Материал: О́птика шпора 2.3

Внимание! Если размещение файла нарушает Ваши авторские права, то обязательно сообщите нам

- О́птика — раздел физики, рассматривающий явления, связанные с распространениемэлектромагнитных волн преимущественно видимого и близких к нему диапазонов (инфракрасное и ультрафиолетовое излучение). Оптика описывает свойства света и объясняет связанные с ним явления.

Геометрическая оптика основывается на представлении о прямолинейном распространении света. Главную роль в ней играет понятие светового луча. В волновой оптике световой луч совпадает с направлением нормали к волновому фронту, а в корпускулярной - с траекторией движения частицы.

- При разложении луча белого цвета в призме образуется спектр, в котором излучения разных длин волн преломляются под разным углом. Цвета, входящие в спектр, то есть такие цвета, которые могут быть получены световыми волнами одной длины (или очень узким диапазоном), называются спектральными цветами.  Основные спектральные цвета, а также характеристики излучения этих цветов, представлены: Фиолетовый (380 – 440 нм), синий (440 – 485 нм), голубой (485 – 500 нм), зеленый (500 – 565 нм), желтый (565 – 590), оранжевый (590 – 625 нм), красный (625 – 740 нм)

- В системе единиц СИ, чтобы связать электрическую индукцию и напряжённость электрического поля в вакууме, вводится электрическая постоянная ε0 ( ). Магнитная постоянная   является таким же коэффициентом пропорциональности для магнитного поля в вакууме ( ).

Скорость электромагнитного излучения в вакууме (скорость света) в СИ появляется при выводе волнового уравнения:

 м/c

- ДИСПЕРСИЯ ПОКАЗАТЕЛЕЙ ПРЕЛОМЛЕНИЯ - изменение пок. прел. вещества в зависимости от длины световой волны; может достигать значительной величины (сероуглерод). Различают нормальную Д. п. п. — пок. прел. возрастают с уменьшением длины волны световых лучей, и обратную ей — аномальную.

- Величина ς имеет смысл линейного коэффициента поглощения.

ς = (kр ω) /c

Подчеркнем, что комплексность показателя преломления и волнового вектора характерна для всех случаев, когда излучение распространяется в поглощающей среде. Комплексный показатель преломления определяет, в частности,

такую оптическую характеристику среды, как коэффициент отражения.

2.

Геометрическая оптика и ее модели. Основные законы геометрической оптики. Отражение, поглощение, преломление, рассеяние. Закон сохранения энергии в оптике.

Геометри́ческая о́птика — раздел оптики, изучающий законы распространения света в прозрачных средах и принципы построения изображений при прохождении света в оптических системах без учёта его волновых свойств.

При распространении волн в среде, в том числе и электромагнитных, для нахождения нового фронта волны в любой момент времени используют принцип Гюйгенса.

Каждая точка фронта волны является источником вторичных волн.

Закон прямолинейного распространения света. В однородной среде свет распространяется по прямым линиям

Закон независимости световых пучков. Световой поток можно разбить на отдельные световые пучки, выделяя их, например, при помощи диафрагм. Действие этих пучков оказывается независимым, т.е. суммарный эффект представляет собой сумму вкладов каждого светового пучка в отдельности. Ограниченность этого закона проявляется в явлениях интерференции света.

Закон отражения

Используя принцип Гюйгенса можно доказать закон отражения электромагнитных волн на границе раздела двух диэлектриков.

Угол падения равен углу отражения. Лучи, падающий и отраженный, вместе с перпендикуляром к границе раздела двух диэлектриков, лежат в одной плоскости.   =  .

Закон преломления Оптически однородная среда 1 характеризуется абсолютным показателем преломления  ,

где с  скорость света в вакууме; v1  cкорость света в первой среде. Аналогично для n2.

Отношение n/ n1 = n21

называют относительным показателем преломления второй среды относительно первой

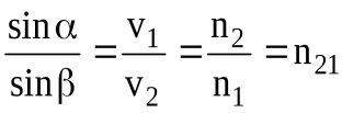
Если скорость распространения света в первой среде v1, а во второй  v2,

то за t прохождения падающей плоской волной расстояния АО1 в первой среде АО1 ­= v1t. Фронт вторичной волны достигает точек полусферы, радиус которой ОВ = v2t. Новый фронт волны, распространяемой во второй среде, изображается плоскостью ВО1, а направление ее распространения  лучами ОВ и О1С (перпендикулярными к фронту волны). Угол  между лучом ОВ и

Рис. 3

нормалью к границе раздела двух диэлектриков в точке О называют углом преломления. Из треугольников ОАОи ОВО1 следует, что АО1 = ОО1 sin , OB = OO1 sin . =>

Закон преломления :

.

