої рухової активності
учнів старших класів міської та сільської місцевості
Рис.3.4 Порівняльна характеристика
тижневого рівня рухової активності юнаків старших класів міської та сільської
місцевості
На цьому рисунку вказано режим рухової
активності за тиждень юнаків міської та сільської місцевості. Аналізуючи,
можемо вказати що на базовому рівні енергозатрати однакові, сидячий рівень у
сільських юнаків дещо перевищує рівня міських юнаків за рахунок більших
енерговитрат за рахунок фізичної праці та гри в футбол у вільний час, малий
рівень у міських юнаків перевищує рівень сільських юнаків тому, що у сільських
юнаків відсутня фізична праця і різні ігри, середній рівень у міських юнаків
перевищує рівень сільських юнаків за рахунок відсутності фізичної праці,
високий рівень у сільських юнаків набагато перевищує рівень міських юнаків у
зв’язку з регулярною інтенсивною фізичною працею та різноманітними іграми на
стадіоні у вільний час.
Рис.3.5 Порівняльна характеристика
тижневого рівня рухової активності дівчат старших класів міської та сільської
місцевості.
На рисунку 3.2 представлена
порівняльна характеристика рухової активності за тиждень дівчат міської та
сільської місцевості 15-16 років.
Зробивши порівняльну характеристику
базового рівня ми виявили незначну різницю, оскільки дівчата міської та
сільської місцевості мали, майже, однаковий режим сну. Сидячий рівень також
виділяється незначними показниками. Малий рівень у сільських дівчат перевищує
рівень міських дівчат, це пояснює тим, що у сільських дівчат більше часу займає
малорухомий тип діяльності за рахунок малої кількості середнього рівня.
Середній рівень характеризується тим, що міські дівчата використовують більшу
кількість часу на діяльність середнього рівня, ніж сільські дівчата, а у
сільських дівчат набагато підвищений малий рівень. Також до цих рівнів рухової
активності входить високий рівень, у сільських дівчат певним чином він буде
набагато вищий ніж у міських дівчат тому, що у міських дівчат на цей рівень
входить два уроки фізичної культури і кілька спортивних секцій на тиждень, а у
сільських дівчат два уроки фізичної культури, кілька спортивних секцій а також
майже щоденна фізична праця.
Рис.3.6 Порівняльна
характеристика тижневого рівня рухової активності юнаків та дівчат старших
класів міської та сільської місцевості.
На рисунку 3.3 відображена рухова
активність базового рівня (БР), сидячого рівня (СИР), малого рівня (МР),
середнього рівня (СР) і високого рівня (ВР) юнаків та дівчат міської та
сільської місцевості. Кожний стовпчик цього рисунку є показником кількості
використаних годин кожного рівня за тиждень.
Характеризуючи “малий”
рівень необхідно проаналізувати час, що відводиться на: особисту гігієну, уроки
в школі, переміщення в транспорті, перегляд телевізора та інші.
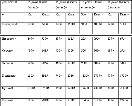
Таблиця 3.4 Показники тижневої
рухової активності юнаків та дівчат старших класів міської та сільської місцевості
«малого» рівня
Динаміка середньостатистичних
показників «малого» рівня рухової активності на протязі тижня у юнаків та
дівчат 15-16 років показує, що найбільша кількість рухової активності на цьому
рівні спостерігається у будні, і такий рівень за тиждень набувається учнями за
рахунок переміщення пішки по дорозі до школи та за рахунок уроків в школі.
Характеризуючи “середній”
рівень необхідно проаналізувати час, що відводиться на: допомогу по
господарству.
Динаміка середньостатистичних
показників «середнього» рівня рухової активності на протязі тижня у юнаків та
дівчат15-16 років показує, що найбільша кількість рухової активності на цьому
рівні спостерігається у вихідні, і такий рівень за тиждень набувається учнями
за рахунок допомоги по господарству.
Характеризуючи «сидячого» рівень
необхідно проаналізувати час, що відводиться на: харчування вдома та школі,
відпочинок.
