Материал: О́птика шпора 2.3

Внимание! Если размещение файла нарушает Ваши авторские права, то обязательно сообщите нам

Источник: http://page-book.ru/i320312

Детлаф А.А. Яворский Б.М. Курс физики. Том III Волновые процессы. Оптика. Атомная и ядерная физика (стр. 188-191)

Излучение Вавилова - Черенкова (Cerenkov Radiation)

    Излучение Вавилова - Черенкова возникает при движении заряженной частицы любой массы в веществе с показателем преломления  , где ε - диэлектрическая постоянная вещества (в общем случае ε - комплексная величина), если скорость частицы v превышает фазовую скорость c/n электромагнитных волн в этом веществе.

     Основные характеристики

Заряженная частица - электрон.

Порог

v > c/n,  .

Вещество прозрачно для черенковского излучения, т.е.

|Im ε| ~<< Re  .

Пороговая энергия (в МэВ)

,

= n(ω). Так для воды при длине волны излучения ~0.4 мкм n ~1.3 и Ethr ~0.5 МэВ.

Спектр

Спектр непрерывный, практически нарастающий линейно до ωmax при n(ωmax) = c/v;  ωmax ~< 10 - 30 эВ (ближний ультрафиолет; при больших частотах излучение происходит лишь в отдельных узких интервалах энергий). Спектральная интенсивность (на единицу пути)

.

Интегральная энергия излучения (в эВ/см)

.

Угловые характеристики

Конус с угловым раствором

.

Интервал углов  .

Поляризация излучения

Вектор электрического поля фотона лежит в плоскости скорости v и напавления излучения.

19

Поляризация света (=Поляризация волн)

Поляризация волн — явление нарушения симметрии распределения возмущений в поперечной волне (например, напряжённостей электрического и магнитного полей в электромагнитных волнах) относительно направления её распространения. В продольной волне поляризация возникнуть не может, так как возмущения в этом типе волн всегда совпадают с направлением распространения.

Поперечная волна характеризуется двумя направлениями: волновым вектором и вектором амплитуды, всегда перпендикулярным к волновому вектору. Так что в трёхмерном пространстве имеется ещё одна степень свободы — вращение вокруг волнового вектора.

Причиной возникновения поляризации волн может быть: несимметричная генерация волн в источнике возмущения; анизотропность среды распространения волн; преломление и отражение на границе двух сред.

Основными являются два вида поляризации:

  • линейная — колебания возмущения происходит в какой-то одной плоскости. В таком случае говорят о «плоско-поляризованной волне»;

  • круговая — конец вектора амплитуды описывает окружность в плоскости колебаний. В зависимости от направления вращения вектора может быть правой или левой.

На основе этих двух или только круговой можно сформировать и другие, более сложные виды поляризации. Например, эллиптическая.

Линейная Круговая Эллиптическая

Поляризатор (англ. polarizer) - устройство, применяемое для получения обычно полностью поляризованного света.

Линейные поляризаторы (плоскополяризованный свет)

Поляризационные призмы (напр. Николя из исландского шпата). В такого рода устройствах используется разложение света при входе в кристалл на два взаимоперпендикулярных пучка с разными показателями преломления (и, соответственно, разными направлениями движения), один из которых гасится в стенке призмы. Раньше применялись в поляризационных микроскопах, сейчас вытеснены дешёвыми поляроидами.

+Поляроиды - специальные плёнки, в органической основе которых расположены соориентированные кристаллики, обладающие дихроизмом (турмалин, сульфат йодистого хинина). Сейчас применяются поляроиды на поливиниловой основе с заключёнными в них кристалликами сульфата йодистого хинина. Недостатком таких поляроидов является ограниченный срок службы.

Стопы - пачки тонких пластинок изотропных веществ, в которых происходит на границах пластинок гашение "лишней" составляющей.

Закон Малюса

Закон Малюса — зависимость интенсивности линейно-поляризованного света после его прохождения через поляризатор от угла между плоскостями поляризации падающего света и поляризатора.

где I0 — интенсивность падающего на поляризатор света, I — интенсивность света, выходящего из поляризатора, ka - коэффициент прозрачности поляризатора.

Установлен Э. Л. Малюсом в 1810 году.

В релятивистской форме

где ω и  - циклические частоты линейно поляризованных волн, падающей на поляризатор и вышедшей из него. Свет с иной (не линейной) поляризацией может быть представлен в виде суммы двух линейно-поляризованных составляющих, к каждой из которых применим закон Малюса. По закону Малюса рассчитываются интенсивности проходящего света во всех поляризационных приборах, например в поляризационных фотометрах и спектрофотометрах. Потери на отражение, зависящие от  и не учитываемые законом Малюса, определяются дополнительно.

20. Поляризация при отражении и преломлении. Закон Брюстера. Оптические явления в кристаллах. Поляризаторы.

Поляризация при отражении и преломлении света

Если угол падения света  на границу раздела двух диэлектриков (например, на поверхность стеклянной пластинки) отличен от нуля, отраженный и преломленный лучи оказывают частично поляризованными.  Причем, при отражении от проводящей поверхности (например, от поверхности металла) получается эллиптически-поляризованный свет. В отраженном луче преобладают колебания, перпендикулярные к плоскости падения (на рис. 6.2 эти колебания обозначены точками), в преломленном луче колебания, параллельные плоскости падения (на рисунке они изображены двусторонними  стрелками). Степень поляризации зависит от угла падения.