Отношение синуса угла падения к синусу угла преломления равно относительному показателю преломления двух сред.

Полное внутреннее отражение

Согласно закону преломления на границе раздела двух сред можно наблюдать полное внутреннее отражение, если n> n2, т. е.  > . Следовательно, существует такой предельный угол падения пр, когда  = 900. Тогда закон преломления принимает следующий вид:

sin пр =  , (sin 900=1)

При дальнейшем увеличении угла падения  > пр свет полностью отражается от границы раздела двух сред.

Отражение — физический процесс взаимодействия волн или частиц с поверхностью, изменение направления волнового фронта на границе двух сред с разными оптическими свойствами, в котором волновой фронт возвращается в среду, из которой он пришёл. Одновременно с отражением волн на границе раздела сред, как правило, происходит преломление волн (за исключением случаев полного внутреннего отражения).

Рис. 4

Преломление (рефракция) — изменение направления распространения волн электромагнитного излучения, возникающее на границе раздела двух прозрачных для этих волн сред или в толще среды с непрерывно изменяющимися свойствами.

Поглощение света - уменьшение интенсивности оптического излучения (света), проходящего через материальную среду, за счёт процессов его взаимодействия со средой. Световая энергия при поглощении света переходит в различные формы внутренней энергии среды; она может быть полностью или частично переизлучена средой на частотах, отличных от частоты поглощённого излучения.

Рассеяние света — рассеяние электромагнитных волн видимого диапазона при их взаимодействии с веществом. При этом происходит изменение пространственного распределения, частоты, поляризации оптического излучения, хотя часто под рассеянием понимается только преобразование углового распределения светового потока.

Закон сохранения энергии в оптике: В качестве примера рассмотрим явление сложения частот света: генерацию в нелинейной среде излучения с частотой ω3, равной сумме частот двух других волн ω1 и ω2. Этот процесс является частным случаем трёхволновых процессов: при взаимодействии двух квантов исходных волн с веществом они поглощаются с испусканием третьего кванта. Согласно закону сохранения энергии, сумма энергий двух исходных квантов должна быть равна энергии нового кванта: 

Из этого равенства непосредственно следует одно из соотношений Мэнли — Роу: ω1 + ω2 = ω3,которое, собственно, и выражает тот факт, что частота генерируемого излучения равна сумме частот двух исходных волн.

3.

Волновая оптика — раздел оптики, который описывает распространение света с учётом его волновой природы. Явления волновой оптики — интерференция, дифракция, поляризация и т. п.

Электромагнитная природа света

Свет представляет собой видимый участок спектра электромагнитных волн, длины волн которых занимают интервал от 0.4мкм до 0.76мкм. Каждой спектральной составляющей оптического излучения может быть поставлен в соответствие определённый цвет. Окраска спектральных составляющих оптического излучения определяется их длиной волны. Цвет излучения изменяется по мере уменьшения его длины волны следующим образом: красный, оранжевый, желтый, зеленый, голубой, синий, фиолетовый.

Уравнения Максвелла — система дифференциальных уравнений, описывающих электромагнитное поле и его связь с электрическими зарядами и токами в вакууме и сплошных средах. Плоские электромагнитные волны

Предположим, что напряжённость электрического поля и магнитная индукция являются произвольными функциями следующей комбинации координат и времени: 

где   — некоторый постоянный вектор. В этом случае   и   удовлетворяют уравнениям Максвелла в отсутствие зарядов и токов, если между ними существует следующая связь:

 

и они перпендикулярны вектору  , который должен быть единичным: 

Спектр видимого излучения

При разложении луча белого цвета в призме образуется спектр, в котором излучения разных длин волн преломляются под разным углом. Цвета, входящие в спектр, то есть такие цвета, которые могут быть получены световыми волнами одной длины (или очень узким диапазоном), называются спектральными цветами.