Таблиця 3.5 Показників тижневої
рухової активності юнаків та дівчат старших класів міської та сільської
місцевості «середнього» рівня
Таблиця 3.6 Показників тижневої
рухової активності юнаків та дівчат старших класів міської та сільської
місцевості «сидячого» рівня
Динаміка середньостатистичних
показників «сидячого» рівня рухової активності на протязі тижня у юнаків та
дівчат 15-16 років показує, що на цьому рівні спостерігається майже однакова
кількість витрачення часу для цього рівня протягом цілого тижня, і такий рівень
за тиждень набувається учнями за рахунок відпочинку, харчування вдома та школі,
читання книги.
Характеризуючи «високий» рівень
необхідно проаналізувати час, що відводиться на: заняття фізичної культури і
регулярні тренування у спортсменів та спортсменок.
Таблиця 3.7 Показників тижневої
рухової активності юнаків та дівчат старших класів міської та сільської
місцевості «високого» рівня
Динаміка середньостатистичних
показників «високого» рівня рухової активності на протязі тижня у юнаків та
дівчат 15-16 років показує, що найбільша кількість рухової активності на цьому
рівні спостерігається міських юнаків та дівчат за рахунок тих днів коли
проводяться уроки фізичної культури, спортивних секцій а в сільських юнаків та
дівчат на протязі буденних днів і такий рівень за тиждень набувається учнями за
рахунок фізичної культури, спортивних секцій та допомоги по господарству.
Характеризуючи «базовий» рівень
необхідно проаналізувати час, що відводиться на: сон.
Таблиця 3.8 Показників тижневої
рухової активності юнаків та дівчат міської та сільської місцевості «базового»
рівня
Динаміка середньостатистичних
показників «базового» рівня рухової активності на протязі тижня у юнаків та
дівчат 15-16 років показує, що час затрачений на цей рівень майже однаковий
протягом усього тижня і такий рівень за тиждень набувається учнями за рахунок
сну.
Висновки до третього
розділу
Аналізуючи дані
літературних джерел можна відмітити, що старший шкільний вік (15-16 років)
збігається із закінченим статевого дозрівання і гормональної перебудови.
Пропорції тіла наближаються до показників дорослих, завершується розвиток ЦНС.
Фактична спеціально
організована рухова активність обмежується 3-4 годинами на тиждень, що виступає
30% від гігієнічної норми. Основним критерієм виступає нормування тижневої
рухової активності яка є сприятлива динаміка зростання, розвитку і стану
здоров’я більшості дітей старшого шкільного віку.
Для визначення тижневого
рівня рухової активності нами було застосоване анкетування, а в результаті
математичної обробки анкет хронометражу ми визначили, що у міських юнаків за
тиждень базовий рівень складає 60 годин-що складає 4,500Ккал., сидячий рівень 6
годин і 30хвилин-це 546Ккал., малий рівень 70 година і 30 хвилин-це 8667Ккал.,
середній рівень 39 годин 10 хвилин-це 4817Ккал., високий рівень 3 години і 40
хвилин-це 1375Ккал; у міських дівчат базовий рівень складає 61 годин і 20
хвилин-це 4600Ккал., сидячий рівень 9 годин і 50 хвилин-це 591Ккал., малий
рівень 70 годин і 30 хвилин-це 8671Ккал., середній рівень 39 годин і 10
хвилин-це 7050Ккал., високий рівень 2 година 40хвилин-це 1000Ккал. У сільських
юнаків за тиждень базовий рівень складає 60 годин і 30 хвилин-це 4,537Ккал.,
сидячий рівень 8 годин і 30 хвилин-це 714Ккал., малий рівень 48 годин і 50
хвилин-це 6006Ккал., середній рівень 35 годин і 10 хвилин-це 6330Ккал., високий
рівень 15годин-це 5625Ккал.; у сільських дівчат базовий рівень складає 60 годин
і 30 хвилин-це 4,537Ккал., сидячий рівень 8 годин-це 672Ккал., малий рівень 59
години і 45 хвилин-це 3585Ккал., середній рівень 35 годин і 50 хвилин-це
6450Ккал., високий рівень 9 годин і 50 хвилин-це 3687Ккал.
Дані «сидячого» рівня
юнаків та дівчат 15-16 років дають зрозуміти, що найбільше цього рівня на
вихідних днях за рахунок: відсутні заняття в школі, відсутнє бажання піти на
вулицю позайматися самостійно або прогулятися (залежно від сільських юнаків
дівчат), певна залежність від телебачення і комп’ютера.