Поляризатор - устройство, применяемое для получения обычно полностью поляризованного света. В зависимости от типа поляризованного света (эллиптический или плоскополяризованный), поляризаторы делятся на

1) Линейные (плоскополяризованный свет)

  • поляризационные призмы. В такого рода устройствах используется разложение света при входе в кристалл на два взаимоперпендикулярных пучка с разными показателями преломления , один из которых гасится в стенке призмы. Раньше применялись в поляризационных микроскопах.

  • поляроиды - специальные плёнки, в органической основе которых расположены соориентированные кристаллики, обладающие дихроизмом . Недостатком таких поляроидов является ограниченный срок службы.

  • стопы - пачки тонких пластинок изотропных веществ, в которых происходит на границах пластинок гашение "лишней" составляющей.

2) Циркулярные (эллиптически поляризованный свет)

  • Для получения такого света используют комбинацию линейного поляризатор и пластинки в долю волны. В частности, для получения света, поляризованного по кругу, используют пластинку в четверть волны.

В поляризационных микроскопах поляризаторы применяются в следующих частях:

  • поляризатор (поляроид) нижней оптической системы, включённый постоянно.

  • анализатор (поляроид) верхней оптической системы, используемый, в частности, для наблюдения интервереционной окраски. Может быть и включён, и выключен.

Билет 22. Оптическая активность. Эффект Фарадея.

Оптическая активность – способность некоторых веществ вызывать вращение плоскости поляризации проходящего через них света. Оптическая активность бывает двух видов: естественная и искусственная.

Естественной оптической активностью называют способность вещества поворачивать плоскость поляризации прошедшего через него света. Величина угла поворота зависит от длины волны света, т. е. имеет место вращательная дисперсия. Кроме того, этот угол пропорционален толщине слоя вещества.

Искусственная (наведенная) оптическая активность возникает в магнитном поле.

Теория Френеля звучит, что явление вращения поляризации сводится к особому типу двойного лучепреломления: причиной вращения является различие в скорости распространения левого и правого циркулярно поляризованного света.

Эффект Фарадея заключается в том, что в магнитном поле первоначально неактивное вещество становится оптически активным. При распространении света в веществе вдоль вектора напряженности магнитного поля плоскость поляризации световой волны вращается.

Угол поворота плоскости поляризации равен  ,, где V-постоянная Верде, l-длинна активной среды, H-Напряженность магнитного поля на оси соленоида.

ОПТИЧЕСКАЯ АНИЗОТРОПИЯ это различие оптич. св-в среды в зависимости от направления распространения в ней оптического излучения (света) и его поляризации.

Изотропия - физ. Одинаковость физических свойств тела, газа или жидкости по всем направлениям.

Искусственная оптическая анизотропия может быть создана в кристаллах и изотропных средах под действием внешнего электрического или магнитного поля либо путем механического воздействия.

Эффект Кeppa - явление, возникновение двойного лучепреломления в оптически изотропных веществах, например жидкостях и газах, под воздействием однородного электрического поля.

Тепловым называют электромагнитное излучение, которое испускают нагретые тела за счет своей внутренней энергии. Тепловое излучение уменьшает внутреннюю энергию тела, и, следовательно, его температуру.

Согласно закону Кирхгофа, отношение спектральной плотности энергетической светимости к спектральной поглощательной способности не зависит от природы тела. Оно является для всех тел универсальной функцией частоты и температуры:   .

 испускательная способность абсолютно черного тела, поглощательная способность   спектральная плотность энергетическая светимость.

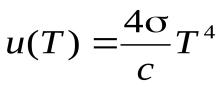
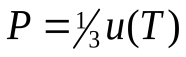
Закон Стефана-Больцмана. Если объемная плотность энергии плоской волны равна u, то объемная плотность импульса  . По этой причине равновесное излучение оказывает давление на стенки полости. Это давление не зависит от материала стенки и равно одной трети плотности энергии излучения   . (7)

Отсюда получаем для объемной плотности энергии формулу   , а для энергетической светимости абсолютно черного тела выражение   . (9) Соотношение (9) носит название закона Стефана-Больцмана.

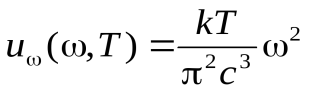
Формула Рэлея-Джинса. Исходя из классической теории о равном распределении энергии по степеням свободы, и представляя тело как набор осцилляторов, получим следующую формулу для испускательной способности:   . (15) Равенство (15) называется формулой Рэлея-Джинса. Она дает достаточно хорошее согласие с экспериментом при малых . Полная объемная плотность излучения имеет бесконечно большое значение  . Этот недопустимый результат получил название ультрафиолетовой катастрофы.

Закон вина: испускательная способность черного тела имеет вид  .

Согласно первому – закону смещения Вина   , (11) где   – постоянная Вина.

Согласно второму закону Вина максимум испускательной способности абсолютно черного тела возрастает пропорционально пятой степени абсолютной температуры  .Закон смещения Вина объясняет, почему при нагревании тел они светятся сначала красным светом, переходя затем к белому калению.

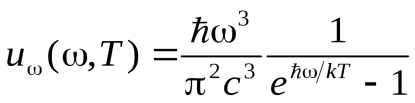
Формула планка  . (18)

Формула точно согласуется с экспериментальными данными во всем интервале частот и дает исчерпывающее описание равновесного излучения.