Длина волны — расстояние между двумя ближайшими друг к другу точками, колеблющимися в одинаковых фазах, обычно длина волны обозначается греческой буквой λ. По аналогии с возникающими волнами в воде от брошенного в неё камня — расстояние между двумя соседними гребнями волны. Одна из основных характеристик колебаний. Измеряется в единицах расстояния (метры, сантиметры и т. п.).

Величина  , обратная длине волны, называется волновым числом и имеет смысл пространственной частоты.

Получить соотношение, связывающее длину волны с фазовой скоростью (v) и частотой(f) можно из определения. Длина волны соответствует пространственному периоду волны, то есть расстоянию, которое точка с постоянной фазой проходит за время, равное периоду колебаний T, поэтому 

Вс ледствие дисперсии при переходе света из одной среды в другую длина волны изменяется прямо пропорционально скорости его распространения. Поскольку длина волны излучения прямо пропорциональна скорости его распространения, получаем для абсолютного показателя преломления еще одну формулу:

где λ- длина волны в вакууме.

Уравнение плоской электромагнитной волны.

Пр и прохождении монохроматической электромагнитной волны частотой ω векторы E и H в данной фиксированной точке пространства испытывают синфазные, и только синфазные гармонические колебания с

этой же частотой

Уравнения сферической монохроматической электромагнитной волны можно записать в следующем виде:

 

В комплексной форме эти уравнения принимают вид:   

Волновой вектор — вектор, направление которого перпендикулярно фазовому фронту бегущей волны, а абсолютное значение равно волновому числу.

Волновой вектор обычно обозначается латинской буквой   и измеряется в обратных сантиметрах.

Волновое число связано с длиной волны λ соотношением: 

Связь между волновым вектором и частотой задаётся законом дисперсии. Все возможные значения волновых векторов образуют обратное пространство или k-пространство.

Волновая поверхность — геометрическое место точек, испытывающих возмущение обобщенной координаты в одинаковой фазе. Если источником волны является точка, то волновые поверхности в однородном и изотропном пространстве представляют собой концентрические сферы.

Типы волновых поверхностей (на примере света):

  • Для аморфных сред эта поверхность имеет форму сферы. Свет распространяется одинаково во всех направлениях.

  • Для кубических кристаллов эта поверхность также имеет форму сферы.

  • В кристаллах средних сингоний происходит двулучепреломление. Свет, вошедший в кристалл, распадается на обыкновенный и необыкновенный лучи. Поэтому поверхность показателей преломления состоит из эллипсоида вращения и сферы. В том случае, если сфера вписана в эллипсоид, кристалл называется оптически отрицательным, если же эллипсоид вписан в сферу, кристалл называется оптически положительным.

  • В кристаллах нижних категорий тоже происходит двулучепреломление. Свет, вошедший в кристалл, распадается на два необыкновенных луча. Волновая поверхность имеет сложную форму. Оптический знак определяется по виду индикатрисы.

Вектор Пойнтинга (также вектор Умова — Пойнтинга) — вектор плотности потока энергии электромагнитного поля, одна из компонент тензора энергии-импульса электромагнитного поля. Вектор Пойнтинга S можно определить через векторное произведение двух векторов:

 (СГС)   (СИ), где E и H — вектора напряжённости электрического и магнитного полей соответственно.

Интенсивность волны - средняя по времени энергия, которую электромагнитная или звуковая волна переносит в единицу времени через единицу площади поверхности, расположенной перпендикулярно к направлению распространения волны. Интенсивность волны пропорциональна квадрату её амплитуды.

Для характеристики интенсивности волнового процесса используют три параметра: амплитуда волнового процесса, плотность энергии волнового процесса и плотность потока энергии.

4 Вопрос.

Явление наложения когерентных световых волн, в результате которого наблюдается чередование усиления света в одних точках пространства и ослабления в других, называют интерференцией света.

Когерентность  согласованное протекание во времени и в пространстве нескольких колебательных или волновых процессов, позволяющих получать при их сложении четкую интерференционную картину.

Монохроматичность − это свойство осциллятора излучать свет строго определённой частоты и амплитуды в течение бесконечно долгого времени.

Необходимым условием интерференции волн является их когерентность, т. е. согласованное протекание во времени и пространстве нескольких колебательных или волновых процессов. Этому условию удовлетворяют монохроматические волны – не ограниченные в пространстве волны одной определенной и строго постоянной частоты.

Когерентность колебаний, совершаемых в одной и той же точке пространства, но в разные моменты времени, называют временной когерентностью.