В наших дослідженнях ми
зробили порівняльну характеристику рівня тижневої РА юнаків і дівчат міської та
сільської місцевості. Дійшли висновку, що в юнаків та дівчат сільської
місцевості рівень РА дорівнює нормі за рахунок фізичної праці, а в міських
юнаків та дівчат рівень РА не відповідає нормі фізіологічних потреб у зв’язку з
недостатнім обсягом високого рівня РА.
ПРАКТИЧНІ РЕКОМЕНДАЦІЇ
У результаті наших
досліджень ми виявили, що у міських юнаків і дівчат рівень рухової активності
не відповідає гігієнічним нормам за рахунок обмеження або не достатку високого
рівня. Для підвищення рівня рухової активності необхідно систематичне виконання
ранкової гігієнічної гімнастики кожного ранку 10-15 хвилин, відвідувати більше
секцій або гуртків з виду спорту 3-4 рази на тиждень, самостійно виконувати заняття
з видів фізичної рекреації, більше часу приділяти активному відпочинку,
прогулянкам. Проводити щомісячні дні здоров’я і спорту, змагання, згідно плану
фізкультурно-масової та оздоровчої роботи, туристичні походи, екскурсії.
Під час комплектування
груп необхідно враховувати інтереси груп учнів, провести анкетування з учнями
яким би вони хотіли займатися спортом, врахувати рівень їх фізичного розвитку,
стан здоров’я, розвиток рухових якостей, фізичну підготовку і фізичну
підготовленість. Також доцільно рекомендувати оздоровчий біг та ходьбу,
обов’язково виконувати домашнє завдання що задають на уроці фізичної культури,
це може бути згинання і розгинання рук в упорі лежачи, вистрибування вгору з
упору присід, скручування тулуба лежачи в упор сид. Оздоровча ходьба або
оздоровчий біг самий доступний вид фізичних вправ, і може бути доступним як
юнакам так і дівчатам.
Загальні
висновки
1. У дітей старшого шкільного віку рухова активність звичайно
спонтанна, неорганізована, і як правило представляє собою періодичні повторюючи
короткі відрізки. Наприклад, за допомого прямого спостереження було помічено,
що рухова активність у юнаків та дівчат цього віку має переважно періодичний
характер. Старший шкільний вік (15-16 років) - період завершення зростання організму
та окремих частин, збільшення функціональних резервів, завершується гармонійна
перебудова, пов’язана із статевим дозріванням, центральна нервова система стає
біль урівноважена. Юнаки цього віку стають відвідувати тренажерний зал для
збільшення м’язової маси, дівчат стають слідити за своєю фігурою.
. Підчас написання
магістерської дипломної роботи були використані такі методи організації
досліджень:
Аналіз
літературних джерел - процес ознайомлення з літературними джерелами по
проблемі, що цікавить дослідника.
Соціальний
метод (метод анкетування). Опитування - метод збору соціальної інформації про
досліджуваний об'єкт підчас безпосереднього (інтерв'ю) чи опосередкованого
(анкетування) соціально-психологічного спілкування соціолога та респондента
через реєстрацію відповідей респондентів на сформульовані запитання.
Методика
Фремінгемського дослідження рухової активності (метод хронометражу). Метод
хронометражу призначений для здобуття даних, характеризуючи структуру і
динаміку процесу проектування.
Педагогічне
спостереження. Характеристика педагогічного методу спостереження. Педагогічне
спостереження є планомірним аналізом і оцінкою індивідуального методу
організації учбово-виховного процесу без втручання дослідника в ході цього
процесу.
. Для визначення тижневого
рівня рухової активності нами було застосоване анкетування, а в результаті
математичної обробки анкет хронометражу ми визначили, що у міських юнаків за
тиждень базовий рівень складає 60 годин-що складає 4,500Ккал., сидячий рівень 6
годин і 30хвилин-це 546Ккал., малий рівень 70 година і 30 хвилин-це 8667Ккал.,
середній рівень 39 годин 10 хвилин-це 4817Ккал., високий рівень 3 години і 40
хвилин-це 1375Ккал; у міських дівчат базовий рівень складає 61 годин і 20
хвилин-це 4600Ккал., сидячий рівень 9 годин і 50 хвилин-це 591Ккал., малий
рівень 70 годин і 30 хвилин-це 8671Ккал., середній рівень 39 годин і 10
хвилин-це 7050Ккал., високий рівень 2 година 40хвилин-це 1000Ккал. У сільських
юнаків за тиждень базовий рівень складає 60 годин і 30 хвилин-це 4,537Ккал.,
сидячий рівень 8 годин і 30 хвилин-це 714Ккал., малий рівень 48 годин і 50
хвилин-це 6006Ккал., середній рівень 35 годин і 10 хвилин-це 6330Ккал., високий
рівень 15годин-це 5625Ккал.; у сільських дівчат базовий рівень складає 60 годин
і 30 хвилин-це 4,537Ккал., сидячий рівень 8 годин-це 672Ккал., малий рівень 59
години і 45 хвилин-це 3585Ккал., середній рівень 35 годин і 50 хвилин-це
6450Ккал., високий рівень 9 годин і 50 хвилин-це 3687Ккал.
. Після написання роботи
можна зробити такі висновки, що рухова активність у юнаків та дівчат старшого
шкільного віку міської місцевості набагато нижча ніж у дітей сільської
місцевості і не відповідає гігієнічним і фізіологічним нормам даного віку.
Рухова активність дітей сільської місцевості відповідає гігієнічним і
фізіологічним нормам організму людини даного віку за рахунок фізичної праці.
У результаті наших
досліджень ми виявили, що у міських юнаків і дівчат рівень рухової активності
не відповідає гігієнічним нормам за рахунок обмеження або не достатку високого
рівня. Для підвищення рівня рухової активності необхідно систематичне виконання
ранкової гігієнічної гімнастики кожного ранку 10-15 хвилин, відвідувати більше
секцій або гуртків з виду спорту 3-4 рази на тиждень, самостійно виконувати
заняття з видів фізичної рекреації, більше часу приділяти активному відпочинку,
прогулянкам. Проводити щомісячні дні здоров’я і спорту, змагання, згідно плану
фізкультурно-масової та оздоровчої роботи, туристичні походи, екскурсії.
СПИСОК ВИКОРИСТАННЯ
ДЖЕРЕЛ
1. Барбіна Є.С.,
Городинська І.В. Становлення і розвиток ліцеїв і гімназій як закладів нового
типу / Є.С. Барбіна, І.В. Городинська - Педагогічні науки. - Випуск 32. -
Херсон: Видавництво ХДПУ, 2002. - С.20-24.
2. Бардов В.Г. Гігієна та
екологія: Підручник / За редакцією В.Г. Бардова. - Вінниця: Нова Книга, 2006. -
406 с.
. Баранов А.А. Физиология
роста и развития детей и подростков: (теоретические и клинические вопросы).
Т.1: Руководство / Ред. А.А. Баранов, Л.А. Щеплягина. - [ 2-е изд.]. - М.:
ГЭОТАР - МЕДИА, 2006. - 432 с.
4. Безруких М.М.
Возрастная физиология (Физиология развития ребенка) / М.М. Безруких, В.Д.
Сонькин, Д.А. Фарбер - М.: ИЦ 'Академия, 2002. - 416 с.
5. Бех І.Д.
Виховання особистості / І.Д. Бех. - К.: Либідь, 2003.- 215-225 с.
6. Біла І.В.
Дитина відкриває навколишній світ / В.І. Біла Дошкільне
виховання.- 2005.- №6.- 26-28 с.
. Біла І.В.
Дитина відкриває навколишній світ / І.В. Біла - Дошкільне
виховання.- 2005.- №6.- 26-28 с.
8. Бурдіян Л.І. Проблеми
здоров'я в підготовці учителя фізичної культури / Л.І Бурдіян, В.С.
Язловецький, Б.В. Согрін, І.І. баєва - Актуальні проблеми з оздоровчої
фізкультури в навчальних закладах України. - Кіровоград, 1997. - 78 с.
9. Всеукр. студ.
наук.-практ. конф. - Суми, 2007. - 81 - 87 с.
. Гальперин С.И.
Анатомия и физиология человека. Возрастные особенности с основами школьной
гигиены / І.С. Гальперин - М.: Высшая школа, 1974. - 468 с.
11. Городинська
І.В. Організація позакласної роботи з фізичного виховання в ліцеях і гімназіях
(9-11кл.) / І.В. Городовсько - Навчально-методичний посібник. - Херсон:
Видавництво ХДПУ, 2002. - 40 с.
. Городинська
І.В. „Малі олімпійські ігри” як дієва форма позакласної роботи з фізичного
виховання учнів ліцеїв та гімназій / І.В. Городовська - Молода спортивна наука
України. - Вип.7. - Т.2. - Львів: НВФ "Українські технології", 2003.
- 162-165 с.
. Городинська
І.В. Деякі проблеми особистісно-орієнтованого фізичного виховання учнів
загальноосвітніх закладів / І.В. Городовська - Педагогічні науки. - Випуск 31.
- Херсон: Видавництво ХДПУ, 2002. - 206 с.
14. Городинська
І.В. Особливість організації фізичного виховання учнів гімназій, шкіл і ліцеїв
/ І.В. Городовська - Пдагогічні науки. - Випуск 16. -Херсон: Айлант, 2000. -
110-112 с.
15. Горбуля В.Б., Рухливі
ігри. / В.Б. Горбуля - Запоріжжя 2005. - 146 с.
16. Глазирін І.Д. Основи
диференційованого фізичного виховання. - Випуск
Черкаського університету. 2003. - 8-9 с.
17. Жабокрицька
О.В. Традиційні методи й системи оздоровлення: Навчальний посібник / О.В.
Жабокрицька, В.С. Язловецький - Кіровоград: РВЦ КДПУ ім. В. Вінниченка, 2001. -
187 с.
18. Єрмолова В.М.
Нова
програма 12 - річної школи. Фізична культура 5-12 класи
/ В.М. Єрмолова,
М.Д. Зубалій
- Київ, 2005. - 84 с.
19. Іллюшина Н.А. Сучасні підходи до
підвищення рухової активності підлітків / Н.А. Іллюшина, О.Я. Кібальник / Сучасні
проблеми фізичного виховання і спорту школярів та студентів України. - 2003. -
337 с.
20. Картавцев Р.Л.
Особенности
личности современного подростка и условия ее формирования /
Р.Л. Картавцев,
Г.А. Слабкий
Современная педиатрия. - 2005. - № 2. - 293 с.
. Карпова І.Б.
Фізична
культура та формування здорового способу життя
/ І.Б. Карпова, В.Л. Корчинський,
А.В. Зотов - Навч. посіб. - К.: КНЕУ, 2005.
- 323 с.
22. Кібальник О.Я.
Рівень рухової активності підлітків окремих регіонів України / Актуальні
проблеми фізичного виховання і спорту: матеріали ІІ Міжнар. наук. конф. - Х.,
2006. - 64 - 67 с.
. Кібальник О.Я.
Особливості розвитку інтересу до занять фізичною культурою підлітків північного
та центрального регіонів України / О.Я. Кібальник, О.А. Томенко / Сучасні
проблеми фіз. виховання і спорту школярів та студентів України: зб. наук. ст. в
галузі фіз. культури та спорту. - Суми, 2006. - 36 - 41 с.
. Кібальник О.Я.
Оздоровча аеробіка в системі фізичного виховання молодших школярів / О.Я. Кібальник - Сучасні проблеми
фізичного виховання і спорту школярів та студентів України: матеріали V Всеукр.
наук.-практ. конф. - Суми, - 2005. - 159 - 161 с.
25. Кібальник
О.Я. Підвищення рухової активності підлітків з використанням занять фітнесом
оздоровчого спрямування: навч.- метод. посібник / О.Я. Кібальник. - Суми:
СумДПУ ім. А.С. Макаренка, 2006. - 48 с.
26. Круцевич, Т.Ю.
Общие основы теории и методики физического воспитания / Т.Ю. Круцевич. - К. :
Олимп. литература. - 2003. - Ч. 2. - 154-170 с.
27. Кібальник
О.Я. Підвищення рухової активності старшокласників з використанням занять
фітнесом оздоровчого спрямування: навч.- метод. посібник / О.Я. Кібальник. -
Суми: СумДПУ ім. А.С. Макаренка, 2007. - 48 с.
. Кібальник
О.Я. Фітнес-технологія як засіб підвищення рухової активності та фізичної
підготовленості підлітків 15-17 років / О.Я. Кібальнек - Педагогіка, психологія
та медико-біологічні проблеми фізичного виховання і спорт: наук. моногр. / за
ред. С.С. Єрмакова. - 2008. - №3. - 78-81 с.
. Кібальник
О.Я. Ефект впровадження фітнес-технології в систему фізичного виховання
підлітків 15 - 17 років / О.Я. Кібальник - Педагогіка, психологія та
медико-біологічні проблеми фізичного виховання і спорту: наук. моногр. / за
ред. С.С. Єрмакова. - 2007. - №10. - 62 - 65 с.
. Кібальник
О.Я. Оздоровчі технології для підвищенні рухової активності підлітків / О.Я.
кібальник - Теорія та методика фізичного виховання і спорту. - 2007. - № 4. -
63 - 66 с.
. Кібальник
О.Я. Оптимізація рівня рухової активності старшокласників 15-16 років шляхом
впровадження фітнес-технології в систему фізичного виховання / О.Я. Кібальник -
Педагогіка, психологія та медико-біологічні проблеми фізичного виховання і
спорту: наук. моногр. / за ред. С.С. Єрмакова. - 2007. - № 9. - 73 - 77 с.
. Кібальник
О.Я. Динаміка саморефлексії тілесного потенціалу у підлітків під впливом занять
по запропонованій фітнес-технології / О.Я. Кібальник - Молода спортивна наука
України: зб. наук. пр. з галузі фіз. культури і спорту. - Л., 2007. - Вип. 11.
- Т. 1. - 21 - 22 с.
. Кібальник
О.Я. Відношення до фізичної культури підлітків північного та центрального
регіонів України / О.Я. Кібальник, О.А. Томенко / Молода спортивна наука
України: зб. наук. пр. з галузі фіз. культури та спорту. - Л., 2006. - Вип. 10.
- Т. 3. - 110 - 114 с.
34. Коренев Н.М. Состояние
здоровьяи физического развития подростков и старшокласников Украины / Н.М.
Коренев, А.Б. Немирова, Л.П. Булага, Е.Н. Коломиец, Е.А. Кириллова, О.Я.
Михальчук - Проблеми медичної науки та освіти. - 2005. - № 4. - 57 с.
. Круцевич Т.Ю. Теория и
методика физического воспитания / Т.Ю. Круцевич - К.: Олимпийская литература. -
Т. 1. - 458 с.
. Круцевич Т.Ю. Теория и
методика физического воспитания / Т.Ю. Круцевич - К.: Олимпийская литература. -
Т. 2. - 472 с.
37. Лапін В.М.
Безпека життєдіяльності людини.- Л.:Знання, 2000.- 56 с.
38. Медведовська Н.В. Стан
здоров’я підлітків та особливості їхнього способу життя / Н.В. Медведовська,
С.Д Пономаренко, Т.К. Кульчицька, О.В. Олексієнко - Україна. Здоров’я нації. -
2007. - 3-4. - 273 с.
. Меньших О.Е. Оцінка
рівня психофізичного розвитку учнів старшого шкільного віку / О.Е. Меньших /
Актуальні проблеми психології: зб. наук. пр. Інституту
психології ім. Г.С. Костюка АПН України. - К., 2007. - Т. 7. - Вип. 11. -
194-199 с.
. Меньших О.Е. Функції уваги
учнів старшого шкільного віку з різним рівнем фізичного розвитку / О.Е. Меньших
/ Актуальні проблеми психології: Психофізіологія. Психологія праці.
Експериментальна психологія. - К., 2007. - Т.V. - Вип. 6. - 221-228
с.
. Меньших О.Е. Сенсомоторна
реактивність і фізичний розвиток учнів 7-16 років / О.Е. Меньших / Збірник
наукових праць Інституту психології ім. Г.С. Костюка АПН України. Проблеми
загальної та педагогічної психології. - К., 2007. - Т. ІХ., ч. 6. - 266-273
с.
. Меньших О.Е. Зв'язок
функціональної рухливості нервових процесів з фізичним розвитком хлопців
середнього шкільного віку / М.В. Макаренко, В.С. Лизогуб, Т.В. Борейко, В.О.
Пустовалов, Ю.О. Петренко, О.Е. Меньших,
Biomedical and Biosocial Anthropology. -
2005. - № 4. - 11-14
р.
. Меньших О.Е. Вікова
динаміка становлення пам'яті хлопців та дівчат 13-16 років з різним рівнем
фізичного розвитку / О.Е. Меньших,
Вісник Черкаського університету. Серія Біологічні науки, 2006. - Вип. 91. -
108-114 с.
. Меньших О.Е. Зв'язок
функціональної рухливості нервових процесів з фізичним розвитком дітей
шкільного віку / М.В. Макаренко, В.С. Лизогуб,
Вісник Черкаського університету, 2006.-Вип. 91- 108-114 с.
. Осадчук Н.І. Моніторинг
стану здоров’я учнів / Сборник научных трудов по материалам международной
научно-практической конференции. Перспективные инновации в науке, образовании,
производстве и транспорте -2008. Том 4. Медицина. Одесса 2008. - 67-69
с.
46. Романенко
В.А. Диагностика двигательных способностей
/ В.А. Романенко - Донецк.: ДонНУ, 2005.
- 290
с.
47. Ральф Паффенбаргер.
Влияние двигательной активности на состояние здоровья и продолжительность жизни
/ Наука в олимпийском спорте: Спец. выпуск. - 2000. - 25-33 с.
. Сергета І.В. Сучасні
підходи до здійснення комплексної оцінки стану здоров’я дітей, підлітків та
молоді в ході проведення гігієнічних досліджень. / В.І. Сергетта, К.А. Зайцева,
Н.І. Осадчук, Д.П. Сергетта - Biomedical
and
Biosocial
Antropology.
-Вінниця: ВНМУ ім. М.І.Пирогова. 2009, №13. -
15-18
с.
. Сергета І.В.
Узагальнений
показник гармонійності фізичного розвитку школярів /
В.І. Сергета, Н.І. Осадчук - Biomedical and Biosocial
Antropology. -: ВНМУ ім. М.І. Пирогова.
January 2009, №12. - 11-15 с.
50. Слепкань 3. П. Наукові
засади педагогічного процесу у вищій школі / З.П. Слепкань - К., 2000. - 98 с.
. Круцевч Т.Ю. Контроль
у фізичному вихованні дітей, підлітків і молоді : навч. Посіб / М. І. Воробйов,
Г. В. Безверхня - К. Олімп. література, 2011. - 224 с.
. Шиян Б. М. Теорія і
методика фізичного виховання школярів / Б.М. Шиян - Частина І. Тернопіль.
2001.- 271 с.
. Шиян Б. М. Теорія і
методика фізичного виховання школярів / Б.М. Шиян - Частина ІІ. Тернопіль.
2002. - 247 с.
. Плахтій П.Д.
Фізіологічні основи фізичного виховання школярів / П.Д. Плахтій - Кам'янець-
Подільський, 2001. - 183 с.
. Шиян Б.М. Теорія і
методика фізичного виховання школярів / Б.М. Шиян - Тернопіль, 2001. - 196 с.
. Шиян Б.М. Теорія
фізичного виховання / Б.М. Шиян, В.Г. Папуша - Тернопіль, 2000. - 178 с.
. Явник О.Е. Особливості
фізичного розвитку школярів з різними типологічними властивостями ВНД / М.В.
Макаренко, В.С. Лизогуб, В.О. Пустовалов, Ю.О. Петренко, О.Е. Явник (О.Е.
Меньших) / Вісник Черкаського університету. Серія Біологічні науки, 2005. -
Вип. 71. - 74-81 с.
58. Яковлева Э.Б.
Пубертатный
период - современные взгляды на проблему /
Є.Б. Яковлева,
Н.Б.
Касьянова,
О.А.
Чурилова Укр. мед. альманах. - 2006. -Т. 9, № 6. - 163
с.
. "Инструктивно -
методические рекомендации относительно организации физкультурно-оздоровительной
работы в учебно-воспитательных заведениях Украины", Министерство
образования Украины, 2006г. - 215 с.
- базовий рівень;
- сидячий рівень;
- малий рівень;
- середній рівень;
- високий рівень

- базовий рівень;
- сидячий рівень;
- малий рівень;
- середній рівень;
- високий рівень
- базовий рівень;
- сидячий рівень;
- малий рівень;
- середній рівень;
- високий рівень
- сільські юнаки;
- міські юнаки